Application and CFD-Based Optimization of a Novel Porous Object for Confined Slot Jet Impingement Cooling Systems under a Magnetic Field
Abstract
:1. Introduction
2. Mathematical Model
- Jet inlet,.
- SJ-I exit:
- Adiabatic top plate:
- At the interface between nanofluid and porous domain:
- On the rotating inner surface of the NPO:
3. Optimization Method
4. Grid Independence and Code Validation
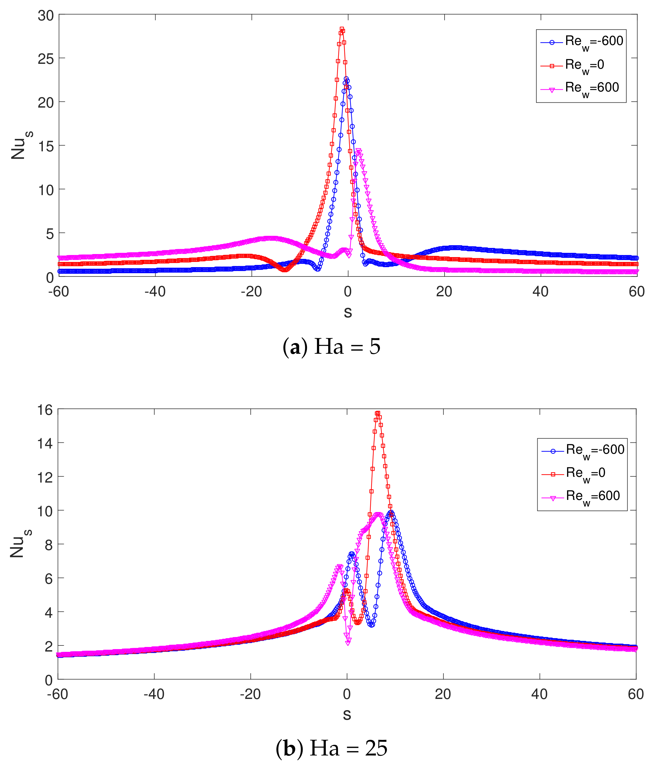
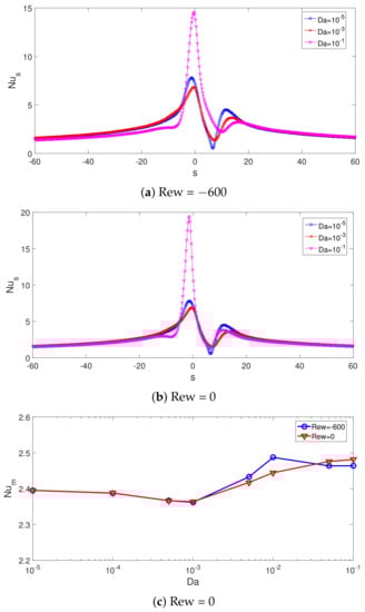
5. Results and Discussion
6. Conclusions
Author Contributions
Funding
Institutional Review Board Statement
Informed Consent Statement
Data Availability Statement
Conflicts of Interest
Abbreviations
| AR | Aspect ratio |
| Da | Darcy number |
| Dh | Hydraulic diameter, (m) |
| F | Nodal value |
| h | Heat transfer coefficient, (W/mK) |
| H | Separating distance, (m) |
| Ha | Hartmann number |
| k | Thermal conductivity, (W/mK) |
| L | Plate length, (m) |
| Mx | Dimensionless horizontal distance |
| n | Unit normal vector |
| Nu | Nusselt number |
| p | Pressure, (Pa) |
| Pr | Prandtl number |
| R | Residual |
| Re | Reynolds number |
| Rew | Rotational Reynolds number |
| T | Temperature, (K) |
| u, v | x–y velocity components, (m/s) |
| Vr | Field variable |
| W | Weight function |
| wd | Slot width, (m) |
| x, y | Cartesian coordinates, (m) |
| Greek Characters | |
| Thermal diffusivity, (m/s) | |
| Nondimensional temperature | |
| Dynamic viscosity, (Pa.s) | |
| Kinematic viscosity, (m/s) | |
| Density of the fluid, (kg/m) | |
| Rotational velocity, (rad/s) | |
| Porosity | |
| Permeability, (m) | |
| Electrical conductivity, (S/m) | |
| Shape function | |
| Subscripts | |
| c | Cold wall |
| h | Hot wall |
| m | Average |
| nf | Nanofluid |
| Abbreviations | |
| CFD | Computational fluid dynamics |
| COBYLA | constrained optimization by linear approximations |
| FEM | Finite element method |
| HT | Heat transfer |
| MF | Magnetic field |
| NPO | Novel porous object |
| SJ-I | Slot jet impingement |
References
- Jambunathan, K.; Lai, E.; Moss, M.; Button, B. A review of heat transfer data for single circular jet impingement. Int. J. Heat Fluid Flow 1992, 13, 106–115. [Google Scholar] [CrossRef]
- Krishan, G.; Aw, K.C.; Sharma, R.N. Synthetic jet impingement heat transfer enhancement—A review. Appl. Therm. Eng. 2019, 149, 1305–1323. [Google Scholar] [CrossRef]
- Liewkongsataporn, W.; Patterson, T.; Ahrens, F. Pulsating jet impingement heat transfer enhancement. Dry. Technol. 2008, 26, 433–442. [Google Scholar] [CrossRef]
- Li, P.; Guo, D.; Liu, R. Mechanism analysis of heat transfer and flow structure of periodic pulsating nanofluids slot-jet impingement with different waveforms. Appl. Therm. Eng. 2019, 152, 937–945. [Google Scholar] [CrossRef]
