Modified Erlang Loss System for Cognitive Wireless Networks
Abstract
:1. Introduction
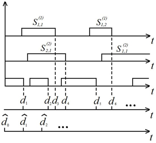
2. Description of the System
3. Stability Analysis
4. A System with Class-2 Retrial Customers
5. A System with the Outgoing Calls
6. Performance Analysis of the System with Exponential Service Time Distributions
6.1. Quasi-Birth-and-Death (QBD) Process
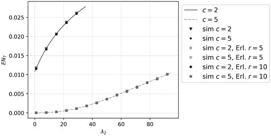
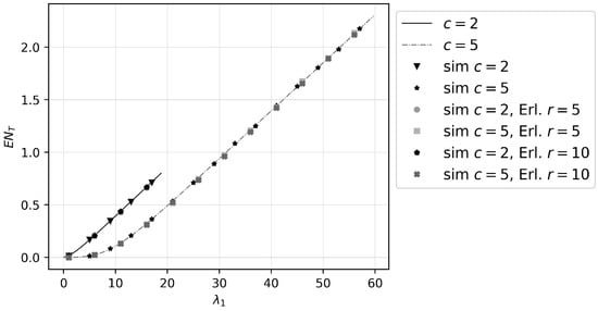
6.2. Simulations and Numerical Insights
7. Conclusions
Author Contributions
Funding
Institutional Review Board Statement
Informed Consent Statement
Data Availability Statement
Conflicts of Interest
References
- Akyildiz, I.F.; Lee, W.Y.; Vuran, M.C.; Mohanty, S. NeXt generation dynamic spectrum access cognitive radio wireless networks: A survey. Comput. Netw. 2006, 50, 2127–2159. [Google Scholar] [CrossRef]
- Mitola, J.; Maguire, G.Q. Cognitive radio: Making software radios more personal. IEEE Pers. Commun. 1999, 6, 13–18. [Google Scholar] [CrossRef] [Green Version]
- Wang, B.; Liu, K.R. Advances in cognitive radio networks: A survey. IEEE J. Sel. Top. Signal Process. 2010, 5, 5–23. [Google Scholar] [CrossRef] [Green Version]
- Akyildiz, I.F.; Lee, W.Y.; Vuran, M.C.; Mohanty, S. A survey on spectrum management in cognitive radio networks. IEEE Commun. Mag. 2008, 46, 40–48. [Google Scholar] [CrossRef] [Green Version]
- Letaief, K.B.; Zhang, W. Cooperative communications for cognitive radio networks. Proc. IEEE 2009, 97, 878–893. [Google Scholar] [CrossRef] [Green Version]
- Ostovar, A.; Keshavarz, H.; Quan, Z. Cognitive radio networks for green wireless communications: An overview. Telecommun. Syst. 2021, 76, 129–138. [Google Scholar] [CrossRef]
- Mitrany, I.L.; Avi-Itzhak, B. A many-server queue with service interruptions. Oper. Res. 1968, 16, 628–638. [Google Scholar] [CrossRef]
- Akutsu, K.; Phung-Duc, T. Analysis of retrial queues for cognitive wireless networks with sensing time of secondary users. In Proceedings of the 14th International Conference, QTNA 2019, Ghent, Belgium, 27–29 August 2019; Springer: Cham, Switzerland, 2019; pp. 77–91. [Google Scholar]
- Phung-Duc, T.; Akutsu, K.; Kawanishi, K.; Salameh, O.; Wittevrongel, S. Annals of Operations Research. Perf. Eval. 2022, 310, 641–660. [Google Scholar]
- Salameh, O.; De Turck, K.; Bruneel, H.B.C.; Wittevrongel, S. Analysis of secondary user performance in cognitive radio networks with reactive spectrum handoff. Telecommun. Syst. 2017, 65, 539–550. [Google Scholar] [CrossRef] [Green Version]
- Salameh, O.; Bruneel, H.; Wittevrongel, S. Performance evaluation of cognitive radio networks with imperfect spectrum sensing and bursty primary user traffic. Math. Probl. Eng. 2020, 2020, 4102046. [Google Scholar] [CrossRef]
- Wong, E.W.A.; Foh, C.H. Analysis of cognitive radio spectrum access with finite user population. IEEE Wirel. Commun. Lett. 2009, 13, 294–296. [Google Scholar] [CrossRef]
- Konishi, Y.; Masuyama, H.; Kasahara, S.; Takahashi, Y. Performance analysis of dynamic spectrum handoff scheme with variable bandwidth demand of secondary users for cognitive radio networks. Wirel. Netw. 2013, 19, 607–617. [Google Scholar] [CrossRef]
- Shajin, D.; Dudin, A.N.; Dudina, O.; Krishnamoorthy, A. A two-priority single server retrial queue with additional items. J. Ind. Manag. Optim. 2020, 16, 2891–2912. [Google Scholar] [CrossRef]
- Zhang, Y.; Wang, J.; Li, W.W. Optimal pricing strategies in cognitive radio networks with heterogeneous secondary users and retrials. IEEE Access 2019, 7, 30937–30950. [Google Scholar] [CrossRef]
- Dudin, A.N.; Lee, M.H.; Dudina, O.; Lee, S.K. Analysis of priority retrial queue with many types of customers and servers reservation as a model of cognitive radio system. IEEE Trans. Commun. 2016, 65, 186–199. [Google Scholar] [CrossRef]
- Paul, S.; Phung-Duc, T. Retrial queueing model with two-way communication, unreliable server and resume of interrupted call for cognitive radio networks. In Information Technologies and Mathematical Modelling. Queueing Theory and Applications; Springer: Cham, Switzerland, 2018; pp. 213–224. [Google Scholar]
