Next Article in Journal
A Comprehensive Optimization Model of Tooth Surface Parameters for the Minimization of Contact Stress of Helical Face Gears by Considering the Avoidance of Edge Contact
Previous Article in Journal
Electric-Vehicle Routing Planning Based on the Law of Electric Energy Consumption
Previous Article in Special Issue
Application of Smooth Fuzzy Model in Image Denoising and Edge Detection
 
 
Font Type:
Arial Georgia Verdana
Font Size:
Aa Aa Aa
Line Spacing:
Column Width:
Background:
Article

A Target Damage Assessment Mathematical Model and Calculation Method Based on the Intersection of Warhead Fragment and Target Mechanism

School of Electronic and Information Engineering, Xi’an Technological University, Xi’an 710021, China
*
Author to whom correspondence should be addressed.
Mathematics 2022, 10(17), 3101; https://doi.org/10.3390/math10173101
Submission received: 4 August 2022 / Revised: 17 August 2022 / Accepted: 26 August 2022 / Published: 29 August 2022
(This article belongs to the Special Issue Soft Methods for Modeling Uncertainty and Imprecision)

Abstract

:
This paper proposes a target damage calculation method based on the profit-loss value of a warhead fragment group. The group is discretized into a fan-shaped column warhead fragment dispersion arrangement model, and the angle of its intersection with the target is combined to establish the dynamic dispersion density model of the warhead fragment group. In addition, the function to calculate the number of warhead fragments hitting the target’s surface is devised. The capability matrix of the warhead fragment group is constructed according to the quality, quantity, and storage velocity of the warhead fragments, and then, the profit-loss value of the warhead fragment group is established. Combining the intersection probability of the target and the warhead fragment of the dispersion area, the model to calculate the probability of damage caused to the target by the warhead fragment group formation is deduced. The calculation and experimental analysis verifies that the dispersion angle of warhead fragments, the intersection angle of projectile and target, and the intersection distance of projectile and target significantly influence the impact of target damage.

1. Introduction

The damage effect of the spatial projectile proximity explosion warhead fragment on the target is an important technical indicator to measure the performance of the projectile proximity fuze. The action mechanism characteristics of the spatial projectile proximity explosion cause uncertainty in the warhead fragment dispersion. Establishing the damage effectiveness of warhead fragments scattered with the uncertain state at a certain action distance is an important basis for analyzing the power situation of a projectile fuze [1,2,3]. The existing methods for calculating target damage mainly focus on the modeling and calculation method of target damage effectiveness by the quantitative warhead on the ground target. Wang et al. [4] studied an equipment cluster target damage simulation method for ground artillery strike. The simulation method could accurately predict the ground artillery firepower attack effect, and the credibility of the firepower attack mode model was verified by the actual missile group dispersion data. Li et al. [5] established the component damage under the action of the whole damage field. This damage was based on the distribution of damage elements in the damage field, the terminal conditions of the missile and the target, and the damage criteria of the components. Based on this, the authors deduced the damage probability of the whole target using the damage tree. Wang et al. [6] proposed the principle and method of quantitatively characterizing and evaluating the comprehensive power of a warhead by using the damage area. The authors deduced the model for calculating the damage area combined with the target damage model. In order to improve the damage power impact of blast fragmentation warhead on the ground target, the range static explosion test and the numerical simulation method were used in [7] to study the power of the aimed warhead under the sequential initiation network. Li et al. [8] analyzed the structure and function of a phased array radar and established the damage evaluation model of a fragmentation warhead against the radar. Du et al. [9] presented an evaluation method based on the cloud model to assess the damage to an armored target. Tian et al. [10] proposed an ammunition damage assessment algorithm based on the fuze real-time explosion point and analyzed the influence of the three-dimensional explosion point spread of the fuze on the damage to the ammunition. Li et al. [11] proposed a warhead fragments dispersion parameters’ measurement method using the intersection of two light-field cameras and established a target damage efficiency assessment calculation model according to the damaged area and the damage characteristics of the target. Due to the strong correlation of various parameters in the process of target damage assessment, and considering the need of timeliness of assessment, artificial intelligence algorithms and deep learning methods are applied in the assessment system. For example, Fountas et al. [12] presented a new virus-evolutionary genetic algorithm to enable the automated assessment of heterogeneous tool path parameters, and this method allowed for a rigorous process optimization by directly extracting objectives. Li et al. [13] studied the optimization design for the lethality of fragmentation warhead based on the optimal Latin hypercube test design method and the radial basis function neural network surrogate modelling, established the integration design method for “explosive-material-structure” of the fragmentation warhead. The research results can provide technical support for the structural optimization design of the fragmentation warhead. Zhang et al. [14] studied the damage assessment method of the wing under blast wave, introduced a critical relative distance prediction method of aircraft wing damage based on the back-propagation artificial neural network (BP-ANN), and used the finite element method (FEM) for wing blast damage simulation to determine damage mode and analyze damage characteristics. Du et al. [15] proposed an improved learning algorithm of conditional probability tables of Bayesian network for target damage assessment; this algorithm has good stability and high precision. Zhang et al. [16] proposed an evaluation method based on improved GA-BP neural network; it has inspiration and reference significance for the artificial intelligence of the battle damage assessment. To effectively analyze the damage effectiveness of intelligent ammunition weapons to the target, Zhu et al. [17] studied the target penetration damage evaluation model under the game of attack and defense confrontation, established the gain matrix of the game under different penetration kinetic energies, and used the ANSYS/LS-DYNA to obtain the analysis of attack and defense against the Nash equilibrium strategy.
However, there is no scientific method for target damage modeling in the uncertain state of the spatial intersection of projectile and target. It is mainly reflected in two aspects: one is the uncertainty of the spatial intersection attitude of projectile and target, and the other is the uncertainty of warhead fragment dispersion formed by the projectile proximity explosion. The two aspects make it difficult to use the existing calculation methods to scientifically evaluate the target damage in the air defense and anti-missile environments [18]. The proximity position of the projectile fuze has a certain regularity, which can be used to consider the warhead fragment group formed by the projectile proximity as a penetration damage warhead fragment queue with spatial-temporal distribution. This paper constructs the profit-loss value of the warhead fragment group and establishes a damage model of the warhead fragment group penetrating a target under uncertain intersection of the projectile and target. The proposed method provides a scientific calculation basis for the study of projectile fuze proximity explosion damage efficiency under the intersection of projectile and target at a high altitude. The major contributions of this work are as follows:
(1)
Based on the warhead fragment group model of a fan-shaped column dispersion arrangement, the warhead fragment dynamic dispersion density model is established, and the function for calculating the number of the warhead fragments hitting the target area is constructed.
(2)
Based on the information regarding quality, quantity, and storage velocity of the warhead fragment group and storage speed, the capability matrix of the warhead fragment group is constructed, and the profit-loss value of the warhead fragment group is devised.
(3)
A target damage assessment mathematical model under the uncertain intersection state of projectile and target based on the probability of the warhead fragment intersecting with the target in the dispersion area is deduced. The simulation and experimental analysis are used to verify the important effects of warhead fragment dispersion angle, intersection angle, and intersection distance on the impact of target damage.
The remainder of this paper is organized as follows: Section 2 describes profit-loss value of a warhead fragment group and the total damage probability of the target. Section 3 presents the calculation and experimental analysis. The paper is concluded in Section 4.

