Next Article in Journal
Global Stability of a Humoral Immunity COVID-19 Model with Logistic Growth and Delays
Next Article in Special Issue
Preplay Negotiations with Unconditional Offers of Side Payments in Two-Player Strategic-Form Games: Towards Non-Cooperative Cooperation
Previous Article in Journal
An Output Feedback Controller for a Second-Order System Subject to Asymmetric Output Constraint Based on Lyapunov Function with Unlimited Domain
Previous Article in Special Issue
Public Provision of Goods and Services under Cost Uncertainty: The Government’s Bureaucratic Organization
 
 
Font Type:
Arial Georgia Verdana
Font Size:
Aa Aa Aa
Line Spacing:
Column Width:
Background:
Article

A Value for Graph-Restricted Games with Middlemen on Edges

by
Antonio C. Alarcón
1,†,
José M. Gallardo
2,† and
Andrés Jiménez-Losada
2,*,†
1
Departamento de Ciencias Integradas, Facultad de Ciencias Experimentales, Universidad de Huelva, 21007 Huelva, Spain
2
Departamento de Matemática Aplicada II, Escuela Técnica Superior de Ingeniería, Universidad de Sevilla, 41092 Sevilla, Spain
*
Author to whom correspondence should be addressed.
These authors contributed equally to this work.
Mathematics 2022, 10(11), 1856; https://doi.org/10.3390/math10111856
Submission received: 1 May 2022 / Revised: 17 May 2022 / Accepted: 24 May 2022 / Published: 28 May 2022
(This article belongs to the Special Issue Cooperative Game Theory and Mathematical Structures)

Abstract

:
In a cooperative game with a communication structure, a graph describes the communication possibilities of the players, which are represented by the nodes. We introduce a variation of this model by assuming that each edge in the communication graph represents an agent. These agents simply act as intermediaries, but since they are essential for the cooperation and, consequently, for revenue generation, they will claim their share of the profit. We study this new model of games with a communication structure and introduce an allocation rule for these games. The motivation for analyzing this type of problem is based on the construction of a risk index for the different elements of an internal network.

1. Introduction

1.1. Motivation

Consider an internal network. Suppose that the nodes are computers, hosts or users connected via Ethernet (LAN or WAN, including the entire IEEE.802 family) identifying each bilateral connection with an edge. Information and frames can be exchanged through the connection which corresponds to the data link layer of the layer architecture of the OSI (Open Systems Interconnections) model [1]. The information processed is usually protected by protocols that operate in the different layers of the OSI model, even with more specific measures, to be able to detect any intrusion or alteration in the AIC triad (availability, integrity and confidentiality) [2]. However, the communication channel (edge) can be intervened by specialists capable of violating weak security systems. This connection attack is called person in the middle (usually known as man in the middle, MiTM) which is a type of attack intended to intercept communication between two connected hosts. This attack allows a malicious agent (intruder or cracker) to manipulate the intercepted traffic in different ways, either to listen to the communication (sniffing) and obtain sensitive information or to supplant the identity (spoofing) of any of the parties. Apart from the attacks carried out in the communication, there are always vulnerabilities associated with the hosts and users themselves. This implies malwares, keyloggers and backdoors that can lead to data theft or unauthorized data transfers [2]. In this paper, we intend to use cooperative game theory to define a KRI (Key Risk Indicator) [3,4], a potential risk indicator which makes it an essential metric to reflect the required risk map to follow the ISO/IEC 27001 standard.

