Second Phase of the Adaptation Process of the Mathematics Self-Efficacy Survey (MSES) for the Mexican–Spanish Language: The Confirmation
Abstract
1. Introduction
1.1. Cultural and General Context of Mathematics in STEM Education
1.2. Purpose
2. Materials and Methods
2.1. Participants
2.2. Instrument
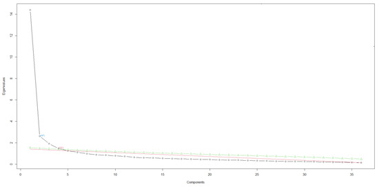
2.3. Exploratory Factor Analysis
2.4. Confirmatory Factor Analysis
2.5. Internal Consistency
3. Results
3.1. Confirmatory Factor Analysis
3.2. Internal Consistency
4. Discussion
4.1. Implications for Practice
4.2. Limitations and Future Work
5. Conclusions
Author Contributions
Funding
Institutional Review Board Statement
Informed Consent Statement
Data Availability Statement
Acknowledgments
Conflicts of Interest
References
- Thomas, B.; Watters, J.J. Perspectives on Australian, Indian and Malaysian Approaches to STEM Education. Int. J. Educ. Dev. 2015, 45, 42–53. [Google Scholar] [CrossRef]
- Committee on STEM Edcucation. Federal Science, Technology, Engineering, and Mathematics (STEM) Education; National Science and Technology Council: Washington, DC, USA, 2013.
- Gobierno de la República. Plan Nacional de Desarrollo 2019–2024; Gobierno de la República: Mexico City, Mexico, 2019.
- Funk, C.; Parker, K. Diversity in the STEM Workforce Varies Widely across Jobs; Pew Research Center: Washington, DC, USA, 2018. [Google Scholar]
- Gallindo, E.L.; Cruz, H.A.; Moreira, M.W.L. Critical Examination Using Business Intelligence on the Gender Gap in Information Technology in Brazil. Mathematics 2021, 9, 1824. [Google Scholar] [CrossRef]
- McCullough, L. Barriers and Assistance for Female Leaders in Academic Stem in the US. Educ. Sci. 2020, 10, 264. [Google Scholar] [CrossRef]
- National Science Foundation. Women, Minorities, and Persons with Disabilities in Science and Engineering; National Science Foundation: Alexandria, VA, USA, 2019.
- Morán-Soto, G.; González-Peña, O.I. Mathematics Anxiety and Self-Efficacy of Mexican Engineering Students: Is There Gender Gap? Educ. Sci. 2022, 12, 391. [Google Scholar] [CrossRef]
- English, L.D. STEM Education K-12: Perspectives on Integration. Int. J. STEM Educ. 2016, 3, 3. [Google Scholar] [CrossRef]
- Krstikj, A.; Sosa Godina, J.; García Bañuelos, L.; González Peña, O.I.; Quintero Milián, H.N.; Urbina Coronado, P.D.; Vanoye García, A.Y. Analysis of Competency Assessment of Educational Innovation in Upper Secondary School and Higher Education: A Mapping Review. Sustainability 2022, 14, 8089. [Google Scholar] [CrossRef]
- Expósito López, J.; Romero-Díaz de la Guardia, J.J.; Olmos-Gómez, M.D.C.; Chacón-Cuberos, R.; Olmedo-Moreno, E.M. Enhancing Skills for Employment in the Workplace of the Future 2020 Using the Theory of Connectivity: Shared and Adaptive Personal Learning Environments in a Spanish Context. Sustainability 2019, 11, 4219. [Google Scholar] [CrossRef]
- Garcia-Esteban, S.; Jahnke, S. Skills in European Higher Education Mobility Programmes: Outlining a Conceptual Framework. High. Educ. Ski. Work. Based Learn. 2020, 10, 519–539. [Google Scholar] [CrossRef]