- Abishek, S.; Narayanaswamy, R. Low frequency pulsating jet impingement boiling and single phase heat transfer. Int. J. Heat Mass Transf. 2020, 159, 120052. [Google Scholar] [CrossRef]
- Gau, C.; Chung, C. Surface curvature effect on slot-air-jet impingement cooling flow and heat transfer process. J. Heat Transfer. 1991, 113, 858–864. [Google Scholar] [CrossRef]
- Zhou, Y.; Lin, G.; Bu, X.; Bai, L.; Wen, D. Experimental study of curvature effects on jet impingement heat transfer on concave surfaces. Chin. J. Aeronaut. 2017, 30, 586–594. [Google Scholar] [CrossRef]
- Selimefendigil, F.; Öztop, H.F. Al2O3-water nanofluid jet impingement cooling with magnetic field. Heat Transf. Eng. 2020, 41, 50–64. [Google Scholar] [CrossRef]
- Wong, K.C.; Saeid, N.H. Numerical study of mixed convection on jet impingement cooling in a horizontal porous layer under local thermal non-equilibrium conditions. Int. J. Therm. Sci. 2009, 48, 860–870. [Google Scholar] [CrossRef]
- Lam, P.A.K.; Prakash, K.A. A numerical investigation of heat transfer and entropy generation during jet impingement cooling of protruding heat sources without and with porous medium. Energy Convers. Manag. 2015, 89, 626–643. [Google Scholar] [CrossRef]
- Sivasamy, A.; Selladurai, V.; Kanna, P.R. Mixed convection on jet impingement cooling of a constant heat flux horizontal porous layer. Int. J. Therm. Sci. 2010, 49, 1238–1246. [Google Scholar] [CrossRef]
- Koriko, O.; Adegbie, K.; Oke, A.; Animasaun, I. Exploration of Coriolis force on motion of air over the upper horizontal surface of a paraboloid of revolution. Phys. Scr. 2020, 95, 035210. [Google Scholar] [CrossRef]
- Oke, A.; Animasaun, I.; Mutuku, W.; Kimathi, M.; Shah, N.A.; Saleem, S. Significance of Coriolis force, volume fraction, and heat source/sink on the dynamics of water conveying 47 nm alumina nanoparticles over a uniform surface. Chin. J. Phys. 2021, 71, 716–727. [Google Scholar] [CrossRef]
- Yacob, N.A.; Dzulkifli, N.F.; Salleh, S.N.A.; Ishak, A.; Pop, I. Rotating flow in a nanofluid with CNT nanoparticles over a stretching/shrinking surface. Mathematics 2021, 10, 7. [Google Scholar] [CrossRef]
- Roslan, R.; Saleh, H.; Hashim, I. Effect of rotating cylinder on heat transfer in a square enclosure filled with nanofluids. Int. J. Heat Mass Transf. 2012, 55, 7247–7256. [Google Scholar] [CrossRef]
- Khedher, N.B.; Selimefendigil, F.; Kolsi, L.; Aich, W.; Ben Said, L.; Boukholda, I. Performance Optimization of a Thermoelectric Device by Using a Shear Thinning Nanofluid and Rotating Cylinder in a Cavity with Ventilation Ports. Mathematics 2022, 10, 1075. [Google Scholar] [CrossRef]
- Hassen, W.; Selimefendigil, F.; Ben Khedher, N.; Kolsi, L.; Borjini, M.N.; Alresheedi, F. Control of magnetohydrodynamic mixed convection and entropy generation in a porous cavity by using double rotating cylinders and curved partition. ACS Omega 2021, 6, 35607–35618. [Google Scholar] [CrossRef]
