Information Disclosure Decision for Tourism O2O Supply Chain Based on Blockchain Technology
Abstract
:1. Introduction
- (1)
- Whether the online platform adopts blockchain technology or not, what are the optimal strategies of the tourism O2O supply chain members?
- (2)
- Under what conditions should the online platform adopt blockchain technology to improve the quality of information disclosure?
- (3)
- When a two-part tariff contract is used for supply chain coordination, how will the optimal strategies and profits of the supply chain members change?
- (4)
- Under the two types of contracts, which parameter affects the optimal strategies?
2. Literature Review
2.1. Tourism O2O
2.2. Blockchain Technology
3. Problem Description
4. The Scenario without Adopting Blockchain Technology
4.1. Decentralized Scenario (WN)
4.2. Centralized Scenario (WC)
5. The Scenario with Adopting Blockchain Technology
5.1. Decentralized Scenario (BN)
- (1)
- ,,,,;
- (2)
- ,,,,.
- (1)
- When , then we have , where ;
- (2)
- ,,,;
- (3)
- When , then we have .
5.2. Centralized Scenario (BC)
- (1)
- ,,;
- (2)
- When , then , else.
6. Two-Part Tariff Contract for the Tourism O2O Supply Chain Coordination
6.1. Without Adopting Blockchain Technology (WT)
6.2. With Adopting Blockchain Technology (BT)
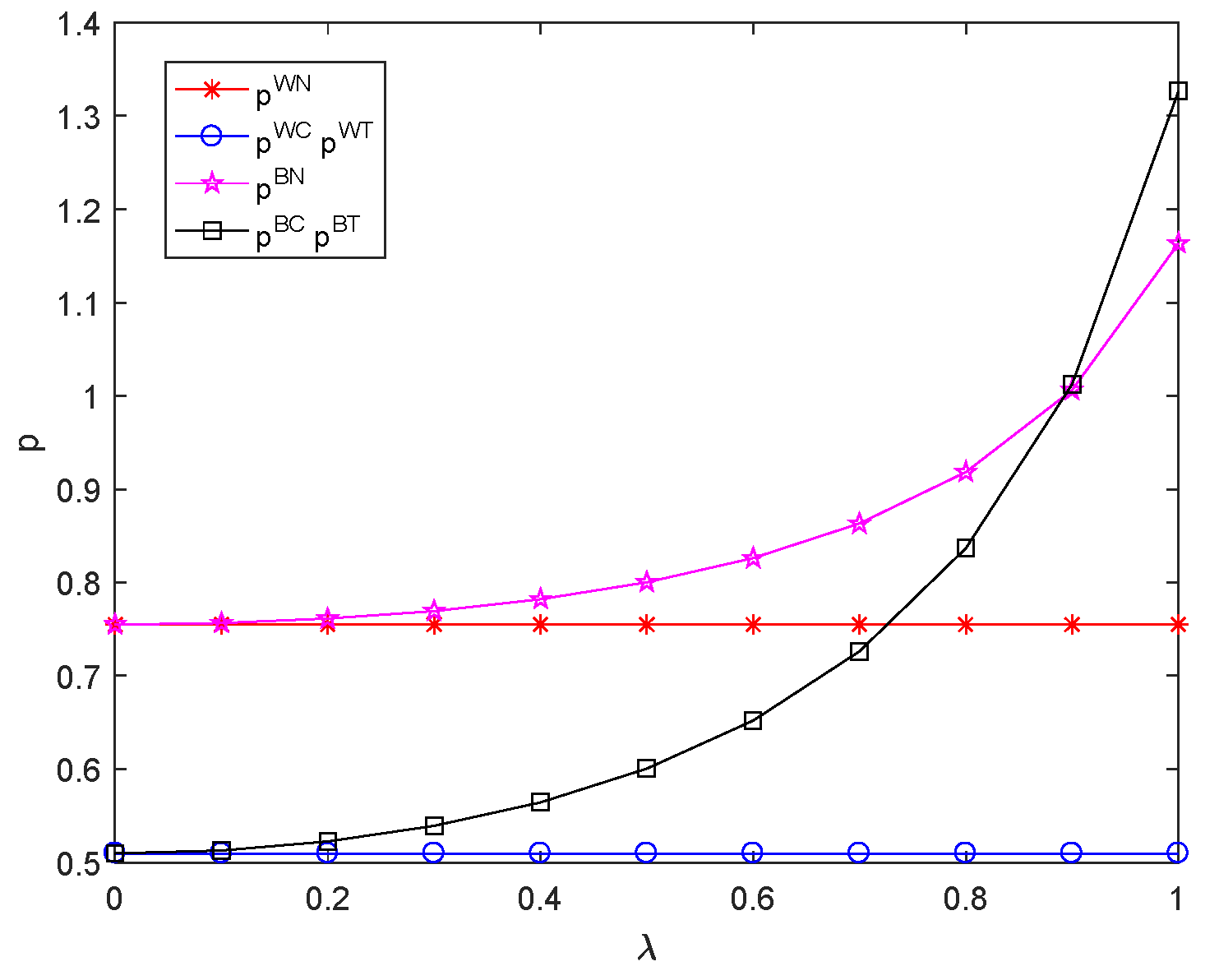
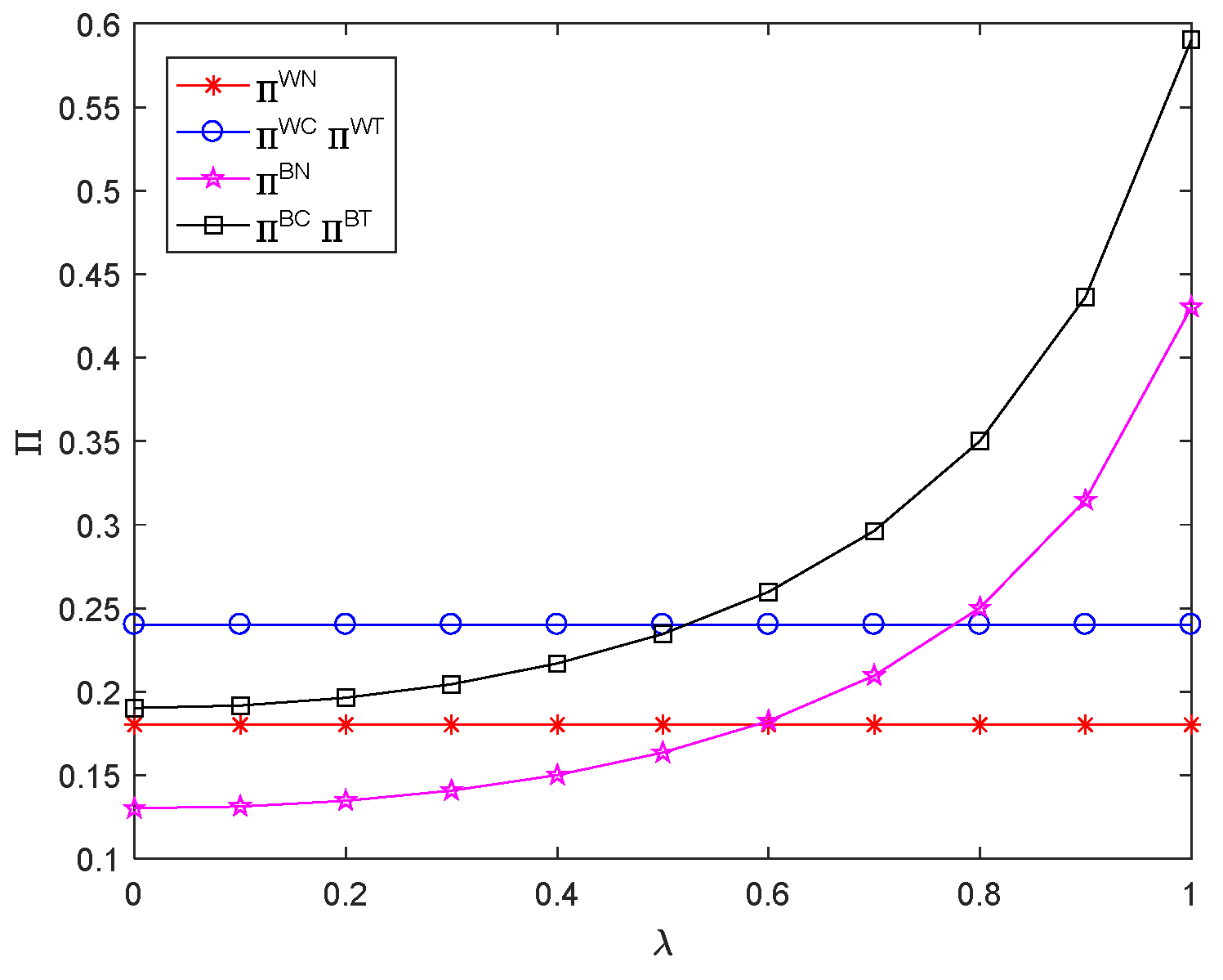
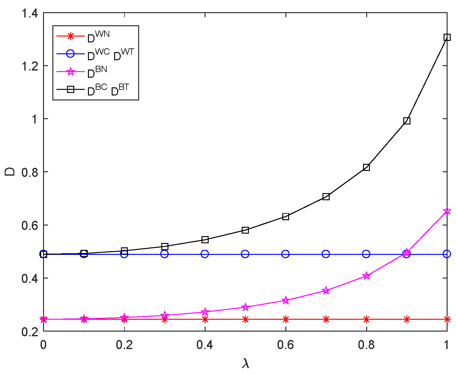
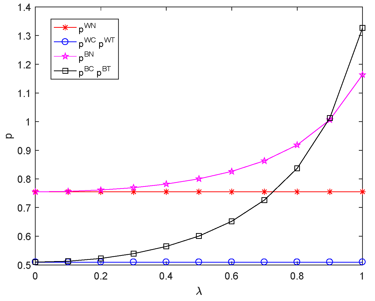
7. Numerical Analysis
8. Conclusions
Author Contributions
Funding
Institutional Review Board Statement
Informed Consent Statement
Data Availability Statement
Conflicts of Interest
References
- Luca, M.; Zervas, G. Fake it till you make it: Reputation, competition, and yelp review fraud. Manag. Sci. 2016, 62, 3412–3427. [Google Scholar] [CrossRef] [Green Version]
- Onder, I.; Treiblmaier, H. Blockchain and tourism: Three research propositions. Ann. Tour. Res. 2018, 72, 180–182. [Google Scholar] [CrossRef]
- Lansiti, M.; Lakhani, K.R. The truth about blockchain. Harv. Bus. Rev. 2017, 95, 119–127. [Google Scholar]