2. Formation Model of Projectile Proximity Explosion Warhead Fragments and Profit-Loss Value

2.1. Formation Model of Projectile Proximity Explosion Warhead Fragments

The target damage is based on the impact of the warhead fragments formed by the projectile fuze proximity explosion, which subsequently strike and penetrate the target [19]. Since the dispersion of the warhead fragments produced by the warhead explosion is random [20,21,22], it is difficult to calculate the damage using a fixed distribution function. To effectively calculate the damage caused by the projectile to the target under certain proximity explosion dispersion conditions, the warhead fragment group can be regarded as a multi-layer distributed queue warhead fragments that continuously hit and damage the target. The calculation not only needs to consider the minimum kinetic energy of the warhead fragments but also the vulnerability characteristics of the target. In this paper, the calculation method of target damage under the condition of profit-loss value is established. This method is based on the factors of the penetration area of warhead fragments on the target and the warhead fragments formation state.
During the process of projectile proximity explosion, the warhead fragments formed by the warhead explosion in the warhead fragment field continue to hit the target according to the queue for certain duration of time. Subsequently, they form a multi-level column array of warhead fragments to damage the target. Assuming that the warhead fragment field is a multi-layer column, and the target is stationary relative to the warhead fragments’ movement, the velocity at which the warhead fragments in the column hit and penetrate the target is determined by different parameters. These include the velocity of warhead, the initial velocity of warhead fragments in the projectile static explosion state, the dispersion angle of warhead fragments, and the vulnerability characteristics of the target [23]. Figure 1 shows the schematic diagram of proximity explosion target under the projectile and target intersection.
In Figure 1, α1 is the static dispersion angle of warhead fragments, α2 is the dynamic dispersion angle, and φ is the angle between the warhead fragment dispersion direction after the warhead explosion and the symmetry axis of the warhead. The static initial velocity of the warhead fragment is given by v0, v1 is the velocity of the warhead, v is the dynamic initial velocity of the warhead fragment, and L is the intersection distance of the projectile and target.
According to reference [24], after the warhead explosion, the warhead fragments approximately obey the normal distribution in the formed conical region (ω1, ω2), and the number of warhead fragments with the mass of dispersion warhead fragments within (m1, m2 = m1 + Δm) is given by N(m1, ω1). Subsequently, the current dispersion density of the warhead fragment is expressed as
ρ ( ω 1 , ω 2 ) = N ( m 1 , ω 1 ) / S ( ω 1 )
where S(ω1) is the ball belt area of the warhead fragment dispersion, and S(ω1) = 2πL2sinα1. Therefore, the static dispersion density of the warhead fragments is defined as
ρ ( ω 1 , ω 2 ) = N ( m 1 , ω 1 ) / 2 π L 2 sin α 1
Subsequently, the calculation function of the dynamic dispersion density of the warhead fragment is obtained as
ρ ( ω 1 , ω 2 ) = N ( m 1 , ω 1 ) / 2 π L 2 sin ( arctan v 0 sin α 1 v 0 cos α 1 + v 1 )
where α 2 = arctan v 0 sin α 1 v 0 cos α 1 + v 1 [25].
In practical applications, when the warhead is detonated under dynamic conditions, it has a certain velocity during the flight. The dynamic initial velocity of the warhead fragment can be obtained according to v0, v1, and φ, and the initial velocity of the warhead fragments under dynamic condition is expressed as follows:
v = v 1 2 + v 0 2 + 2 v 1 v 0 cos φ
The shell of the projectile breaks to form a warhead fragment group. When the warhead fragments fly in the air, their size and shape affect the attenuation of their velocities in the air due to the air resistance, which affects their power. At the same time, the air resistance of the warhead fragments is considerably higher than the gravity of the warhead fragments because of the short distance between the warhead fragments and the target. Therefore, the gravity effect can be ignored. According to the aerodynamic theory, the flight velocity of the warhead fragments in the air attenuates, which is expressed by Formula (5).
v L = v e C D ψ S L 2 m
where m is the mass of the warhead fragment, Ψ is the density of air, and CD is the air resistance coefficient, which depends on the size, shape, and velocity of warhead fragments. When the warhead fragments have the same shape, the air resistance coefficient is mainly related to the velocity of a warhead fragment and is a function of Mach number [26]. If the Mach number is greater than 1.5, the coefficient decreases slowly as the Mach number increases. On the other hand, if the Mach number is greater than 3, the air resistance coefficient is generally constant. This paper studies the damage effect caused by warhead fragments to the target after the warhead explosion, where the warhead fragments have an uncertain dispersion state, and their velocity is considerably greater than Mach 3. According to [27], the air resistance coefficient of irregular the warhead fragments is 1.5. For various regular warhead fragments with different shapes, the relationship between the corresponding warhead fragment shape coefficient and the windward area is derived. The windward area of the warhead fragment is represented by S′ that approximately considers the perforation area of the warhead fragment hitting the target. It is expressed as S′ = Km2/3, where K is the shape coefficient of the warhead fragment. Table 1 provides the shape coefficient of each shaped warhead fragment.
When the warhead fragments hit and penetrate the target, their residual velocity is greater than 0, and it is considered that the fragments can penetrate and damage the target. The residual velocity of the warhead fragments is expressed as
v s = v L 2 v J 2 = ( v e C D ψ S L 2 m ) 2 [ C 1 ( h S ) α ( m ) β ( sec φ ) γ ] 2
where vJ is the ultimate penetration velocity of the warhead fragments; C1, α, β and γ are the coefficients related to the shell material of projectile; and h is the thickness of the target.
It is necessary to determine whether the warhead fragments penetrate the target before calculating the number of warhead fragments hitting the target’s surface. According to the law of minimum kinetic energy of warhead fragments penetrating the target combined with (6), the minimum mass mth(L) of penetrating warhead fragments at a certain intersection distance of projectile and target can be obtained, which should meet the following conditions:
v e C D ψ S L 2 m t h C 1 ( h S ) α ( m t h ) β ( sec φ ) γ
The warhead fragments after a warhead explosion follow the Mott mass and quantity distribution law [28], and the mass of the warhead fragments is greater than or equal to mth(L). The calculation model of the number of the warhead fragment is obtained as
N ( m t h ) = m s 2 m e ( m t h / m ) 1 / 2
where ms is the shell mass of the projectile with the unit g, and 2m′ is the average mass of the warhead fragment, which depends on the thickness δ0 of the shell. The inner diameter of the shell is given by d0; the coefficient of fragmentation is denoted by B, where the units of both δ0 and d0 are cm; and m = B δ 0 5 / 6 d 0 1 / 3 ( 1 + δ 0 d 0 ) . According to dimensional analysis, the unit of B is g1/2cm−7/6, where B is the coefficient related to the characteristics of explosive and shell metal materials. This coefficient is dependent on many factors: shell mass to explosive mass ratio, shell density to explosive density ratio, shell material yield strength to ultimate tensile strength ratio, shell inner diameter, explosive detonation velocity, etc.
The dispersion density of warhead fragments penetrating the target is
ρ ( ω 1 , ω 2 ) = N ( m t h , ω 1 ) / 2 π L 2 sin ( arctan v 0 sin α 1 v 0 cos α 1 + v 1 )
Assuming that the exposure area of the target’s surface is S ¯ , the number of warhead fragments penetrating the exposure area is as follows:
M = ρ ( ω 1 , ω 2 ) S ¯ sin φ

