Simultaneous State and Kinetic Observation of Class-Controllable Bioprocesses
Abstract
1. Introduction
- Oxidative growth on the main carbon source (S), with a specific growth rate μ1:
- Fermentative growth on the main carbon source, with a specific growth rate μ2:
- Oxidative growth on the intermediate product (Pint), with a specific growth rate μ3:where is the biomass concentration.
2. A General Description of the SS Synthesis Methodology
- Oxidative growth on the main carbon source, with a specific growth rate :
- Fermentative growth on the main carbon source, with a specific growth rate :
- (1)
- Representation of the process model, Equations (4)–(6), for which Z-transformation cannot be applied, in a new form, Equations (10)–(13) that enables a modified application of the Z-transformation method by the model (15)–(18);
- (2)
- Unlike the original system, Equations (4)–(6), including three yield coefficients, the new system, Equations (15)–(18), includes only one yield coefficient. The two yield coefficients, and , are reduced using the Z-transformation. This makes adaptive estimation of the kinetics and immeasurable variable possible, as will be shown below.
3. Results and Discussion
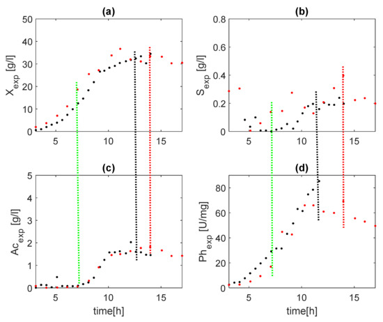
3.1. Case Study: Fed-Batch Process of Phytase Production
3.1.1. Experimental Data of Fed-Batch Phytase Production
3.1.2. Simulation Results
4. Conclusions
Author Contributions
Funding
Institutional Review Board Statement
Informed Consent Statement
Data Availability Statement
Conflicts of Interest
Appendix A
Appendix A.1. General Reaction Scheme of Bioprocesses Realized in Stirred Tank Reactors
Appendix A.2. General Dynamical Model of Bioprocesses
- —the vector of state variables with dim = n
- —the matrix of yield coefficients with dim = n × m
- —the vector of reaction rates with dim = m
- —dilution rate
- —the vector of rates of mass outflow of the components from the reactor in gaseous form with dim = n
- —the vector of mass feed rate in the reactor of the components if it is an external substrate.
Appendix A.3. Conditions for Estimating the Kinetics Independently of the Unknown Yield Coefficients
References
- Mandenius, C.F. Recent developments in the monitoring, modeling and control of biological production systems. Bioprocess Biosyst. Eng. 2004, 26, 347–351. [Google Scholar] [CrossRef] [PubMed]
- Teixeira, A.P.; Oliveira, R.; Alves, P.; Carrondo, M. Advances in on-line monitoring and control of mammalian cell cultures: Supporting the PAT initiative. Biotechnol. Adv. 2009, 27, 726–732. [Google Scholar] [CrossRef] [PubMed]
- Cheruy, A. Software sensors in bioprocess engineering. J. Biotechnol. 1997, 52, 193–199. [Google Scholar] [CrossRef]
- Bastin, G. On-Line Estimation and Adaptive Control of Bioreactors; Elsevier: Amsterdam, The Netherlands, 2013; Volume 1. [Google Scholar]
- Reyes, S.J.; Durocher, Y.; Pham, P.L.; Henry, O. Modern Sensor Tools and Techniques for Monitoring, Controlling, and Improving Cell Culture Processes. Processes 2022, 10, 189. [Google Scholar] [CrossRef]
- Rincón, A.; Hoyos, F.E.; Restrepo, G.M. Design and Evaluation of a Robust Observer Using Dead-Zone Lyapunov Functions—Application to Reaction Rate Estimation in Bioprocesses. Fermentation 2022, 8, 173. [Google Scholar] [CrossRef]