- Benete, L. Transversal competencies in education policies and practice (Regional synthesis report, 2015). In Proceedings of the Central Asian Workshop on ESD and GCED, Almaty, Kazakhstan, 27 September 2017. [Google Scholar]
- Shaughnessy, M. Mathematics in a STEM Context. Math. Teach. Middle Sch. 2013, 18, 324. [Google Scholar]
- Rieckmann, M. Learning to transform the world: Key competencies in education for sustainable development. In Issues and Trends in Education for Sustainable Development; Leicht, A., Heiss, J., Byun, W.J., Eds.; UNESCO Publishing: Paris, France, 2018. [Google Scholar]
- De las Cuevas, P.; García-Arenas, M.; Rico, N. Why Not STEM? A Study Case on the Influence of Gender Factors on Students’ Higher Education Choice. Mathematics 2022, 10, 239. [Google Scholar] [CrossRef]
- Dou, R.; Hazari, Z.; Dabney, K.; Sonnert, G.; Sadler, P. Early Informal STEM Experiences and STEM Identity: The Importance of Talking Science. Sci. Educ. 2019, 103, 623–637. [Google Scholar] [CrossRef]
- Kennedy, T.J.; Odell, M.R.L. Engaging Students in STEM Education. Sci. Educ. Int. 2014, 25, 246–258. [Google Scholar]
- Ejiwale, J.A. Barriers to Successful Implementation of STEM Education. J. Educ. Learn. 2013, 7, 63. [Google Scholar] [CrossRef]
- Rozgonjuk, D.; Kraav, T.; Mikkor, K.; Orav-puurand, K.; Täht, K. Mathematics Anxiety among STEM and Social Sciences Students: The Roles of Mathematics Self-Efficacy, and Deep and Surface Approach to Learning. Int. J. STEM Educ. 2020, 7, 46. [Google Scholar] [CrossRef]
- Maltese, A.V.; Tai, R.H. Pipeline Persistence: Examining the Association of Educational Experiences with Earned Degrees in STEM among U.S. Students. Sci. Educ. 2011, 95, 877–907. [Google Scholar] [CrossRef]
- Trusty, J. Effects of High School Course-Taking and Other Variables on Choice of Science and Mathematics College Majors. J. Couns. Dev. 2002, 80, 464–474. [Google Scholar] [CrossRef]
- Tyson, W.; Lee, R.; Borman, K.M.; Hanson, M.A. Science, Technology, Engineering, and Mathematics (STEM) Pathways: High School Science and Math Coursework and Postsecondary Degree Attainment. J. Educ. Stud. Placed Risk 2007, 12, 243–270. [Google Scholar] [CrossRef]
- Rose, H.; Betts, J.R. Math Matters: The Links between High School Curriculum, College Graduation, and Earnings; Public Policy Institute of California: San Francisco, CA, USA, 2001. [Google Scholar]
- Hackett, G. Role of Mathematics Self-Efficacy in the Choice of Math-Related Majors of College Women and Men: A Path Analysis. J. Couns. Psychol. 1985, 32, 47–56. [Google Scholar] [CrossRef]
- Mau, W.C. Factors That Influence Persistence in Science and Engineering Career Aspirations. Career Dev. Q. 2003, 51, 234–243. [Google Scholar] [CrossRef]
- Lent, R.; Lopez, F.; Bieschke, K. Mathematics Self-Efficacy: Sources and Relation to Science-Based Career Choice. J. Couns. Psychol. 1991, 38, 424–430. [Google Scholar] [CrossRef]
- Grigg, S.; Perera, H.N.; McIlveen, P.; Svetleff, Z. Relations among Math Self Efficacy, Interest, Intentions, and Achievement: A Social Cognitive Perspective. Contemp. Educ. Psychol. 2018, 53, 73–86. [Google Scholar] [CrossRef]
- Lent, R.W.; Brown, S.D.; Hackett, G. Toward a Unifying Social Cognitive Theory of Career and Academic Interest, Choice, and Performance. J. Vocat. Behav. 1994, 45, 79–122. [Google Scholar] [CrossRef]