2.2. Damage Probability of Warhead Fragment Dispersion Formation under Uncertain Information Based on Profit-Loss Value

Denoting an effective intersection dispersion area by ω, where ω ( ω 1 , ω 2 ) , the warhead fragments can be considered to damage the target only when they intersect with the target in the effective dispersion area. According to the sequence of warhead fragment queue, if the warhead fragments intersect with the target at time tk, it is considered that the warhead fragments represent a profit to the target. If the warhead fragments do not intersect with the target, it is considered that the warhead fragments represent a loss to the target. The power matrix of the warhead fragment group is given by E = [ e i j ] m ¯ × n ¯ , where eij is the j-th capability of the i-th warhead fragment, and e i j = 0.5 m i j v i j 2 , and i A 1 , A 1 = { 1 , 2 , , m ¯ } , j A 2 , and A 2 = { 1 , 2 , , n ¯ } . The power evaluation matrix of the warhead fragment group to the target is denoted by H ˜ E , and H ˜ E = [ σ e i j ] m ¯ × n ¯ . The fuzzy comprehensive evaluation matrix is represented by H ˜ , which is related to the score matrix of the warhead fragment group and the fuzzy relation matrix [29,30]. Based on E = [ e i j ] m ¯ × n ¯ and H ˜ E = [ σ e i j ] m ¯ × n ¯ , the capability matrix of the warhead fragment group H ¯ is constructed using (11) as follows:
H ¯ = [ E H ˜ E ] = [ 0.5 m 11 v 11 2 0.5 m 12 v 12 2 0.5 m 1 n ¯ v 1 n ¯ 2 0.5 m m ¯ 1 v m 1 2 0.5 m m ¯ 2 v m ¯ 2 2 0.5 m m ¯ n ¯ v m ¯ n ¯ 2 0.5 σ m 11 v 11 2 0.5 σ m 12 v 12 2 0.5 m 1 n ¯ v 1 n ¯ 2 0.5 σ m m ¯ 1 v m ¯ 1 2 0.5 σ m m ¯ 2 v m ¯ 2 2 0.5 σ m m ¯ n ¯ v m ¯ n ¯ 2 ]
Since the warhead fragment capacity is a benefit index, the rules are established:
F i j = { m i j v i j 2 min ( m t h v L 2 ) max ( m i j v i j 2 ) min ( m t h v L 2 ) , max m i j v i j 2 min m i j v i j 2 0 , max m i j v i j 2 = min m i j v i j 2
Formula (11) is normalized according to Formula (12) to obtain F ¯ = [ F i j ] m ¯ × n ¯ , and then, the profit-loss value of the warhead fragments on target damage is expressed by hi as follows:
h i = i = 1 n N q i × m i j v i j 2 min ( m t h v L 2 ) max ( m i j v i j 2 ) min ( m t h v L 2 ) κ = n + 1 n + m N q κ × m κ j v κ j 2 min ( m t h v L 2 ) max ( m κ j v κ j 2 ) min ( m t h v L 2 )
Therefore, a profit-loss set H [ h 1 , h 2 , , h n ] is constituted by (13). If h i > 0 , the result represents the warhead fragment profit; i.e., the warhead fragment penetrates the target and damages it. If h i < 0 , the result indicates the warhead fragment loss; i.e., the warhead fragment fails to penetrate the target, and the target damage is considered as 0. The total warhead fragments and the lost warhead fragments groups are represented by N q i and N q k , respectively, and N q i N q k = M .
According to the constructed profit-loss value, the probability of the warhead fragment intersecting with the target in the dispersion area ω ( ω 1 , ω 2 ) can be calculated by (14) as
p ¯ i = h i i = 1 n N q i × m i j v i j 2 min ( m t h v L 2 ) max ( m i j v i j 2 ) min ( m t h v L 2 )
Due to the damage probability of the warhead fragments formed by the warhead explosion on the target is related to the damaged area formed by the warhead fragments penetrating the target, the area of the target itself, and the probability of warhead fragments penetrating the target in the warhead fragment field. Subsequently
p i = 1 e M · S V S ¯ p ¯ i
where S V is the damaged area of target caused by the warhead fragments after the warhead explosion.
As the target is composed of various key components, the vulnerable characteristics of these different components are not the same. Thus, the warhead fragments hitting different key components of the target after the warhead explosion causes varying degrees of damage to the target. Assuming that χ represents the key component of the target, and l is the number of components of the target, the analytical hierarchy process is used to calculate the damage weight ϖ χ of different key components of the target. Subsequently, the total damage probability of the target is expressed as
P = 1 χ = 1 l ( 1 ϖ χ p i )