- Lyubenova, V.; Kostov, G.; Denkova-Kostova, R. Model-based monitoring of biotechnological processes—a review. Processes 2021, 9, 908. [Google Scholar] [CrossRef]
- De Becker, K.; Michiels, K.; Knoors, S.; Waldherr, S. Observer and controller design for a methane bioconversion process. Eur. J. Control 2021, 57, 14–32. [Google Scholar] [CrossRef]
- Mainka, T.; Mahler, N.; Herwig, C.; Pflügl, S. Soft sensor-based monitoring and efficient control strategies of biomass concentration for continuous cultures of Haloferax mediterranei and their application to an industrial production chain. Microorganisms 2019, 7, 648. [Google Scholar] [CrossRef]
- Selişteanu, D.; Petre, E.; Roman, M.; Şendrescu, D. Estimation of kinetic rates in a baker’s yeast fed-batch bioprocess by using non-linear observers. IET Control Theory Appl. 2012, 6, 243–253. [Google Scholar] [CrossRef]
- Zhu, X.; Rehman, K.U.; Wang, B.; Shahzad, M. Modern soft-sensing modeling methods for fermentation processes. Sensors 2020, 20, 1771. [Google Scholar] [CrossRef]
- Dochain, D. Automatic Control of Bioprocesses; John Wiley & Sons: Hoboken, NJ, USA, 2013. [Google Scholar]
- Jiang, Y.; Yin, S.; Dong, J.; Kaynak, O. A review on soft sensors for monitoring, control, and optimization of industrial processes. IEEE Sens. J. 2020, 21, 12868–12881. [Google Scholar] [CrossRef]
- Oliveira, R.; Ferreira, E.C.; Feyo de Azevedo, S. Stability, dynamics of convergence and tuning of observer-based kinetics estimators. J. Process Control 2002, 12, 311–323. [Google Scholar] [CrossRef]
- Lyubenova, V.N.; Ignatova, M.N. On-line estimation of physiological states for monitoring and control of bioprocesses. AIMS Bioeng. 2017, 4, 93–112. [Google Scholar] [CrossRef]
- Lubenova, V.; Rocha, I.; Ferreira, E.C. Estimation of multiple biomass growth rates and biomass concentration in a class of bioprocesses. Bioprocess Biosyst. Eng. 2003, 25, 395–406. [Google Scholar] [CrossRef][Green Version]
- Perrier, M.; De Azevedo, F.I.G.; Ferreira, E.C.; Dochain, D. Tuning of observer-based estimators: Theory and application to the on-line estimation of kinetic parameters. Control Eng. Pract. 2000, 8, 377–388. [Google Scholar] [CrossRef][Green Version]
- Rocha, I.C.A.P. Model-Based Strategies for Computer-Aided Operation of Recombinant E. coli Fermentation. Ph. D. Thesis, University of Minho, Braga, Portugal, 2003. [Google Scholar]
- Petre, E.; Selişteanu, D.; Şendrescu, D. Adaptive and robust-adaptive control strategies for anaerobic wastewater treatment bioprocesses. Chem. Eng. J. 2013, 217, 363–378. [Google Scholar] [CrossRef]
- Selisteanu, D.; Petre, E.; Marin, C.; Sendrescu, D. High-Gain Observers for Estimation of Kinetics in a Nonlinear Bioprocess. In Proceedings of the IEEE 2009 ICCAS-SICE, Fukuoka, Japan, 18–21 August 2009; pp. 5236–5241. [Google Scholar]
- Selisteanu, D.; Petre, E. Some on adaptive control of a wastewater biodegradation process. J. Control Eng. Appl. Inform. 2004, 6, 48–56. [Google Scholar]
- Čelikovský, S.; Torres-Munoz, J.A.; Dominguez-Bocanegra, A.R. Adaptive high gain observer extension and its application to bioprocess monitoring. Kybernetika 2018, 54, 155–174. [Google Scholar] [CrossRef]