- Gardner, J.; Pyke, P.; Belcheir, M.; Schrader, C. Testing our assumptions: Mathematics preparation and its role in engineering student success. In Proceedings of the 2007 American Society for Engineering Education Annual Conference and Exposition, Honolulu, HI, USA, 24–27 June 2007. [Google Scholar]
- Middleton, J.A.; Krause, S.; Maass, S.; Beeley, K.; Collofello, J.; Culbertson, R. Early course and grade predictors of persistence in undergraduate engineering majors. In Proceedings of the Frontiers in Education Conference, FIE 2014, Madrid, Spain, 22–25 October 2014. [Google Scholar] [CrossRef]
- Bandura, A. Social Foundations of Thought and Action: A Social Cognitive Theory; Prentice Hall: Englewood Cliffs, NJ, USA, 1986. [Google Scholar]
- Morán-Soto, G.; Valdivia Vázquez, J.A.; González Peña, O.I. Adaptation Process of the Mathematic Self-Efficacy Survey (MSES) Scale to Mexican-Spanish Language. Mathematics 2022, 10, 798. [Google Scholar] [CrossRef]
- Marra, R.M.; Rodgers, K.A.; Shen, D.; Bogue, B. Women Engineering Students and Self-Efficacy: A Multi-Year, Multi-Institution Study of Women Engineering Student Self-Efficacy. J. Eng. Educ. 2009, 98, 27–38. [Google Scholar] [CrossRef]
- O’Brien, V.; Martinez-Pons, M.; Kopala, M. Mathematics Self-Efficacy, Ethnic Identity, Gender, and Career Interests Related to Mathematics and Science. J. Educ. Res. 1999, 92, 231–235. [Google Scholar] [CrossRef]
- Brown, S.; Burnham, J. Engineering Student’s Mathematics Self-Efficacy Development in a Freshmen Engineering Mathematics Ourse. Int. J. Eng. Educ. 2012, 28, 113–129. [Google Scholar]
- Briley, J.S. The Relationships among Mathematics Teaching Efficacy, Mathematics Self-Efficacy, and Mathematical Beliefs for Elementary Pre-Service Teachers. Issues Undergrad. Math. Prep. Sch. Teach. 2012, 5, 1–13. [Google Scholar]
- May, D.K. Mathematics Self-Efficacy and Anxiety Questionnaire. Ph.D Thesis, The University of Georgia, Athens, GA, USA, 2009. [Google Scholar]
- Andrews, P.; Diego-Mantecón, J. Instrument Adaptation in Cross-Cultural Studies of Students’ Mathematics-Related Beliefs: Learning from Healthcare Research. Comp. J. Comp. Int. Educ. 2015, 45, 545–567. [Google Scholar] [CrossRef]
- Creswell, J.W. Research Design: Qualitative, Quantitative and Mixed Methods Research; Sage Publications, Inc.: Thousand Oaks, CA, USA, 2009. [Google Scholar]
- Zalazar Jaime, M.F.; Aparicio Martín, M.D.; Ramírez Flores, C.M.; Garrido, S.J. Estudios Preliminares de Adaptación de La Escala de Fuentes de Autoeficacia Para Matemáticas. Rev. Argent. Cienc. Comport. 2011, 3, 1–6. [Google Scholar]
- Camposeco Torres, F.d.M. La Autoeficacia Como Variable En La Motivación Intrínseca y Extrínseca En Matemáticas a Través de Un Criterio Étnico. Ph.D. Thesis, Universidad Complutense de Madrid, Madrid, Spain, 2012. [Google Scholar]
- Betz, N.E.; Hackett, G. The Relationship of Mathematics Self-Efficacy Expectations to the Selection of Science-Based College Majors. J. Vocat. Behav. 1983, 23, 329–345. [Google Scholar] [CrossRef]