1.2. Cooperative Game Theory

Cooperative game theory studies how to allocate the joint profit obtained by a group of players taking into account the profit achievable by each subset (coalition) of them. A cooperative game (with transferable utility) is given by a characteristic function that establishes the worth of each coalition. Multiple allocation rules have been introduced in the literature for these games, the Shapley value [5] being one of the best known. When dealing with cooperative games, it is often assumed that all the players within a coalition can cooperate freely. However, in many practical situations, players are subject to cooperation restrictions. These restrictions must be taken into account when allocating the profit because if the players in a coalition cannot cooperate they will not generate the worth of the coalition given by the characteristic function. In the present paper, we will focus on communication restrictions, which give rise to situations in which there are players that are not connected. Myerson [6] introduced games with communication structures, in which a graph describes the communication possibilities among the players. The vertices of the graph represent the players, and there exists a link between two vertices if and only if these nodes are able to communicate directly. For each game with communication structure, Myerson considered a restricted game, which assigns to each coalition the sum of the payments achievable by the connected components of the coalition. By considering the Shapley value of the restricted game, Myerson obtained an allocation rule for games with communication structures. He characterized this solution in terms of fairness and efficiency. Meesen [7] introduced an alternative value for games with communication structures, the position value, which was analyzed and characterized by Borm et al. [8]. Instead of focusing on the nodes of the graph, they concentrated on the role of the edges. Whereas Myerson had defined a restricted game on the set on vertices, they considered a game on the edges, which assigns to each set of edges the sum of the payments of the connected components of the grand coalition. In order to obtain an allocation rule, they consider the Shapley value of this edge game and then assign to each player half of the payoffs allocated to their incident edges, thus obtaining the position value of the communication game. Game theory and, particularly, the Myerson model have been used to study social networks [9] or network architectures [3,10].

1.3. Objective

Inspired by the edge game defined by Meesen, in the present paper we consider a variation of the model for communication games introduced by Myerson. However, whereas the edge game used by Meesen is just a tool to distribute the profit among the actual players, which are represented by the nodes, we are going to consider graph-restricted games in which each edge represents an autonomous agent with the ability to facilitate communication between two players. In return, each of these intermediary agents will claim a fair share of the profit. We then introduce a different use of graph-restricted games, which we call middlemen on the edges. Note that two types of agents will participate in them: the productive players, located at the vertices of the graph, and the middlemen, represented by the edges. In the present paper, we introduce an allocation rule for these games. This solution will be characterized in terms of fairness and efficiency, in a similar way as the Myerson value. Moreover, it will be proven that this value is stable for a wide family of games. Our solution will allow us to define a KRI for internal networks.

1.4. Organization

The paper is organized as follows. In Section 2, some preliminaries regarding cooperative games and graph-restricted games are given. In Section 3, we introduce graph-restricted games with middlemen on edges and analyze a value for this family of games. Finally, in Section 4, an example with the application to construct a KRI in an internal network is described. Finally, we give some conclusions and future works in Section 5.

2. Preliminaries

2.1. Cooperative Games

A cooperative game with transferable utility, referred to as a game from now on, is a pair ( N , v ) where N is a finite set, the elements of which are called players, and a function v : 2 N R , named characteristic function, which satisfies v = 0 . The subsets of N, the elements in 2 N , are called coalitions. Given a coalition S, the worth v S is interpreted as the common payment that the players of S obtain if they cooperate. Frequently, a cooperative game N , v is identified with the function v. The family of games with set of players N is denoted by G N . Let v G N . A player i N is said to be null if v ( S { i } ) = v ( S ) for all coalitions S N \ { i } . Two different players i , j N are called symmetric if v ( S { i } ) = v ( S { j } ) for any coalition S N \ { i , j } .
Family G N is a real vectorial space with dimension 2 | N | 1 . Given a non-empty coalition T N , the unanimity game u T G N is defined by:
u T S = 1 if T S , 0 otherwise .
The set u T : T 2 N \ is the basis of G N ; hence, each game v G N can be written as a linear combination of them:
v = T 2 N \ Δ v T u T .
The coordinates of the game v with respect to the basis of the unanimity games are called the Harsanyi dividends [11] of v. The Harsanyi dividends can be obtained recursively:
Δ v ( T ) = v ( T ) i f | T | = 1 , v ( T ) { R 2 N \ { } : R T } Δ v ( R ) i f | R | > 1 .
The dividend of a coalition S in the game v can be interpreted as the part of the worth v ( S ) obtained only from the formation of this coalition. For instance, suppose N = { 1 , 2 } . We have then that Δ v ( { i } ) = v ( { i } ) , so Δ v ( { 1 , 2 } ) = v ( { 1 , 2 } ) v ( { 1 } v ( { 2 } ) , that is the part of the worth v ( { 1 , 2 } ) which is not obtained from the individual coalitions.
A cooperative game v G N is called monotone if S T implies v ( S ) v ( T ) . Game v is positive if v ( S ) 0 for all coalition S, and v is superadditive if it satisfies
v ( S T ) v ( S ) + v ( T )
for every S , T N with S T = . If a game is superadditive and positive, then the game is monotone.