- Babich, V.; Hilary, G. Distributed ledgers and operations: What operations management researchers should know about blockchain technology. Manuf. Serv. Oper. Manag. 2020, 22, 223–240. [Google Scholar] [CrossRef] [Green Version]
- Onder, I.; Gunter, U. Blockchain: Is it the future for the tourism and hospitality industry? Tour. Econ. 2022, 28, 291–299. [Google Scholar] [CrossRef]
- Chang, Y.W.; Hsu, P.Y.; Lan, Y.C. Cooperation and competition between online travel agencies and hotels. Tour. Manag. 2019, 71, 187–196. [Google Scholar] [CrossRef]
- Long, Y.; Shi, P.P. Pricing strategies of tour operator and online travel agency based on cooperation to achieve O2O model. Tour. Manag. 2017, 62, 302–311. [Google Scholar] [CrossRef]
- Zhang, X.X.; Wang, T.Y. Understanding purchase intention in O2O E-Commerce: The effects of trust transfer and online contents. J. Theor. Appl. Electron. Commer. Res. 2021, 16, 101–115. [Google Scholar] [CrossRef]
- Filieri, R. What makes an online consumer review trustworthy? Ann. Tour. Res. 2016, 58, 46–64. [Google Scholar] [CrossRef] [Green Version]
- Calvaresi, D.; Leis, M.; Dubovitskaya, A.; Schegg, R.; Schumacher, M. Trust in Tourism via blockchain technology: Results from a systematic review. In Proceedings of the eTourism—Towards a Sustainable Digital Society, Nicosia, Cyprus, 30 January–1 February 2019; pp. 304–317. [Google Scholar]
- Tadelis, S. Reputation and feedback systems in online platform markets. Annu. Rev. Econ. 2016, 8, 321–340. [Google Scholar] [CrossRef] [Green Version]
- Park, S.W.; Nicolau, J.L. Asymmetric effects of online consumer reviews. Ann. Tour. Res. 2015, 50, 67–83. [Google Scholar] [CrossRef] [Green Version]
- Pan, L.Y.; Chiou, J.S. How much can you trust online information? Cues for perceived trustworthiness of consumer-generated online information. J. Interact. Mark. 2011, 25, 67–74. [Google Scholar] [CrossRef]
- Hu, N.; Liu, L.; Sambamurthy, V. Fraud detection in online consumer reviews. Decis. Support Syst. 2011, 50, 614–626. [Google Scholar] [CrossRef]