- Wang, L.; Sundén, B.; Borg, A.; Abrahamsson, H. Control of jet impingement heat transfer in crossflow by using a rib. Int. J. Heat Mass Transf. 2011, 54, 4157–4166. [Google Scholar] [CrossRef]
- Iwana, T.; Suenaga, K.; Shirai, K.; Kameya, Y.; Motosuke, M.; Honami, S. Heat transfer and fluid flow characteristics of impinging jet using combined device with triangular tabs and synthetic jets. Exp. Therm. Fluid Sci. 2015, 68, 322–329. [Google Scholar] [CrossRef]
- Selimefendigil, F.; Öztop, H.F. Cooling of a partially elastic isothermal surface by nanofluids jet impingement. J. Heat Transf. 2018, 140, 042205. [Google Scholar] [CrossRef]
- Nagesha, K.; Srinivasan, K.; Sundararajan, T. Enhancement of jet impingement heat transfer using surface roughness elements at different heat inputs. Exp. Therm. Fluid Sci. 2020, 112, 109995. [Google Scholar] [CrossRef]
- Díaz, J.L.; Rahman, S.; García-Haro, J.M. Heterogeneous Diffusion, Stability Analysis, and Solution Profiles for a MHD Darcy—Forchheimer Model. Mathematics 2021, 10, 20. [Google Scholar] [CrossRef]
- Oke, A.S. Heat and Mass Transfer in 3D MHD Flow of EG-Based Ternary Hybrid Nanofluid Over a Rotating Surface. Arab. J. Sci. Eng. 2022, 1–17. [Google Scholar] [CrossRef]
- Selimefendigil, F.; Öztop, H.F. MHD Pulsating forced convection of nanofluid over parallel plates with blocks in a channel. Int. J. Mech. Sci. 2019, 157, 726–740. [Google Scholar] [CrossRef]
- Chamkha, A.J.; Selimefendigil, F.; Oztop, H.F. Effects of a rotating cone on the mixed convection in a double lid-driven 3D porous trapezoidal nanofluid filled cavity under the impact of magnetic field. Nanomaterials 2020, 10, 449. [Google Scholar] [CrossRef] [Green Version]
- Ghachem, K.; Selimefendigil, F.; Öztop, H.F.; Alhadri, M.; Kolsi, L.; Alshammari, N. Impacts of rotating surface and area expansion during nanofluid convection on phase change dynamics for PCM packed bed installed cylinder. Alex. Eng. J. 2022, 61, 4159–4173. [Google Scholar] [CrossRef]
- Oke, A. Coriolis effects on MHD flow of MEP fluid over a non-uniform surface in the presence of thermal radiation. Int. Commun. Heat Mass Transf. 2021, 129, 105695. [Google Scholar] [CrossRef]
- Selimefendigil, F.; Öztop, H.F. Hydro-thermal performance of CNT nanofluid in double backward facing step with rotating tube bundle under magnetic field. Int. J. Mech. Sci. 2020, 185, 105876. [Google Scholar] [CrossRef]
- M’hamed, B.; Sidik, N.A.C.; Yazid, M.N.A.W.M.; Mamat, R.; Najafi, G.; Kefayati, G. A review on why researchers apply external magnetic field on nanofluids. Int. Commun. Heat Mass Transf. 2016, 78, 60–67. [Google Scholar] [CrossRef] [Green Version]
- Sheikholeslami, M.; Rokni, H.B. Magnetohydrodynamic CuO–water nanofluid in a porous complex-shaped enclosure. J. Therm. Sci. Eng. Appl. 2017, 9, 041007. [Google Scholar] [CrossRef]