2.2. The Shapley Value

A value on G N is a mapping ψ : G N R N . For each v G N , the coordinate ψ i ( v ) represents the payoff of player i N in that game. There are many values defined in the literature. The best-known and most widely used is the Shapley value [5]. The Shapley value assigns to each player i N in a game v G N :
S h i v = S N \ { i } q S N v S { i } v S
where
q S N = | N | S 1 ! S ! | N | !
for every S N . Another way to express the Shapley value is in terms of the Harsanyi dividends:
S h i ( v ) = { S N : i S } Δ v ( S ) | S | .
This formula allows us to explain the Shapley value in a nice sense. The Shapley value allocates the dividends of the coalitions among their players in an egalitarian way.
The Shapley value satisfies the following properties. Let v G N :
Efficiency: i N S h i v = v N ;
Additivity: S h v + w = S h v + S h w for all w G N ;
Equal treatment: if i , j N are symmetric in v then S h i ( v ) = S h j ( v ) ;
Null player property: if i N is a null player in v, then S h i v = 0 . Moreover, null players are removable in the following sense: if i N is a null player, and v i G N \ { i } is the restriction of the function v to 2 N \ { i } , then S h j ( v ) = S h j ( v i ) for all j N \ { i } ;
Monotonicity: if v is monotone, then S h i ( v ) 0 for all i N .
Shapley [5] proved that his value is the only one satisfying the efficiency, additivity, equal treatment and null player property.