- Zulfigar, M.; Tarig, F.; Janjua, M.U.; Mian, A.N.; Qayyum, A.; Qadir, J.; Sher, F.; Hassan, M. EthReview: An ethereum-based product review system for mitigating rating frauds. Comput. Secur. 2021, 100, 102094. [Google Scholar] [CrossRef]
- Cai, Y.; Zhu, D. Fraud detections for online businesses: A perspective from blockchain technology. Financ. Innov. 2016, 2, 10–20. [Google Scholar] [CrossRef] [Green Version]
- Choi, T.M. Blockchain-Technology-Supported platforms for diamond authentication and certification in luxury supply chains. Transp. Res. Part E Logist. Transp. Rev. 2019, 128, 17–29. [Google Scholar] [CrossRef]
- Min, H. Blockchain technology for enhancing check for updates supply chain resilience. Bus. Horiz. 2019, 62, 35–45. [Google Scholar] [CrossRef]
- Liu, L.; Li, F.T.; Qi, E.S. Research on risk avoidance and coordination of supply chain subject based on blockchain technology. Sustainability 2019, 11, 2182. [Google Scholar] [CrossRef] [Green Version]
- Lin, Q.J.; Wang, H.Z.; Pei, X.F.; Wang, J. Food safety traceability system based on blockchain and EPCIS. IEEE Access 2019, 7, 20698–20707. [Google Scholar] [CrossRef]
- Shen, B.; Xu, X.Y.; Yuan, Q. Selling secondhand products through an online platform with blockchain. Transp. Res. Part E Logist. Transp. Rev. 2020, 142, 102066. [Google Scholar] [CrossRef]
- Rashideh, W. Blockchain technology framework: Current and future perspectives for the tourism industry. Tour. Manag. 2020, 80, 104125. [Google Scholar] [CrossRef]
- Leung, D.; Dickinger, A. Use of bitcoin in online travel product shopping: The European perspective. In Information and Communication Technologies in Tourism 2017; Springer International Publishing: Cham, Switzerland, 2017; Volume 15, pp. 741–754. [Google Scholar]
- Willie, P. Can all sectors of the hospitality and tourism industry be influenced by the innovation of Blockchain technology? Worldw. Hosp. Tour. Themes 2019, 11, 112–120. [Google Scholar] [CrossRef]