- Chen, P.P. Exploring the Accuracy and Predictability of the Self-Efficacy Beliefs of Seventh-Grade Mathematics Students. Learn. Individ. Differ. 2003, 14, 77–90. [Google Scholar] [CrossRef]
- Kitsantas, A.; Cheema, J.; Ware, H.W. Mathematics Achievement: The Role of Homework and Self-Efficacy Beliefs. J. Adv. Acad. 2011, 22, 310–339. [Google Scholar] [CrossRef]
- Zakariya, Y.F.; Goodchild, S.; Bjørkestøl, K.; Nilsen, H.K. Calculus Self-Efficacy Inventory: Its Development and Relationship with Approaches to Learning. Educ. Sci. 2019, 9, 170. [Google Scholar] [CrossRef]
- Pajares, F.; Graham, L. Self-Efficacy, Motivation Constructs, and Mathematics Performance of Entering Middle School Students. Contemp. Educ. Psychol. 1999, 24, 124–139. [Google Scholar] [CrossRef]
- Bandura, A. Guide for cosntructing self-efficay scales. In Self-Efficacy Beliefs of Adolescents; Pajares, F., Urdan, T., Eds.; Information Age Publishing: Charlotte, NC, USA, 1997; pp. 307–337. [Google Scholar]
- McMullan, M.; Jones, R.; Lea, S. Math Anxiety, Self-Efficacy, and Ability in British Undergraduate Nursing Students. Res. Nurs. Health 2012, 35, 178–186. [Google Scholar] [CrossRef] [PubMed]
- Riddle, K.; Domiano, L. Does Teaching Methodology Affect Medication Dosage Calculation Skills of Undergraduate Nursing Students? J. Nurs. Educ. Pract. 2020, 10, 36–41. [Google Scholar] [CrossRef]
- Andrew, S.; Salamonson, Y.; Halcomb, E.J. Nursing Students’ Confidence in Medication Calculations Predicts Math Exam Performance. Nurse Educ. Today 2009, 29, 217–223. [Google Scholar] [CrossRef] [PubMed]
- Junge, M.E.; Dretzke, B.J. Mathematical Self-Efficacy Gender Differences in Gifted/Talented Adolescents. Gift. Child. Q. 1995, 39, 22–26. [Google Scholar] [CrossRef]
- Bates, A.B.; Latham, N.; Kim, J. Linking Preservice Teachers’ Mathematics Self-Efficacy and Mathematics Teaching Efficacy to Their Mathematical Performance. Sch. Sci. Math. 2011, 111, 325–333. [Google Scholar] [CrossRef]
- Cattell, R. The Scientific Use of Factor Analysis; Plenum: New York, NY, USA, 1978. [Google Scholar]
- Gorsuch, R.L. Factor Analysis, 2nd ed.; Erlbaum: Hillsdale, NJ, USA, 1983. [Google Scholar]
- Kline, P. An Easy Guide to Factor Analysis; Routledge: New York, NY, USA, 1994. [Google Scholar]
- Kaiser, H.F. A Second Generation Little Jiffy. Psychometrika 1970, 35, 401–415. [Google Scholar] [CrossRef]
- Hutcheson, G.D.; Sofroniou, N. The Multivariate Social Scientist: Introductory Statistics Using Generalized Linear Models; Sage: London, UK, 1999. [Google Scholar]
- Nielsen, I.L.; Moore, K.A. Psychometric Data on the Mathematics Self-Efficacy Scale. Educ. Psychol. Meas. 2003, 63, 128–138. [Google Scholar] [CrossRef]
- Hackett, G.; Betz, N.E. An Exploration of the Mathematics Self-Efficacy/Mathematics Performance Correspondence. J. Res. Math. Educ. 1989, 20, 261–273. [Google Scholar] [CrossRef]
- Silk, K.J.; Parrott, R.L. Math Anxiety and Exposure to Statistics in Messages about Genetically Modified Foods: Effects of Numeracy, Math Self-Efficacy, and Form of Presentation. J. Health Commun. 2014, 19, 838–852. [Google Scholar] [CrossRef]
- Gobierno de la República. Programa de Trabajo Anual 2021; Gobierno de la República: Mexico City, Mexico, 2021.