3. Calculation and Experimental Analysis

3.1. Simulation Analysis

Assuming that the warhead adopts the same shell material and equivalent explosive charge, the dispersion ranges ω1 and ω2 of the warhead fragments are (20°, 60°) and (60°, 120°), respectively. The dynamic dispersion density distribution of the warhead fragments in the warhead fragment field formed by the explosion of a large-diameter warhead is given in combination with (3), and its trend is shown in Figure 2.
For the same type of projectile, it is considered that the total number of warhead fragments formed by the warhead explosion is unchanged. When the intersection distance of projectile and target is determined, the action radius of the warhead fragment field becomes larger, and the warhead fragment dispersion density decreases with the increase in the warhead fragment dispersion angle. If the intersection distance of projectile and target is large, the warhead fragment dispersion density decreases in the area of the warhead fragments hitting the target. Moreover, considering the intersection angle of the projectile and target, the number of effective warhead fragments hitting and penetrating the target is affected to a certain extent, which impacts the target damage probability.
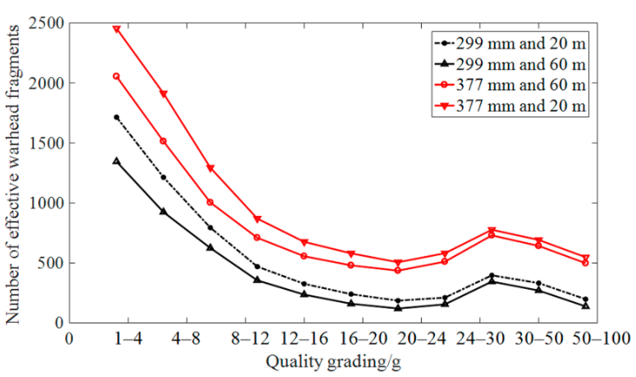
Assuming that the damaged target has been given, the target damage effect is calculated and analyzed by using two types of warheads. These two types adopt the same shell material and equivalent explosive charge. The diameters of the two projectiles are 299 mm and 377 mm. The two warheads explode at the intersection distance of 20 m and 60 m. The variable interval quality classification method is used to divide the quality of the warhead fragments into several quality intervals. In the interval with a large number of warhead fragments, more quality intervals should be divided. On the contrary, the quality intervals should be divided less. The warhead fragment quality of the warhead is divided into nine levels. The warhead fragment quality distribution of the two types of warheads and the quantity distribution of the effective warhead fragments hitting the target are shown in Figure 3.
Figure 3 shows that the projectiles with diameters of 299 mm and 377 mm follow the same mass classification law, and the larger the diameter of the projectile, the more effective the warhead fragments under the same mass classification condition. For the same type of warhead, when the intersection distance of projectile and target is 20 m, the number of effective warhead fragments under the same quality classification is greater than that when the intersection distance of projectile and target is 60 m. The main reason for this behavior is the attenuation of flight velocity of the warhead fragment with the increase in the intersection distance. Combined with the law of minimum kinetic energy of warhead fragments penetrating the target, the minimum mass of effective warhead fragments increases with the increase in intersection distance. This phenomenon reduces the number of effective warhead fragments meeting the minimum mass requirement under the same mass classification.
Based on the same type of warhead, the variation in the number of warhead fragments hitting the target under different intersection angles and intersection distances calculated according to (9) are shown in Figure 4.
The figure shows that the number of effective warhead fragments decreases with the increase in the intersection distance. For a given intersection distance, the number of warhead fragments hitting the target in the warhead fragment field reduces with an increase in the intersection angle. The probability of the warhead fragment penetrating the target is not only affected by the warhead fragment’s own ability (velocity and quality) but also by the intersection distance. If the intersection distance is large, the velocity of the warhead fragments formed by the same type of warhead explosion hitting the target decreases, reducing the number of effective warhead fragments penetrating the target. This reduces the damaged area of the target and directly affects the damage effectiveness of the warhead fragments against the target. Therefore, the vulnerable characteristics of the target area should be considered for accurate evaluation of the target damage probability of warhead fragments in the warhead fragment field formed by the warhead explosion.
Assuming that the target is stationary, the target area is divided into three vulnerable areas: the front, left, and right of the target, denoted as A1, A2, and A3, respectively. The warhead is placed in the three areas of the target at a certain distance; the explosion height of the warhead is 1.5 m. Figure 5 shows the change curve of the target damage probability at different intersection distances. Figure 5 shows that when the warhead is placed in the front area of the target, the target damage probability is the largest. When the warhead is placed in the left and right areas of the target, the target is the least vulnerable to damage, and the target damage probability is the lowest. The target damage probability varies with the intersection distance of projectile and target. The larger the intersection distance, the smaller the target damage probability. At the same time, the target damage probability formed by the warhead with a diameter of 377 mm after the warhead explosion is higher than that of the warhead with a diameter of 299 mm.
Due to the influence of warhead explosion height and flight velocity on the target damage probability, assuming a stationary target, the target damage probabilities under different conditions, such as warhead explosion heights of 1 m, 2 m, 3 m, and 4 m and warhead flight velocities of 200 m/s, 300 m/s, 400 m/s, and 500 m/s, are calculated and shown in Figure 6.
It can be observed from Figure 6 that when the warhead explosion height is the same, the target damage probability increases nonlinearly with the flight velocity of the warhead. The higher the flight velocity of the warhead, the greater the target damage probability. When the flight velocity of the warhead is the same, the target damage probability decreases nonlinearly with the increase in the warhead explosion height. The higher the warhead explosion height, the smaller the target damage probability. The reason is that the flight velocity of the warhead affects the initial velocity of warhead fragments. For a given intersection distance, the higher the flight velocity of the warhead, the greater the initial velocity of warhead fragments and the higher the number of warhead fragments penetrating the target. The explosion height of the warhead determines the intersection angle. For a given intersection distance, the smaller the warhead explosion height; i.e., the smaller the intersection angle, the lower the number of warhead fragments that fail to hit the target. The effectiveness of the warhead fragment hitting the target needs to be further determined according to its quality and velocity. It can be noted that the warhead’s explosion height and flight velocity affect the damage caused by the warhead to the target.