- Liu, J.; Jin, S.; Yue, W. Performance evaluation and system optimization of Green cognitive radio networks with a multiple-sleep mode. Ann. Oper. Res. 2019, 277, 371–391. [Google Scholar] [CrossRef]
- Nazarov, A.; Phung-Duc, T.; Paul, S. Unreliable single-server queue with two-Way communication and retrials of blocked and interrupted calls for cognitive radio networks. In Distributed Computer and Communication Networks; Springer: Cham, Switzerland, 2018; pp. 276–287. [Google Scholar]
- Dimitriou, I.; Phung-Duc, T. Analysis of cognitive radio networks with cooperative communication. In Proceedings of the 13th EAI International Conference on Performance Evaluation Methodologies and Tools, Tsukuba, Japan, 18–20 May 2020; pp. 192–195. [Google Scholar]
- Dragieva, V.I.; Phung-Duc, T. Unreliable single-server queue with two-Way communication and retrials of blocked and interrupted calls for cognitive radio networks. In Analytical and Stochastic Modelling Techniques and Applications; Springer: Cham, Switzerland, 2019; pp. 18–32. [Google Scholar]
- Kim, K. T-preemptive priority queue and its application to the analysis of an opportunistic spectrum access in cognitive radio networks. Comput. Oper. Res. 2012, 39, 1394–1401. [Google Scholar] [CrossRef]
- Azarfar, A.; Frigon, J.F.; Sanso, B. Priority queueing models for cognitive radio networks with traffic differentiation. EURASIP J Wirel. Commun. Netw. 2014, 2014, 206. [Google Scholar] [CrossRef] [Green Version]
- Neuts, M. Matrix Geometric Solutions in Stochastic Models—An Algorithmic Approach; Johns Hopkins University Press: Baltimore, MD, USA, 1981. [Google Scholar]
- Vishnevskiy, V.M.; Samouylov, K.E.; Yarkina, N.V. Mathematical model of LTE cells with machine-type and broadband communications. Autom. Remote Control 2020, 81, 622–636. [Google Scholar] [CrossRef]
- Asmussen, S. Applied Probability and Queues, 2nd ed.; Springer: New York, NY, USA, 2003. [Google Scholar]
- Morozov, E.; Steyaert, B. Stability Analysis of Regenerative Queueing Models; Springer: Cham, Switzerland, 2021. [Google Scholar]
- Morozov, E. Weak regeneration in modeling of queueing processes. Queueing Syst. 2004, 46, 295–315. [Google Scholar] [CrossRef]
- Feller, W. An Introduction to Probability Theory; Wiley: New York, NY, USA, 1971. [Google Scholar]
- Morozov, E. The tightness in the ergodic analysis of regenerative queueing processes. Queueing Syst. 1997, 27, 179–203. [Google Scholar] [CrossRef]
- Serfozo, R. Basics of Applied Stochastic Processes; Springer: Berlin/Heidelberg, Germany, 2009. [Google Scholar]
- Morozov, E.; Phung-Duc, T. Stability analysis of a multiclass retrial system with classical retrial policy. Perf. Eval. 2017, 112, 15–26. [Google Scholar] [CrossRef]
- Phung-Duc, T.; Masuyama, H.; Kasahara, S.; Takahashi, Y. A simple algorithm for the rate matrices of level-dependent QBD processes. In Proceedings of the 5th International Conference on Queueing Theory and Network Applications, Beijing, China, 24–26 July 2010; pp. 46–52. [Google Scholar]










Publisher’s Note: MDPI stays neutral with regard to jurisdictional claims in published maps and institutional affiliations. |
© 2022 by the authors. Licensee MDPI, Basel, Switzerland. This article is an open access article distributed under the terms and conditions of the Creative Commons Attribution (CC BY) license (https://creativecommons.org/licenses/by/4.0/).
Share and Cite
Morozov, E.; Rogozin, S.; Nguyen, H.Q.; Phung-Duc, T. Modified Erlang Loss System for Cognitive Wireless Networks. Mathematics 2022, 10, 2101. https://doi.org/10.3390/math10122101
Morozov E, Rogozin S, Nguyen HQ, Phung-Duc T. Modified Erlang Loss System for Cognitive Wireless Networks. Mathematics. 2022; 10(12):2101. https://doi.org/10.3390/math10122101
Chicago/Turabian StyleMorozov, Evsey, Stepan Rogozin, Hung Q. Nguyen, and Tuan Phung-Duc. 2022. "Modified Erlang Loss System for Cognitive Wireless Networks" Mathematics 10, no. 12: 2101. https://doi.org/10.3390/math10122101
APA StyleMorozov, E., Rogozin, S., Nguyen, H. Q., & Phung-Duc, T. (2022). Modified Erlang Loss System for Cognitive Wireless Networks. Mathematics, 10(12), 2101. https://doi.org/10.3390/math10122101