- Nuñez, S.; Garelli, F.; De Battista, H. Product-based sliding mode observer for biomass and growth rate estimation in Luedeking-Piret like processes. Chem. Eng. Res. Des. 2016, 105, 24–30. [Google Scholar] [CrossRef]
- Battista, H.; Picó, J.; Garelli, F.; Navarro, J.L. Reaction rate reconstruction from biomass concentration measurement in bioreactors using modified second-order sliding mode algorithms. Bioproc. Biosyst. Eng. 2012, 35, 1615–1625. [Google Scholar] [CrossRef]
- Petre, E.; Selişteanu, D.; Roman, M. Nonlinear robust adaptive control strategies for a lactic fermentation process. J. Chem. Technol. Biotechnol. 2018, 93, 518–526. [Google Scholar] [CrossRef]
- Chachuat, B.; Bernard, O. Probabilistic observers for a class of uncertain biological processes. Int. J. Robust Nonlinear Control 2006, 16, 157–171. [Google Scholar] [CrossRef]
- Pomerleau, Y.; Perrier, M. Estimation of multiple specific growth rates in bioprocesses. AIChE J. 1990, 36, 207–215. [Google Scholar] [CrossRef]
- Zlatkova, A.; Lyubenova, V.; Dudin, S.; Ignatova, M. Marker for switching of multiple models describing E. coli cultivation. Comptes Rendus L’académie Bulg. Sci. 2017, 70, 263–273. [Google Scholar]
- Roeva, O.; Pencheva, T.; Tzonkov, S.; Arndt, M.; Hitzmann, B.; Kleist, S.; Miksch, G.; Friehs, K.; Flaschel, E. Multiple model approach to modelling of Escherichia coli fed-batch cultivation extracellular production of bacterial phytase. Electron. J. Biotechnol. 2007, 10, 592–603. [Google Scholar] [CrossRef][Green Version]
- Kleist, S.; Miksch, G.; Hitzmann, B.; Arndt, M.; Friehs, K.; Flaschel, E. Optimization of the extracellular production of a bacterial phytase with Escherichia coli by using different fed-batch fermentation strategies. Appl. Microbiol. Biotechnol. 2003, 61, 456–462. [Google Scholar] [CrossRef]







Publisher’s Note: MDPI stays neutral with regard to jurisdictional claims in published maps and institutional affiliations. |
© 2022 by the authors. Licensee MDPI, Basel, Switzerland. This article is an open access article distributed under the terms and conditions of the Creative Commons Attribution (CC BY) license (https://creativecommons.org/licenses/by/4.0/).
Share and Cite
Lyubenova, V.N.; Ignatova, M.N.; Shopska, V.N.; Kostov, G.A.; Roeva, O.N. Simultaneous State and Kinetic Observation of Class-Controllable Bioprocesses. Mathematics 2022, 10, 2665. https://doi.org/10.3390/math10152665
Lyubenova VN, Ignatova MN, Shopska VN, Kostov GA, Roeva ON. Simultaneous State and Kinetic Observation of Class-Controllable Bioprocesses. Mathematics. 2022; 10(15):2665. https://doi.org/10.3390/math10152665
Chicago/Turabian StyleLyubenova, Velislava Noreva, Maya Naydenova Ignatova, Vesela Nevelinova Shopska, Georgi Atanasov Kostov, and Olympia Nikolaeva Roeva. 2022. "Simultaneous State and Kinetic Observation of Class-Controllable Bioprocesses" Mathematics 10, no. 15: 2665. https://doi.org/10.3390/math10152665
APA StyleLyubenova, V. N., Ignatova, M. N., Shopska, V. N., Kostov, G. A., & Roeva, O. N. (2022). Simultaneous State and Kinetic Observation of Class-Controllable Bioprocesses. Mathematics, 10(15), 2665. https://doi.org/10.3390/math10152665