- Li, Q.; Xuan, Y.; Yu, F. Experimental investigation of submerged single jet impingement using Cu-water nanofluid. Appl. Therm. Eng. 2012, 36, 426–433. [Google Scholar] [CrossRef]
- Nguyen, C.T.; Galanis, N.; Polidori, G.; Fohanno, S.; Popa, C.V.; Beche, A.L. An experimental study of a confined and submerged impinging jet heat transfer using Al2O3-water nanofluid. Int. J. Therm. Sci. 2009, 48, 401–411. [Google Scholar] [CrossRef]
- Selimefendigil, F.; Oztop, H.F. Pulsating nanofluids jet impingement cooling of a heated horizontal surface. Int. J. Heat Mass Transf. 2014, 69, 54–65. [Google Scholar] [CrossRef]
- Mohammadpour, J.; Lee, A. Investigation of nanoparticle effects on jet impingement heat transfer: A review. J. Mol. Liq. 2020, 316, 113819. [Google Scholar] [CrossRef]
- Tyagi, P.K.; Kumar, R.; Mondal, P.K. A review of the state-of-the-art nanofluid spray and jet impingement cooling. Phys. Fluids 2020, 32, 121301. [Google Scholar] [CrossRef]
- Lee, H.; Ha, M.; Yoon, H. A numerical study on the fluid flow and heat transfer in the confined jet flow in the presence of magnetic field. Int. J. Heat Mass Transf. 2005, 48, 5297–5309. [Google Scholar] [CrossRef]
- Nimmagadda, R.; Haustein, H.D.; Asirvatham, L.G.; Wongwises, S. Effect of uniform/non-uniform magnetic field and jet impingement on the hydrodynamic and heat transfer performance of nanofluids. J. Magn. Magn. Mater. 2019, 479, 268–281. [Google Scholar] [CrossRef]
- Selimefendigil, F.; Öztop, H.F. Performance assessment of a thermoelectric module by using rotating circular cylinders and nanofluids in the channel flow for renewable energy applications. J. Clean. Prod. 2021, 279, 123426. [Google Scholar] [CrossRef]
- Sheremet, M.A.; Oztop, H.; Pop, I.; Al-Salem, K. MHD free convection in a wavy open porous tall cavity filled with nanofluids under an effect of corner heater. Int. J. Heat Mass Transf. 2016, 103, 955–964. [Google Scholar] [CrossRef]
- Mehrez, Z.; Cafsi, A.E.; Belghith, A.; Quere, P.L. MHD effects on heat transfer and entropy generation of nanofluid flow in an open cavity. J. Magn. Magn. Mater. 2015, 374, 214–224. [Google Scholar] [CrossRef]
- Powell, M.J. A direct search optimization method that models the objective and constraint functions by linear interpolation. In Advances in Optimization and Numerical Analysis; Springer: Dodrecht, The Netherlands, 1994; Volume 275, pp. 51–67. [Google Scholar]
- Silva, S.R.; Gomes, R.; Falcao, A. Hydrodynamic optimization of the UGEN: Wave energy converter with U-shaped interior oscillating water column. Int. J. Mar. Energy 2016, 15, 112–126. [Google Scholar] [CrossRef]
- Sheikholeslami, M.; Shamlooei, M. Convective flow of nanofluid inside a lid driven porous cavity using CVFEM. Phys. B Condens. Matter 2017, 521, 239–250. [Google Scholar] [CrossRef]