3.2. Experimental Analysis

Due to the limited actual test conditions, all warheads used to damage the simulated target by the static explosion are of identical types. The damaging effect of the warhead fragments in the warhead fragment field after the warhead explosion is analyzed. In the static explosion test, a few equivalent targets with rectangular steel plates are used to simulate the damaged target and are arranged in a U shape. The test layout scene is shown in Figure 7a. The equivalent target plate in the center of the U-shaped region simulates the central area of the target, which is called the middle region. The equivalent target plates arranged on both sides of the U-shaped region are the other areas of the target, which are the left and right regions. In the test, the equivalent target plate is arranged first, and subsequently, the projectile is placed at a certain distance from the center of the middle area. Before the projectile explodes, the vertical distance between the projectile and the middle area of equivalent target plate is measured. Subsequently, the intersection angle between the warhead and the middle area is calculated, which is the intersection angle between the projectile and the target. Figure 7b shows the layout of the equivalent target plate prior to the warhead explosion.
In the test, the size of the selected equivalent target plate is the same; the length and width are 2 m and 1 m, respectively; and the thickness is about 10 mm. The target plate is fixed on a woodpile, and its plane is perpendicular to the ground. The same type of warhead is used to carry out the test under the conditions of different intersection distances and different intersection angles. The single-point marker is pasted at the corner of each equivalent target plate prior to the warhead explosion. The single-point marker is made up of flat top glass beads, and its surface should be free from dust and should not be affected in rain. Based on the size range of the equivalent target plate in the actual test, the model of the industrial photography camera is chosen as D750. Its resolution ratio is 6016 × 4016 pixels, the number of effective pixels is equal to 24.32 million pixels, the size of the sensor is 35.9 mm × 24 mm, and the focal length of lens is 24 mm. When a single equivalent target is photographed at a close range, the image of the equivalent target can reach a resolution of about 1 mm to minimize the error of area measurement.
The industrial photography camera is equipped with a flash lamp. The macro photography ring flash lamp is installed in front of the lens of the camera to ensure that the flash-light axis is coaxial with the photography light axis, which reduces the deviation angle of the light source. The flash lamp is configured when the industrial photography camera takes pictures, which is used to improve the brightness of the single-point marker in the sequence images of equivalent target plates. This improves the contrast between the target and the background when the industrial photography camera takes photos. After the warhead explosion, the industrial camera is used to take photos of each equivalent target plate damaged by warhead fragments in order to obtain the damage information. All the photos of the equivalent target plate are processed in the software of the upper computer, which provides the number and damage area of each equivalent target plate hit by warhead fragments as well as the damage information of each region of the simulated target. All this information provides data that can be used for effectively calculating the target damage probability.
The photographing method is used to calculate the relevant data information in each test. The specific process is as follows: the industrial photography camera is used to acquire the equivalent target plate photo at a close range, requiring only a weak flash to obtain the high brightness image of the single-point marker. Using the fixed shape and area of the single-point marker, the geometric distortion correction of the equivalent target plate is carried out. In addition, the accuracy of the perforation area of the equivalent target plate fragment is verified. The sequence images of equivalent target plates acquired after the explosion are processed in the upper computer software. The processing contents include: geometric distortion correction of a single equivalent target plate, equivalent target plate area segmentation, warhead fragment penetration equivalent target plate region extraction, damage area calculation, etc. After these steps, the front view of the equivalent target plate, the number of warhead fragments hitting each equivalent target plate, and the area of warhead fragments penetrating the equivalent target plate are obtained.
In the first round of the test, the warhead is placed horizontally on the ground at the center of the equivalent target plate in the middle area. The distance and the intersection angle between the warhead and the center of the equivalent target plate in the middle area are about 41.8 m and 2.6°, respectively. Table 2 shows the test data.
In the second round of the test, the warhead is still placed in the center of the equivalent target plate in the middle area. The distance from the warhead to the center of the equivalent target plate in the middle area is 83.5 m. At this time, the intersection angle between the warhead and the center of the equivalent target plate in the middle area is about 2.4°. The test data are shown in Table 3, where the unit of the damaged area of the warhead fragments penetrating the target is mm2.
According to Table 2 and Table 3, when the distance between the equivalent target plate and the projectile explosion position is 41.8 m, the probability of intersection between the warhead fragments and the target is calculated as 92.2% using (14). Next, the target damage probability is calculated as 3.69% using (15). When the distance between the equivalent target plate and the projectile explosion position is 83.5 m, the probability of intersection between the warhead fragment and the target and the target damage probability are calculated as 75% and 3.16%, respectively.
It can be found that the number of warhead fragments hitting a single equivalent target plate in the middle area at 41.6 m is significantly higher than that at 83.5 m. Compared with the numbers of warhead fragments on the left and right equivalent target plates at 41.8 m, the numbers of warhead fragments on the left and right equivalent targets at 83.5 m are significantly increased. With the increase in the intersection distance of projectile and target, the kinetic energy when the warhead fragment hits the equivalent target plate attenuates at 83.5 m compared with that when the warhead fragment hits the equivalent target plate at 41.6 m. The probability of the warhead fragment failing to hit and damage the target increases; i.e., the number of warhead fragments that cannot hit the target increases. At the same time, the radius of the warhead fragment field formed by the same type of warhead explosion increases when the intersection distance is 83.5 m. This behavior signifies that the dispersion distribution density of the warhead fragment decreases, reducing the number of warhead fragments hitting the equivalent target plate. Finally, the damage probability of the equivalent target plate at 83.5 m is reduced, verifying the influence of the intersection distance on the target damage probability.