- Valeri, M. Blockchain technology: Adoption perspectives in tourism. In Managing Innovation and Creative Capabilities; Springer International Publishing: Cham, Switzerland, 2020; Volume 27, pp. 65–90. [Google Scholar]
- Liang, S.; Li, H.; Liu, X.W.; Schuckert, M. Motivators behind information disclosure: Evidence from Airbnb hosts. Ann. Tour. Res. 2019, 76, 305–319. [Google Scholar] [CrossRef]
- Guo, X.L.; He, L.N. Tourism supply-chain coordination: The cooperation between tourism hotel and tour operator. Tour. Econ. 2012, 18, 1361–1376. [Google Scholar] [CrossRef]
- He, Y.; He, P.; Xu, F.F.; Shi, C. Sustainable tourism modeling: Pricing decisions and evolutionarily stable strategies for competitive tour operators. Tour. Econ. 2019, 25, 779–799. [Google Scholar] [CrossRef]
- Wu, C.Q.; Li, K.P.; Shi, T.Q. Supply chain coordination with two-part tariffs under information asymmetry. Int. J. Prod. Res. 2017, 55, 2575–2589. [Google Scholar] [CrossRef] [Green Version]







Publisher’s Note: MDPI stays neutral with regard to jurisdictional claims in published maps and institutional affiliations. |
© 2022 by the authors. Licensee MDPI, Basel, Switzerland. This article is an open access article distributed under the terms and conditions of the Creative Commons Attribution (CC BY) license (https://creativecommons.org/licenses/by/4.0/).
Share and Cite
Zhou, L.; Tan, C.; Zhao, H. Information Disclosure Decision for Tourism O2O Supply Chain Based on Blockchain Technology. Mathematics 2022, 10, 2119. https://doi.org/10.3390/math10122119
Zhou L, Tan C, Zhao H. Information Disclosure Decision for Tourism O2O Supply Chain Based on Blockchain Technology. Mathematics. 2022; 10(12):2119. https://doi.org/10.3390/math10122119
Chicago/Turabian StyleZhou, Li, Chunqiao Tan, and Huimin Zhao. 2022. "Information Disclosure Decision for Tourism O2O Supply Chain Based on Blockchain Technology" Mathematics 10, no. 12: 2119. https://doi.org/10.3390/math10122119
APA StyleZhou, L., Tan, C., & Zhao, H. (2022). Information Disclosure Decision for Tourism O2O Supply Chain Based on Blockchain Technology. Mathematics, 10(12), 2119. https://doi.org/10.3390/math10122119