- Chiriac, V.A.; Ortega, A. A numerical study of the unsteady flow and heat transfer in a transitional confined slot jet impinging on an isothermal surface. Int. J. Heat Mass Transf. 2002, 45, 1237–1248. [Google Scholar] [CrossRef]
- Chou, Y.; Hung, Y. Impingement cooling of an isothermally heated surface with a confined slot jet. ASME Trans. J. Heat Transf. 1994, 116, 479–482. [Google Scholar] [CrossRef]
- Manca, O.; Ricci, D.; Nardini, S.; Di Lorenzo, G. Thermal and fluid dynamic behaviors of confined laminar impinging slot jets with nanofluids. Int. Commun. Heat Mass Transf. 2016, 70, 15–26. [Google Scholar] [CrossRef]

















| Study | Stagnation Nu |
|---|---|
| This code | 9.81 |
| In [46] | 9.66 |
| In [45] | 9.85 |
| Parameter Name | At Ha = 5 | At Ha = 10 | At Ha = 25 |
|---|---|---|---|
| Rew | −315.97 | −181.167 | −483.13 |
| Da | 0.0188 | 0.0167 | 0.0210 |
| Mx | −1.456 | −1.441 | −0.348 |
| AR | 0.235 | 0.2 | 0.2 |
| Average Nu | At Ha = 5 | At Ha = 10 | At Ha = 25 |
| Optimum | 2.74 | 2.67 | 2.71 |
| No object | 2.54 | 2.47 | 2.58 |
Publisher’s Note: MDPI stays neutral with regard to jurisdictional claims in published maps and institutional affiliations. |
© 2022 by the authors. Licensee MDPI, Basel, Switzerland. This article is an open access article distributed under the terms and conditions of the Creative Commons Attribution (CC BY) license (https://creativecommons.org/licenses/by/4.0/).
Share and Cite
Aich, W.; Selimefendigil, F.; Ayadi, B.; Ben Said, L.; Alshammari, B.M.; Kolsi, L.; Betrouni, S.A.; Gasmi, H. Application and CFD-Based Optimization of a Novel Porous Object for Confined Slot Jet Impingement Cooling Systems under a Magnetic Field. Mathematics 2022, 10, 2578. https://doi.org/10.3390/math10152578
Aich W, Selimefendigil F, Ayadi B, Ben Said L, Alshammari BM, Kolsi L, Betrouni SA, Gasmi H. Application and CFD-Based Optimization of a Novel Porous Object for Confined Slot Jet Impingement Cooling Systems under a Magnetic Field. Mathematics. 2022; 10(15):2578. https://doi.org/10.3390/math10152578
Chicago/Turabian StyleAich, Walid, Fatih Selimefendigil, Badreddine Ayadi, Lotfi Ben Said, Badr M. Alshammari, Lioua Kolsi, Sid Ali Betrouni, and Hatem Gasmi. 2022. "Application and CFD-Based Optimization of a Novel Porous Object for Confined Slot Jet Impingement Cooling Systems under a Magnetic Field" Mathematics 10, no. 15: 2578. https://doi.org/10.3390/math10152578
APA StyleAich, W., Selimefendigil, F., Ayadi, B., Ben Said, L., Alshammari, B. M., Kolsi, L., Betrouni, S. A., & Gasmi, H. (2022). Application and CFD-Based Optimization of a Novel Porous Object for Confined Slot Jet Impingement Cooling Systems under a Magnetic Field. Mathematics, 10(15), 2578. https://doi.org/10.3390/math10152578