In the third round of the test, the warhead is still placed horizontally on the ground at the center of the equivalent target plate in the middle area. It is about 40.4 m away from the center of the equivalent target plate in the middle area. At this time, the angle between the warhead and the center of the equivalent target plate in the middle area is about 5.9°. Table 4 shows the test data.
Comparing the test data of Table 2 and Table 4, it can be found that when the intersection angle is increased to 5.9°, the number of equivalent target plates arranged on the left-side of the U-shaped area hit by the warhead fragments is higher. On the contrary, the number of equivalent target plates on the right-side area hit by the warhead fragments is significantly reduced. The number of total warhead fragments is reduced in the target, which is mainly related to the intersection angle between the warhead and the equivalent target plate in the middle area. According to (14), the probability of intersection between the warhead fragment and target decreases to 83.1%.
When the intersection distance is relatively close and is about 40 m, the number of effective warhead fragments decreases due to the increase in the intersection angle from 2.6° to 5.9° although the distribution density of warhead fragments changes slightly after the warhead explosion. Therefore, the overall target damage probability is reduced. According to (15), the target damage probability is calculated as 3.41%. The results verify that the intersection angle influences the target damage probability. The analysis of simulation and test results verifies the effects of intersection distance and intersection angle on the target damage probability. Based on the test, the probability of damage to the target caused by the projectile proximity explosion warhead fragments is calculated, and the results are consistent with the established target damage probability calculation model.
In their paper, Li et al. [11] established a target damage efficiency assessment calculation model according to the damaged area of and the damage characteristics of the target. Si et al. [19] studied the method of assessing the damage caused by the fragmentation warhead against airplane targets; the function to calculate the number of warhead fragment impacting the targets was provided under the condition of random intersection of missiles and targets, and they deduced the damage probability. This paper establishes the calculation function of the number of effective warhead fragments hitting the target, introduces the profit-loss value of warhead fragment group after the warhead explosion as based on these two factors, and derives the target damage assessment mathematical model under the condition of random intersection of the projectile and the target. Assuming that the intersection angle of the projectile and the target is 2°, the target damage probability under different intersection distances is calculated by using the proposed method in this paper and the methods of references [11,19], as shown in Figure 8.
It can be seen from Figure 8 that when the intersection angle of the projectile and the target is fixed, the target damage probability decreases with the intersection distance increases; at the same time, with the increase of intersection distance, the change curves of target damage probability calculated by the methods proposed in references [11,19] are basically similar; this is because the two methods mainly consider the damage area of warhead fragments to the target and the characteristics of the target itself to establish the target damage assessment mathematical model. However, the change of target damage probability calculated by the method proposed in this paper has some differences from the two methods; the mathematical model established in this paper considers not only these two factors but also the profit-loss value of the warhead fragment group; the capability matrix of the warhead fragment group is constructed according to the quality, quantity, and storage velocity of the warhead fragments, and then, the profit-loss value of the warhead fragment group is established. Because the power situation of dynamic dispersion warhead fragments formed by the warhead explosion is not completely the same, this function can more accurately reflect the power situation of warhead fragment groups, which adds more sufficient factors to the target damage assessment mathematical model. It is helpful to accurately evaluate the target damage probability.

4. Conclusions

The advantage of this paper is that considering the dynamic characteristics of the warhead fragment group formed by warhead explosion, according to the quality, quantity, and storage velocity of the warhead fragments, the profit-loss value is constructed, the power of the warhead fragment changes from the time the warhead fragment starts flying to the time it hits the target, and the profit-loss value is the key factor in the mathematical model of target damage assessment. Therefore, in this paper, the warhead fragment density function was established based on the characteristics of the projectile and target intersection. The warhead fragments in the effective dispersion area were regarded in a certain array formation and penetrated the target continuously for a certain time. The warhead fragment kinetic energy of each layer was introduced to set up the profit-loss value with warhead fragments’ kinetic energy as the core element. According to the profit-loss value of the warhead fragments group, the target damage assessment mathematical model based on the warhead fragment array formation under the intersection of projectile and target was deduced. The target damage effects under various state parameters were calculated based on the obtained test data. The results demonstrated that the short distance between the warhead fragment and the target provided a higher damaging effect by the kinetic energy of the warhead fragment storage velocity on the target. Moreover, the target damage probability increased with the decrease in the dispersion angle of warhead fragments and the increase in the number of warhead fragments intersecting with the target. Because of the importance of the profit-loss value formed by the warhead fragment group power after the warhead explosion in the damage assessment, compared with the traditional methods, the target damage results calculated by the method proposed in this paper are more realistic. The target damage probability model established in this paper is effective and scientific; the proposed model provides data support and a theoretical basis for achieving effective and optimal target damage effect in the process of projectile proximity explosion of air targets.