2.3. Graph-Restricted Games and the Myerson Value

In order to model cooperative situations with communication restrictions, Myerson [6] introduced graph-restricted games. We hereafter denote by N a fixed finite set. All the graphs considered in this paper will be undirected simple graphs. If i , j are two different nodes in N, the link { i , j } will be denoted just by i j , provided that it does not lead to confusion. A graph-restricted game ( v , E ) on N consists of a game v G N and a graph ( N , E ) . In this model, ( N , E ) represents the communication possibilities between the players, in the sense that a coalition is feasible only if all its players are connected, according the graph, within the coalition. If S N , then E S = { i j E : i , j S , i j } . Remember that two vertices (players) i , j N are connected in ( N , E ) if there is a list of players { i 1 , , i p } with i 1 = i , i p = j and i k i k + 1 E for each k = 1 , , p 1 . Coalition S is connected in ( N , E ) if all pair of players i , j S are connected in the graph ( S , E S ) . The maximal connected coalitions are called connected components in ( N , E ) . Myerson introduced a value for graph-restricted games. Given a graph-restricted game ( v , g ) , he defined v E : 2 N R as:
v E ( S ) = T S / E v ( T )
for every S 2 N , where S / E is the set:
S / E = { T S : T connected component in ( S , E S ) } .
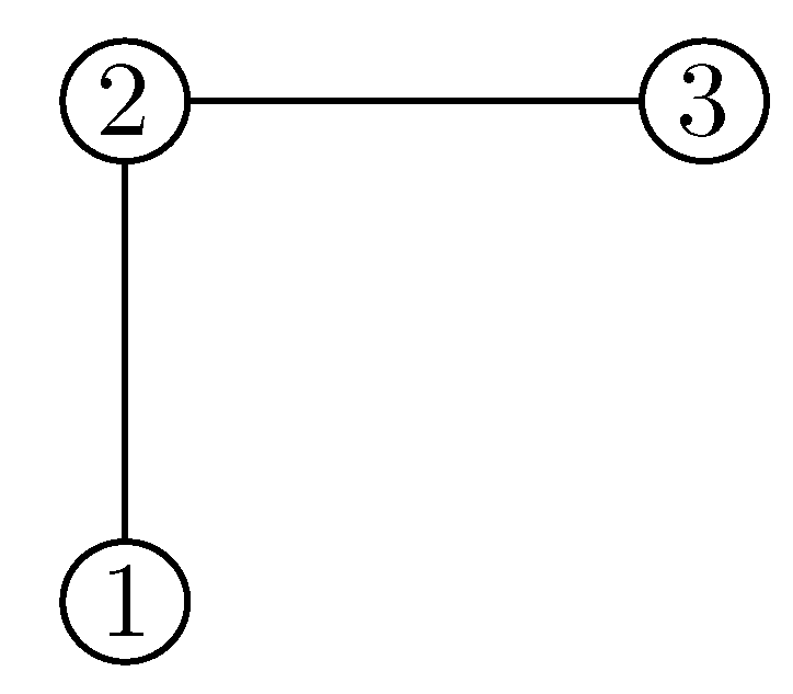
So, he considers the worth of a coalition as the sum of the payments of the maximal connected sets within the coalition, assuming that the connected sets by the graph are the only feasible coalitions. For example, consider the graph g = ( N , E ) in Figure 1, with N = { 1 , 2 , 3 } and E = { 12 , 23 } , and any game v G N . Notice that v E ( { 1 , 3 } ) = v ( { 1 } ) + v ( { 3 } ) since { 1 , 3 } / E = { { 1 } , { 3 } } , but v E ( N ) = v ( N ) because N / E = { N } .
Then, Myerson defines a value for graph-restricted games, known in the literature as the Myerson value, given by:
Y ( v , E ) = S h ( v E ) .
Hence, the Myerson value is actually the Shapley value of a certain modification of the initial game. Myerson proves that Y is characterized by the following properties:
Component efficiency: i T Y i v , E = v T for every graph-restricted game ( v , E ) and every T N / E ;
Fairness: Y i ( v , E ) Y i ( v , E \ { i j } ) = Y j ( v , E ) Y j ( v , E \ { i j } ) for every graph-restricted game ( v , E ) and every i j E . That is, both players in a link have the same profit decrease if we remove the link.