- Kline, R.B. Principles and Practice of Structural Equation Modeling; Guilford Press: New York, NY, USA, 2005. [Google Scholar]
- Hendrickson, A.; White, P. Promax: A Quick Method for Rotation to Oblique Simple Structure. Br. J. Stat. Psychol. 1964, 17, 65–70. [Google Scholar] [CrossRef]
- Osborne, J.W. Best Practices in Exploratory Factor Analysis; Createspac Publishing: Scotts Valley, CA, USA, 2014. [Google Scholar]
- Osborne, J.W.; Fitzpatrick, D.C. Replication Analysis in Exploratory Factor Analysis: What It Is and Why It Makes Your Analysis Better. Pract. Assess. Res. Eval. 2012, 17, 15. [Google Scholar]
- Tabachnick, B.G.; Fidell, L.S. Using Multivariate Statistics; Pearson: Boston, MA, USA, 2001. [Google Scholar]
- Hinkin, T.R. A Brief Tutorial on the Development of Measures for Use in Survey Questionnaires. Organ. Res. Methods 1998, 1, 104–121. [Google Scholar] [CrossRef]
- Costello, A.B.; Osborne, J. Best Practices in Exploratory Factor Analysis: Four Recommendations for Getting the Most from Your Analysis. Pract. Assess. Res. Eval. 2005, 10, 7. [Google Scholar]
- Howard, M.C. A Review of Exploratory Factor Analysis Decisions and Overview of Current Practices: What We Are Doing and How Can We Improve? Int. J. Hum. Comput. Interact. 2016, 32, 51–62. [Google Scholar] [CrossRef]
- Lee, W.C.; Godwin, A.; Hermundstad, A.L. Development of the Engineering Student Integration Instrument: Rethinking Measures of Integration. J. Eng. Educ. 2018, 107, 30–55. [Google Scholar] [CrossRef]
- Brown, T.A. Confirmatory Factor Analysis for Applied Research, 2nd ed.; Guilford Press: New York, NY, USA, 2015. [Google Scholar]
- Fernández, M.; Benítez, J.; Pichardo, M.; Fernández, E.; Justicia, F.; García, T.; García-Berbén, A.; Justicia, A.; Alba, G. Análisis Factorial Confirmatorio de Las Subescalas Del PKBS-2 Para La Evaluación de Las Habilidades Sociales y Los Problemas de Conducta En Educación Infantil. Electron. J. Res. Educ. Psychol. 2010, 8, 1231–1252. [Google Scholar] [CrossRef][Green Version]
- Fabrigar, L.; Wegener, D.; MacCallum, R.; Strahan, E. Evaluating the Use of Exploratory Factor Analysis in Psychological Research. Psychol. Methods 1999, 4, 272. [Google Scholar] [CrossRef]
- Byrne, B. Structural Equation Modeling with EQS and EQS/Windows: Basic Concepts, Applications, and Programming; Sage Publications: Thousand Oaks, CA, USA, 1994. [Google Scholar]
- Hu, L.; Bentler, P.M. Cutoff Criteria for Fit Indexes in Covariance Structure Analysis: Conventional Criteria versus New Alternatives. Struct. Equ. Model. Multidiscip. J. 1999, 6, 1–55. [Google Scholar] [CrossRef]
- MacCallum, R.C.; Browne, M.W.; Sugawara, H.M. Power Analysis and Determination of Sample Size for Covariance Structure Modeling. Psychol. Methods 1996, 1, 130–149. [Google Scholar] [CrossRef]
- Satorra, A.; Bentler, P.M. Scaling Corrections for Statistics in Covariance Structure Analysis (UCLA Statistics Series 2); University of California at Los Angeles, Department of Psychology: Los Angeles, CA, USA, 1988. [Google Scholar]
- Batista-Foguet, J.; Coenders, G.; Alonso, J. Análisis Factorial Confirmatorio. Su Utilidad En La Validación de Cuestionarios Relacionados Con La Salud. Med. Clín. 2004, 122, 21–27. [Google Scholar] [CrossRef] [PubMed]
- Thorndike, R.M.; Thorndike-Christ, T. Measurement and Evaluation in Psychology and Education, 8th ed.; Pearson: Boston, MA, USA, 2010. [Google Scholar]
- R-Team Computers. R: A Language and Environment for Statistical Computing; R Foundation for Statistical Computing: Vienna, Austria, 2012; Available online: http://www.r-project.org (accessed on 10 July 2022).