Author Contributions

Data curation, resources, software, validation, and writing, X.Z.; methodology, H.L. All authors have read and agreed to the published version of the manuscript.

Funding

This work has been supported by Project of the National Natural Science Foundation of China (No. 62001365).

Institutional Review Board Statement

Not applicable.

Informed Consent Statement

Not applicable.

Data Availability Statement

Not applicable.

Conflicts of Interest

The authors declare no conflict of interest. This submitted manuscript has been approved by all authors for publication. We would like to declare that the work described is original research that has not been published previously and is not under consideration for publication elsewhere, in whole or in part. The authors listed have approved the manuscript that is enclosed.

References

  1. Jiang, Y.; Ni, B.; Qian, H. Modeling and simulation of combination laser proximity fuse detecting warship target. Infrare Laser Eng. 2016, 45, 53–58. [Google Scholar]
  2. Chen, X.; Wang, J.; Tang, K.; Lin, S.; Li, Y. Analysis on the initial velocity field of a multi-layer spherical fragment driven by explosion. J. Vib. Shock 2020, 39, 129–134. [Google Scholar]
  3. Xu, Z.; Xue, J.; Liu, T.; Zhang, P.; Xie, X. Equivalent damage study of missile due to energetic fragment warhead. J. Nanjing Univ. Sci. Technol. 2020, 44, 348–353. [Google Scholar]
  4. Wang, G.; Shi, Q.; You, Z. The study of equipment cluster target damage simulation method for ground artillery strike. Acta Armamentarii 2016, 37, 36–43. [Google Scholar]
  5. Li, X.; Zhang, Y.; Wei, H. A study of damage done by a fragmentation warhead upon complex ground targets. Acta Armamentarii 1999, 2, 115–118. [Google Scholar]
  6. Wang, S.; Han, X.; Wang, X. Research on evaluation method of comprehensive power of high explosive warhead and its application. Acta Armamentarii 2017, 38, 1249–1254. [Google Scholar]
  7. Zhang, H.; Zhang, S.; Cheng, L.; Li, Y.; Wen, Y.; Zhang, Z. The impact of initiation mode of blast fragmentation warhead on the power to kill the ground target. Acta Armamentarii 2021, 42, 2300–2309. [Google Scholar]
  8. Li, C.; Li, X.; Ge, X.; Qiao, Z. Assessment of fragmentation warhead damaging typical phased array radar. J. Ballist. 2015, 27, 80–84. [Google Scholar]
  9. Du, S.; Shi, Z.; Fu, Q.; Zhang, Y. The method for armored target damage evaluation based on the cloud model. J. Gun Launch Control 2019, 40, 79–83+88. [Google Scholar]
  10. Tian, B.; Shi, K.; Zou, J.; Li, T. Fuze explosion point effect on ammunition damage assessment. J. Detect. Control 2020, 42, 1–7+12. [Google Scholar]
  11. Li, H.; Zhang, X.; Zhang, X. Calculation model and method of target damage efficiency assessment based on warhead fragment dispersion. IEEE Trans. Instrum. Meas. 2020, 70, 1001308. [Google Scholar]
  12. Fountas, N.A.; Benhadj-Djilali, R.; Stergiou, C.I.; Vaxevanidis, N.M. An integrated framework for optimizing sculptured surface CNC tool paths based on direct software object evaluation and viral intelligence. J. Intell. Manuf. 2019, 30, 1581–1599. [Google Scholar]
  13. Li, X.; Li, F.; Liang, M.; Zhang, K. Design methods for the lethality of fragmentation warhead based on a multi-objective optimization algorithm. J. Phys. Conf. Ser. 2021, 2219, 012034. [Google Scholar]
  14. Zhang, M.; Pei, Y.; Yao, X.; Ge, Y. Damage assessment of aircraft wing subjected to blast wave with finite element method and artificial neural network tool. Def. Technol. 2022. [Google Scholar] [CrossRef]
  15. Du, X.; Fan, G.; Lv, Y.; Qiu, S. Bayesian network parameter learning algorithm for target damage assessment. IOP Conf. Ser. Mater. Sci. Eng. 2019, 569, 052014. [Google Scholar]
  16. Zhang, Z.; Zhang, L.; Xie, C.; Zhang, B.; Yang, B. Battle damage effect assessment based on improved GA-BP neural network. Fire Control. Command. Control. 2021, 46, 43–48. [Google Scholar]
  17. Zhu, L.; Li, H. Target damage effectiveness evaluation of game confrontation based on ANSYS /LS-DYNA. Comput. Appl. Softw. 2021, 38, 66–72. [Google Scholar]
  18. Evan, R.; Stefan, A.; Papanikolopoulos, N.P. Estimating 3D positions and velocities of projectiles from monocular views. IEEE Trans. Pattern Anal. Mach. Intell. 2009, 31, 938–944. [Google Scholar]
  19. Si, K.; Li, X.; Guo, C.; Gong, X.; Yao, Z. Research on damage assessment method of fragmentation warhead against airplane targets. J. Ballist. 2017, 29, 52–57. [Google Scholar]
  20. Wang, M.; Li, X.; Lu, F.; Gong, B. A model of calculating hitting point parameters of fragment in warhead/target encounter. J. Ballist. 2012, 24, 50–54. [Google Scholar]
  21. Han, J.; Wu, Y.; Yang, Z.; Chen, J. Modeling and simulation of fuze-warhead matching of air-defense missile for mobile target. Acta Armamentarii 2017, 38, 200–204. [Google Scholar]
  22. Li, M.; Gao, S.; Hou, H.; Li, D.; Zheng, H.; Li, Y.; Zhu, X. Projection characteristics of axial prefabricated fragments driven by cylindrical charge. J. Natl. Univ. Def. Technol. 2021, 43, 141–147. [Google Scholar]
  23. Wang, H.; He, Y.; He, Y.; Guo, L.; Wang, C.; Xu, T. Study on optimization of final trajectory parameters of blasting warheads based on extreme learning machine. J. Ballist. 2021, 33, 25–31+43. [Google Scholar]
  24. Li, J.; Dang, S. Analysis and research on the measurement method of space density distribution of warhead fragments. J. Proj. Rocket. Missiles Guid. 1992, 2, 61–72. [Google Scholar]