3. A Value for Graph-Restricted Games with Middlemen on Edges

In the graph-restricted games introduced by Myerson [6], the existence of an edge i j means that players i and j can cooperate freely, in the sense that there is a method of communication between i and j. It is assumed that there is no cost associated with the direct communication between i and j. Nevertheless, there are situations in which the direct communication between two players depends on an intermediary agent. This agent does not properly participate in the income-generating activity in which i an j are involved, but they are essential to facilitate the cooperation. In order to model a situation like that, we will consider a graph-restricted game with middlemen on edges, which consists of a graph ( N , E ) and a characteristic function v : 2 N R , which indicates the profit that can be obtained by each coalition of nodes if they are allowed to cooperate. The difference with the games introduced by Myerson is that, in our case, both nodes and edges represent agents, and consequently, each one of them should receive a fair payoff. Our goal is to define and characterize a reasonable allocation rule for graph-restricted games with middlemen on edges. A graph-restricted game (on N) with middlemen on edges consists of a characteristic function v : 2 N R with v ( ) = 0 and a graph ( N , E ) . It will be denoted by ( v , E ) . So, a graph-restricted game with middlemen on edges is exactly the same mathematical structure as a graph-restricted game. The family of graph-restricted games (on N) will be denoted by GR N . Our approach consists of introducing a new kind of solution.
Definition 1.
A value for graph-restricted games on N with middlemen on the edges is a mapping Ψ that assigns to each ( v , E ) GR N a payoff vector Ψ ( v , E ) R N E .
Myerson [6] considered a new game defined over the nodes (5) and Meesen [7] a new game over the links. We need to define a new game for both nodes and edges. In order to obtain a payoff vector for both elements for a game ( v , E ) GR N , we can consider the restricted game ( N E , v E ) G N E , where v E : 2 N E R is defined by:
v E ( S F ) = R S / F v ( R )
for every S N and every F E , where S / F is the set of connected components in ( S , F S ) . Following Myerson and Meesen, we define a value for graph-restricted games with middlemen on the edges by using v E .
Definition 2.
The Myerson value for graph-restricted games with middlemen on the edges is the value Φ given by:
Φ ( v , E ) = S h ( v E ) R N E
for all ( v , E ) GR N .
Obviously, this value is related to the original Myerson value. In fact, we can prove the following result that allows us to determine Φ through the Myerson value by changing the game and the graph (see Figure 2).
Proposition 1.
Let ( v , E ) GR N be a graph-restricted game. The value Φ for ( v , E ) satisfies that
Φ ( v , E ) = Y ( v ^ , E ^ ) ,
where:
  • v ^ G N E with v ^ ( S F ) = v ( S ) ;
  • ( N E , E ^ ) is a graph with
    E ^ = { i e : e = i j E } .
Proof. 
Consider ( v , E ) GR N . Let S F with S N and F E . For each T S , we define:
H F T = { i j F : { i , j } T } .
We have that
( S F ) / E ^ = { T H F T : T S / F } ,
because coalition T S / F if and only if T is connected in ( S , F S ) and there is not i j H F T with j S \ T . Now we obtain:
v ^ E ^ ( S F ) = T H ( S F ) / E ^ v ^ ( T H ) = T H ( S F ) / E ^ v ( T ) = T S / F v ( T ) = v E ( S F ) .
If both games are the same, then:
Y ( v ^ , E ^ ) = S h ( v ^ E ^ ) = S h ( v E ) = Φ ( v , E ) .
Our goal in the rest of the paper will be to characterize Φ . To this end, we will consider the following properties:
  • COMPONENT EFFICIENCY. A value Ψ for graph-restricted games with middlemen on the edges satisfies component efficiency if:
    i T Ψ i v , E + j k E T Ψ j k v , E = v ( T )
    for every ( v , E ) GR N and every T N / E .
    The property of component efficiency establishes that if T is a connected component of the communication graph, then the players in T and the middlemen that communicate them allocate to themselves the profit that the players in T can generate when they cooperate.
  • FAIRNESS. A value Ψ for graph-restricted games with middlemen on the edges satisfies fairness if:
    Ψ i ( v , E ) Ψ i ( v , E \ { i j } ) = Ψ i j ( v , E )
    for every ( v , E ) GR N and every i j E .