- Kranzler, J.H.; Pajares, F. An Exploratory Factor Analysis of the Mathematics Self-Efficacy Scale—Revised (MSES-R). Meas. Eval. Couns. Dev. 1976, 29, 215–228. [Google Scholar] [CrossRef]
- Langenfeld, T.E.; Pajares, F. The Mathematics Self-Efficacy Scale: A Validation Study. In Proceedings of the Annual Meeting of the American Educational Research Association, Atlanta, GA, USA, 12–16 April 1993. [Google Scholar]
- Hu, L.; Bentler, P. Evaluating Model Fit. In Structural equation modeling: Concepts, Issues, and Applications; SAGE Publications, Inc.: Thousand Oaks, CA, USA, 1995; pp. 76–99. [Google Scholar]
- Kitchener, K. Cognitive, Metacognitive, and Epistemic Cognition; a Three Level Model of Cognitive Processing. Hum. Dev. 1983, 26, 222–232. [Google Scholar] [CrossRef]
- Lopez, K.A.; Willis, D.G. Descriptive versus Interpretive Phenomenology: Their Contributions to Nursing Knowledge. Qual. Health Res. 2004, 14, 726. [Google Scholar] [CrossRef] [PubMed]
- Ellington, A.J. A Meta-Analysis of the Effects of Calculators on Students’ Achievement and Attitude Levels in Precollege Mathematics Classes. J. Res. Math. Educ. 2003, 34, 433–463. [Google Scholar] [CrossRef]
- Kelley, T.R.; Knowles, J.G. A Conceptual Framework for Integrated STEM Education. Int. J. STEM Educ. 2016, 3, 11. [Google Scholar] [CrossRef]
- Chen, X.; Soldner, M. STEM Attrition: College Students’ Paths into and Out of STEM Fields Statistical Analysis Report; National Center for Education: Jessup, MD, USA, 2013.
- Geisinger, B.N.; Raman, D.R. Why They Leave: Understanding Student Attrition from Engineering Majors. Int. J. Eng. Educ. 2013, 29, 914–925. [Google Scholar]
- Randhawa, B.S.; Beamer, J.E.; Lundberg, I. Role of Mathematics Self-Efficacy in the Structural Model of Mathematics Achievement. J. Educ. Psychol. 1993, 85, 41–48. [Google Scholar] [CrossRef]
- Walther, J. Understanding Interpretive Research through the Lens of a Cultural Verfremdungseffekt. J. Eng. Educ. 2014, 103, 450–462. [Google Scholar] [CrossRef]
- Walther, J.; Sochacka, N.W.; Kellam, N.N. Quality in Interpretive Engineering Education Research: Reflections on an Example Study. J. Eng. Educ. 2013, 102, 626–659. [Google Scholar] [CrossRef]
- Bowen, G.A. Grounded Theory and Sensitizing Concepts. Int. J. Qual. Methods 2006, 5, 12–23. [Google Scholar] [CrossRef]
- MacFarlane, B.; MacFarlane, B. Infrastructure of comprehensive STEM programming for advanced learners. In STEM Education for High-Ability Learners Designing and Implementing Programming; MacFarlane, B., Ed.; Routledge: New York, NY, USA, 2016; pp. 139–160. [Google Scholar]
- Flores, A. Examining Disparities in Mathematics Education: Achievement Gap or Opportunity Gap? High Sch. J. 2007, 91, 29–42. [Google Scholar] [CrossRef]
- Lent, R.W.; Brown, S.D.; Hackett, G. Contextual Supports and Barriers to Career Choice: A Social Cognitive Analysis. J. Couns. Psychol. 2000, 47, 36–49. [Google Scholar] [CrossRef]


| Item | Factor Loadings | ||
|---|---|---|---|
| Everyday Math Activities | Math-Related Courses | Math Problem Solving | |
| Q1 * | 0.59 | ||
| Q2 * | 0.48 | ||