  25. Zhang, P.; Zhou, J. Analysis of penetration-explosion warhead fragments distribution and damage efficiency. Adv. Mater. Res. 2014, 3187, 2082–2086. [Google Scholar] [CrossRef]
  26. Qin, J.; Lei, M.; An, M. A simulation method for the limit penetration velocity of shell fragments based on LS-DYNA. Ship Electron. Eng. 2021, 41, 78–81. [Google Scholar]
  27. Chu, S. Study on the Equivalent Evaluation of the Damage power of the High Explosive Projectile; Shenyang Ligong University: Shenyang, China, 2020. [Google Scholar]
  28. Sun, Y.; Li, J.; Liu, D.; Xue, J.; Guo, Z. A calculation method of fragment number and mass distribution of blast-fragmentation warhead based on neural network. J. Phys. Conf. Ser. 2021, 1961, 012070. [Google Scholar]
  29. Zhai, C.; Chen, X. Damage assessment of the target area of the island/reef under the attack of missile warhead. Def. Technol. 2020, 16, 18–28. [Google Scholar] [CrossRef]
  30. Li, Z.; Chang, Y.; Yang, H.; Kou, Y.; Xu, A. Situation assessment method for cooperative air combat based on dynamic combat power field. J. Syst. Simul. 2015, 27, 1584–1590+1600. [Google Scholar]
Figure 1. The schematic diagram of proximity explosion target under the intersection of projectile and target.
Figure 1. The schematic diagram of proximity explosion target under the intersection of projectile and target.
Mathematics 10 03101 g001
Figure 2. Dynamic dispersion density distribution of warhead fragments.
Figure 2. Dynamic dispersion density distribution of warhead fragments.
Mathematics 10 03101 g002
Figure 3. Warhead fragment quality distribution of the two types of warheads and the quantity distribution of the effective warhead fragments hitting the target.
Figure 3. Warhead fragment quality distribution of the two types of warheads and the quantity distribution of the effective warhead fragments hitting the target.
Mathematics 10 03101 g003
Figure 4. Variation curve of the number of warhead fragments hitting the target under different intersection angles and intersection distances.
Figure 4. Variation curve of the number of warhead fragments hitting the target under different intersection angles and intersection distances.
Mathematics 10 03101 g004
Figure 5. Variation curve of target damage probability at different intersection distances.
Figure 5. Variation curve of target damage probability at different intersection distances.
Mathematics 10 03101 g005
Figure 6. Variation curve of target damage probability with warhead flight velocity.
Figure 6. Variation curve of target damage probability with warhead flight velocity.
Mathematics 10 03101 g006
Figure 7. Test layout scene.
Figure 7. Test layout scene.
Mathematics 10 03101 g007
Figure 8. Change curve of the relationship between target damage probability and intersection distance [11,19].
Figure 8. Change curve of the relationship between target damage probability and intersection distance [11,19].
Mathematics 10 03101 g008
Table 1. Shape coefficient of each shape of warhead fragment.
Table 1. Shape coefficient of each shape of warhead fragment.
Shape of Warhead FragmentSphereSquareCylinder-Shaped
K(m2/kg2/3)3.079 × 10−33.099 × 10−33.35 × 10−3
Shape of Warhead FragmentPrismStrip-ShapedIrregular Shape
K(m2/kg2/3)3.6 × 10−33.8 × 10−35 × 10−3
Table 2. Test data of equivalent target plate at 41.8 m.
Table 2. Test data of equivalent target plate at 41.8 m.
Distribution
Area
Number of Equivalent
Target Plates
Average Number of
Warhead Fragments
Average Damage
Area (mm2)
Left area1851638
Middle area2492921
Right area1854592
Table 3. Test data of equivalent target plate at 83.5 m.
Table 3. Test data of equivalent target plate at 83.5 m.
Distribution
Area
Number of Equivalent
Target Plates
Average Number of
Warhead Fragments
Average Damage
Area (mm2)
Left area1845559
Middle area2484796
Right area1839484
Table 4. Test data when the intersection angle is about 5.9°, and the intersection distance is 40.4 m.
Table 4. Test data when the intersection angle is about 5.9°, and the intersection distance is 40.4 m.
Distribution
Area
Number of Equivalent
Target Plates
Average Number of
Warhead Fragments
Average Damage
Area (mm2)
Left area1849537
Middle area2491942
Right area1837483
Publisher’s Note: MDPI stays neutral with regard to jurisdictional claims in published maps and institutional affiliations.

Share and Cite

MDPI and ACS Style

Zhang, X.; Li, H. A Target Damage Assessment Mathematical Model and Calculation Method Based on the Intersection of Warhead Fragment and Target Mechanism. Mathematics 2022, 10, 3101. https://doi.org/10.3390/math10173101

AMA Style

Zhang X, Li H. A Target Damage Assessment Mathematical Model and Calculation Method Based on the Intersection of Warhead Fragment and Target Mechanism. Mathematics. 2022; 10(17):3101. https://doi.org/10.3390/math10173101

Chicago/Turabian Style

Zhang, Xiaoqian, and Hanshan Li. 2022. "A Target Damage Assessment Mathematical Model and Calculation Method Based on the Intersection of Warhead Fragment and Target Mechanism" Mathematics 10, no. 17: 3101. https://doi.org/10.3390/math10173101

APA Style

Zhang, X., & Li, H. (2022). A Target Damage Assessment Mathematical Model and Calculation Method Based on the Intersection of Warhead Fragment and Target Mechanism. Mathematics, 10(17), 3101. https://doi.org/10.3390/math10173101

Note that from the first issue of 2016, this journal uses article numbers instead of page numbers. See further details here.

Article Metrics

Back to TopTop