    The property of fairness asserts that if a middleman establishes a direct communication between two players, then all three of them will benefit equally.
The following theorems state that Φ is characterized by the two properties above.
Theorem 1.
The value Φ satisfies component efficiency and fairness.
Proof. 
We will show that Φ satisfies the properties in the theorem using Proposition 1.
Component efficiency. Let ( v , E ) GR N and let T N / E . Obviously, T E T ( N E ) / E ^ . As the Myerson value satisfies the component efficiency, then:
i T Φ i ( v , E ) + i j E T Φ i j ( v , E ) = i T Y i ( v ^ , E ^ ) + i j E T Y i j ( v ^ , E ^ ) = v ^ ( T E T ) = v ( T ) .
Fairness. Let ( v , E ) GR N and let e = i j E . We consider the edge i e E ^ , and we apply the fairness property to the Myerson value of ( v ^ , E ^ ) . The following relation is obtained:
Y e ( v ^ , E ^ ) Y e ( v ^ , E ^ \ { i e } ) = Y i ( v ^ , E ^ ) Y i ( v ^ , E ^ \ { i e } ) .
From Proposition 1, we have that Φ e ( v , E ) = Y e ( v ^ , E ^ ) and Φ i ( v , E ) = Y i ( v ^ , E ^ ) . In addition, the definition of the Myerson value (7) implies that Y ( v ^ , E ^ \ { i e } ) = S h v ^ E ^ \ { i e } , where v ^ E ^ \ { i e } G N E .
First, we will prove that e is a null player in v ^ E ^ \ { i e } . Observe that e, as a vertex in ( N E , E ^ \ { i e } ) , is only connected to j. Let S F with S N and F E \ { e } . We intend to test that
v ^ E ^ \ { i e } ( ( S F ) { e } ) = v ^ E ^ \ { i e } ( S F ) .
In fact, if j S , then { e } is a connected component in ( S ( F { e } ) , ( E ^ \ { i e } ) S ( F { e } ) ) , and since v ^ ( { e } ) = 0 , the equality is true. Suppose j S ; then, if T H ( S F ) / ( E ^ \ { i e } ) is the connected component containing j in the graph without e, then T ( H { e } ) ( ( S F ) { e } ) ) / ( E ^ \ { i e } ) is the connected component containing j in the graph with e. Obviously,
[ ( S F ) / ( E ^ \ { i e } ) ] \ { T H } = [ ( ( S F ) { e } ) ) / ( E ^ \ { i e } ) ] \ { T ( H { e } ) } .
From the definition of game v ^ , we have (10) again. Since e is a null player in v ^ E ^ \ { i e } and the Shapley value satisfies the null player property (see Section 2.2), then:
Y e ( v ^ , E ^ \ { i e } ) = S h e v ^ E ^ \ { i e } = 0 .
Moreover, as we said in Section 2.2, null players are removable to calculate the Shapley value. So, for player i, we can calculate:
S h i v ^ E ^ \ { i e } = S h i v ^ e E ^ \ { i e }
thinking of the game without player e as v ^ e E ^ \ { i e } G N ( E \ { e } ) . Consider, then, S F with S N and F E \ { e } . If we do not use e, then we have:
v ^ e E ^ \ { i e } ( S F ) = v ^ E \ { e } ^ ( S F ) .
Secondly, we obtain:
Y i ( v ^ , E ^ \ { i e } ) = S h i v ^ e E ^ \ { i e } = S h i v ^ E \ { e } ^ = Y i ( v ^ , E \ { e } ^ ) .
Finally, putting (9), (11) and (12) together:
Φ i j ( v , E ) = Y e ( v ^ , E ^ ) = Y i ( v ^ , E ^ ) Y i ( v ^ , E \ { e } ^ ) = Φ i ( v , E ) Φ i ( v , E \ { i j } ) .
Now we will prove that our value is determined by these properties, namely, the component efficiency and fairness.
Theorem 2.
The value Φ is the only value for graph-restricted games on N with middlemen on the edges satisfying component efficiency and fairness.
Proof. 
Let Ψ : GR N R N E be a value that satisfies component efficiency and fairness. We aim to prove that:
Φ ( v , E ) = Ψ ( v , E )
for every ( v , E ) GR N . We will prove the equality above by induction on | E | .
  • Base case. | E | = 0 .
    By the property of component efficiency, it is clear that
    Ψ i ( v , ) = Φ i ( v , ) = v ( { i } )
    for every i N .
  • Induction step.
    Let ( v , E ) GR N be such that | E | > 0 . In order to prove that Ψ ( v , E ) = Φ ( v , E ) , we will show that for every T N / E , the following equalities hold:
    Ψ i ( v , E ) = Φ i ( v , E ) f o r e v e r y i T ,
    Ψ j k ( v , E ) = Φ j k ( v , E ) f o r e v e r y j k E T .
    Take T N / E . If | T | = 1 , then E T = , and by the property of component efficiency, (13) holds. Suppose now that | T | > 1 . Let i , j T with i j E . By the property of fairness, it is clear that
    Ψ i ( v , E ) Ψ i ( v , E \ { i j } ) = Ψ j ( v , E ) Ψ j ( v , E \ { i j } ) ,
    Φ i ( v , E ) Φ i ( v , E \ { i j } ) = Φ j ( v , E ) Φ j ( v , E \ { i j } ) .
    Moreover, by induction hypothesis, we have that
    Ψ i ( v , E \ { i j } ) = Φ i ( v , E \ { i j } ) ,
    Ψ j ( v , E \ { i j } ) = Φ j ( v , E \ { i j } ) .