| Q3 | 0.70 | ||
| Q4 * | 0.62 | ||
| Q5 * | 0.64 | ||
| Q6 | 0.69 | ||
| Q7 | 0.76 | ||
| Q8 * | 0.64 | ||
| Q9 * | 0.49 | ||
| Q10 * | 0.55 | ||
| Q11 * | 0.64 | ||
| Q12 | 0.65 | ||
| Q13 * | 0.38 | ||
| Q14 * | 0.72 | ||
| Q15 | 0.80 | ||
| Q16 | 0.82 | ||
| Q17 | 0.77 | ||
| Q18 | 0.74 | ||
| Q19 * | 0.80 | ||
| Q21 * | 0.62 | ||
| Q22 * | 0.51 | ||
| Q23 * | 0.55 | ||
| Q24 * | 0.55 | ||
| Q25 * | 0.58 | ||
| Q26 | 0.67 | ||
| Q27 * | 0.88 | ||
| Q28 * | 0.64 | ||
| Q29 * | 0.61 | ||
| Q30 | 0.77 | ||
| Q31 | 0.75 | ||
| Q32 * | 0.69 | ||
| Q33 | 0.77 | ||
| Q34 * | 0.63 | ||
| Q35 * | 0.38 | ||
| Items | ||
|---|---|---|
| Q1 | Determine how much interest you will pay on a $675 USD loan over two years at 14.75 % per year. | |
| Q2 | Calculate the amount of wood you need to buy to build two bookcases 2 m high and 1 m wide. | |
| Q4 | Calculate how much fabric you need to buy to make curtains for two equal square windows 1.5 m on each side. | |
| Q5 | Calculate how much interest you will earn on your savings account in 6 months, and analyze how that interest is calculated. | |
| Q8 | Determine the amount of tip corresponding to your share of a restaurant bill divided by eight people. | |
| Q9 | Set a monthly budget for yourself. | |
| Q10 | Balance your expenses and your weekly income without mistake. | |
| Q11 | Determine which of the two summer jobs is the best offer, one with a higher salary but no benefits, the other with a lower salary but this covers the costs of lodging, maintenance and transportation. | |
| Q13 | Calculate the quantities of a recipe for a dinner for 41 people when the original recipe is for 12 people. | |
| Q14 | Precalculus | |
| Q19 | Differential equations | |
| Q21 | Sally needs three pieces of cardboard for a school project. If the pieces are represented by rectangles A, B, and C, help Sally to arrange their areas in increasing order (assumes b > a). | ![]() |
| Q22 | The average of three numbers is 30. The fourth number is at least 10. What is the minimum average of the four numbers? | |
| Q23 | To build a table, Michele needs 4 pieces of wood that are 2.5 feet long for the legs. He wants to determine how much lumber he needs for 5 tables. Please reason as follows: 5 × (4 × 2.5) = (5 × 4) 2.5. What property of real numbers is Michele using? | |
| Q24 | Five points lie on a line. T is next to G. K is next to H. C is next to T. H is next to G. Determine the order of appearance of these five points on the line. | |
| Q25 | There are three numbers. The second is twice the first, and the first is a third of the other number. The sum of the three is 48. Find the largest number. | |
| Q27 | The hands of a clock make an obtuse angle when it marks ____ o’clock. (Consider that there is more than one correct answer). | |
| Q28 | Bridget buys a package containing 9-cent and 13-cent stamps for $2.65 USD. If there are 25 stamps in the package, how many 13-cent stamps are in the package? | |
| Q29 | Write an equation that expresses the condition “the product of two numbers R and S is one less than twice the sum of both”. | |