    From (15)–(18), we conclude that
    Ψ i ( v , E ) Φ i ( v , E ) = Ψ j ( v , E ) Φ j ( v , E )
    Taking into account that i and j have been arbitrarily chosen in T with the condition i j E and that T is a connected component of ( N , E ) , it is clear that there exists b R such that
    Ψ i ( v , E ) Φ i ( v , E ) = b f o r e v e r y i T .
    Let j k E T . By the property of fairness, we know that
    Ψ j k ( v , E ) = Ψ j ( v , E ) Ψ j ( v , E \ { j k } ) Φ j k ( v , E ) = Φ j ( v , E ) Φ j ( v , E \ { j k } )
    Thus, Ψ j k ( v , E ) Φ j k ( v , E ) = Ψ j ( v , E ) Φ j ( v , E ) Ψ j ( v , E \ { j k } ) + Φ j ( v , E \ { j k } ) = b , where we have used (19) and the induction hypothesis. Therefore, we have proven that
    Ψ j k ( v , E ) Φ j k ( v , E ) = b f o r e v e r y j k E T
    From (19) and (20) and the fact that Ψ and Φ satisfy component efficiency, we can easily deduce that b = 0 , which leads to (13) and (14).
Notice that the characterization that we have obtained for the value Φ is similar to that obtained by Myerson [6] for the value Y. Roughly speaking, we have adapted the properties of component efficiency and fairness to our framework. In his seminal paper, Myerson introduced a third interesting property of values for graph-restricted games, which is stability. In this context, stability means that if the underlying game (i.e., the game before considering communication restrictions) is superadditive, then any two players will always benefit from establishing a link between them. After proving that the value Y is characterized by the properties of fairness and component efficiency, Myerson concludes his paper with the proof that Y is stable. In order to maintain the parallelism between this paper and Myerson’s, we will prove that Φ is also stable.
Proposition 2.
The value Φ is stable, that is, if ( v , E ) GR N and v is superadditive, then:
Φ i ( v , E ) Φ i ( v , E \ { i j } )
for every i j E .
Proof. 
Let ( v , E ) GR N be such that v is superadditive. Let i j E . We aim to prove that Φ i ( v , E ) Φ i ( v , E \ { i j } ) . By the property of fairness, this is equivalent to Φ i j ( v , E ) 0 . We have that
Φ i j ( v , E ) = S N F E \ { i j } q S F N E v E S F { i j } v E S F .
Therefore, it suffices to prove that v E S F { i j } v E S F for every S N and every F E \ { i j } . To this end, take S N and F E \ { i j } . We distinguish three cases:
(i)
{ i , j } S . In this case, it is evident that ( F { i j } ) S = F S . We have that
v E ( S F { i j } ) = R S / ( F { i j } ) S v ( R ) = R S / F S v ( R ) = v E ( S F ) .
(ii)
i , j S and they are connected in ( S , F S ) . In this case, it is easy to check that S / ( F { i j } ) S = S / F S . This leads to v E S F { i j } = v E S F .
(iii)
i , j S and they are not connected in ( S , F S ) . We can write S / F S = { R 1 , , R m } , where m 2 , i R 1 and j R 2 . It is clear that S / ( F { i j } ) S = { R 1 R 2 , R 3 , R m } . We have that
v E ( S F { i j } ) v E ( S F ) = R S / ( F { i j } ) S v ( R ) R S / F S v ( R ) = v ( R 1 R 2 ) v ( R 1 ) v ( R 2 ) ,
which is non-negative by the superadditivity of v. Hence, v E S F { i j } v E S F .
The next property will be interesting in the following section.
Proposition 3.
If ( v , E ) GR N satisfies that v is superadditive and positive, then it holds Φ ( v , E ) 0 .
Proof. 
Let ( v , E ) GR N be such that v is superadditive and positive. We will prove that v E is monotone. Let T S N and L F E . We will see that
v E ( T L ) v E ( S F ) .
In the proof of Proposition 2, we showed that if v is superadditive, then v E ( S L ) v E ( S F ) . Observe that if R T / L T , then there exists only one R S / L S with R R . As we said in Section 2.1, since v is superadditive and positive, then v is monotone. For each R S / L S we set:
M ( R ) = { R T / L T : R R } .
Since the elements of M ( R ) are disjoint and v is superadditive and monotone, we obtain:
v E ( T L ) = { R S / L S : M ( R ) } R M ( R ) v ( R ) { R S / L S : M ( R ) } v R M ( R ) R { R S / L S : M ( R ) } v R M ( R ) R + v R \ R M ( R ) R { R S / L S : M ( R ) } v ( R ) R S / L S v ( R ) = v E ( S L ) .
Hence, we obtain the following result:
v E ( T L ) v E ( S L ) v E ( S F ) .
It was said in Section 2.2 that the Shapley value satisfies monotonicity. As v E is monotone and Φ ( v , E ) = S h ( v E ) , then Φ ( v , E ) 0 . □