| Q32 | The formula to convert temperature from Celsius to Fahrenheit is F = C + 32. How many degrees Fahrenheit is 20 degrees Celsius? | |
| Q34 | If 3X – 2 = 16, what is the value of X? | |
| Q35 | Fred’s bill for some household items was $13.64 USD. If he paid with a $20 USD bill, how much change should they give him? | |
| Subconstruct | Cronbach’s Alpha |
|---|---|
| Everyday math activities | 0.86 |
| Math-related courses | 0.88 |
| Math problem solving | 0.85 |
| Items | |
|---|---|
| Everyday math activities | |
| Q3 | Calcular los impuestos que tendrías que pagar en un año de trabajo dependiendo de tu ingreso anual (30% de ISR). |
| Q6 | Calcular cuánto interés ganarás con tu cuenta de ahorros en 6 meses, y analizar cómo ese interés es calculado. |
| Q7 | Estimar el costo total de tu mandado en tu cabeza conforme tomas los artículos. |
| Q12 | Calcular cuánto ahorrarías si hay un 15% de descuento en un artículo que deseas comprar. |
| Math-related courses | |
| Q15 | Cálculo Diferencial |
| Q16 | Cálculo Integral |
| Q17 | Cálculo Vectorial |
| Q18 | Álgebra Lineal |
| Math problem solving | |
| Q26 | En cierto triángulo, el lado más corto es de 6 pulgadas, el lado más largo es el doble de largo que el más corto, y el tercer lado es 3.4 pulgadas más corto que el lado más largo. ¿Cuál es la suma de los tres lados en pulgadas? |
| Q30 | Formular el problema que debe resolverse para encontrar el número que se pide en la expresión “seis menos que el doble de 4 5/6”. |
| Q31 | En cierto mapa, 7/8 de pulgada representan 200 millas. ¿Qué tan separadas están dos ciudades cuya distancia de separación en el mapa es de 3 1/2 pulgadas? |
| Q33 | Resuelve 3 3/4 − 1/2 = |
Publisher’s Note: MDPI stays neutral with regard to jurisdictional claims in published maps and institutional affiliations. |
© 2022 by the authors. Licensee MDPI, Basel, Switzerland. This article is an open access article distributed under the terms and conditions of the Creative Commons Attribution (CC BY) license (https://creativecommons.org/licenses/by/4.0/).
Share and Cite
Morán-Soto, G.; González Peña, O.I. Second Phase of the Adaptation Process of the Mathematics Self-Efficacy Survey (MSES) for the Mexican–Spanish Language: The Confirmation. Mathematics 2022, 10, 2905. https://doi.org/10.3390/math10162905
Morán-Soto G, González Peña OI. Second Phase of the Adaptation Process of the Mathematics Self-Efficacy Survey (MSES) for the Mexican–Spanish Language: The Confirmation. Mathematics. 2022; 10(16):2905. https://doi.org/10.3390/math10162905
Chicago/Turabian StyleMorán-Soto, Gustavo, and Omar Israel González Peña. 2022. "Second Phase of the Adaptation Process of the Mathematics Self-Efficacy Survey (MSES) for the Mexican–Spanish Language: The Confirmation" Mathematics 10, no. 16: 2905. https://doi.org/10.3390/math10162905
APA StyleMorán-Soto, G., & González Peña, O. I. (2022). Second Phase of the Adaptation Process of the Mathematics Self-Efficacy Survey (MSES) for the Mexican–Spanish Language: The Confirmation. Mathematics, 10(16), 2905. https://doi.org/10.3390/math10162905