4. Example: A KRI for Internal Networks

In most cases, managers are not able to understand the technical mechanisms or evaluation or support that enables them to make decisions. For that, the risk map is a simplification of technical information, where the severity of vulnerabilities can be shown by colors [12]. In this example, we obtain an index using cooperative game theory to analyze the vulnerabilities that the custody of information may suffer when it is shared by different users through a network. We consider an internal network of computers connected according to the topology represented in a graph ( N , E ) . We assume that the information is stored in the computers (hosts) independently. The network has a system to know when there has been a theft or alteration of information, but it cannot determine exactly if the vulnerability comes from a host or from the communication. We use what was previously developed as a kind of risk indicator that establishes the probability of suffering a vulnerability in computers and/or communications, and in view of these probabilities, make a distribution of investment. Suppose a certain control point in the time of the network. Let S N be a subset of computers. We can define a game ( N , v ) as follows:
v ( S ) = number of attacked data stored only on computers of S total amount of attacked data .
Notice that the data in computers of S can be stolen in the computers themselves or in the links between them. By construction game v as positive and superadditive (also monotone), we propose the value Φ ( v , E ) as the KRI for the network in that certain control point, which distributes the risk among the different elements of the networks (nodes and links). Actually, since there is component efficiency, we obtain a KRI in each connected component of the network. Proposition 2 guarantees that the index is non-negative. Fairness says that the risk in an edge is the difference between the risk of one of its vertices with the link in the structure and without it. Firstly, we propose to obtain a structural KRI for the network or any of its subnetworks induced by a subset of computers T N by the value Φ ( u T , E ) , where u T is the unanimity game defined in Section 2.1. This initial index measures the structural risk of each element, i.e., the incidence of each of them (nodes and edges) in the theft of one datum from T. Next, we propose to calculate a KRI at a time control point in the network using Φ ( v , E ) and constructing v as in (21) with the information of the theft data at that moment.
To demonstrate the idea, we take the network in Figure 3 with N = { 1 , 2 , 3 , 4 } and E = { 12 , 13 , 14 , 23 , 34 } .
(1)
Our goal is to calculate the structural KRI of the network, i.e., our goal is Φ ( u N , E ) . Recall that Φ ( u N , E ) = S h ( ( u N ) E ) . In order to determine S h ( ( u N ) E ) , we will apply (4). Firstly, we calculate ( u N ) E ( S F ) for each S N and each F E . Then, we use (2) to calculate the Harsanyi dividends of v E . Table 1 shows the results obtained.
Applying (4), we obtain that
S h 1 ( ( u N ) E ) = 1 7 + 1 7 + 1 7 + 1 7 + 1 7 + 1 7 + 1 7 + 1 7 2 8 2 8 2 8 2 8 3 8 + 4 9 = 0.211 .
It is clear that the calculation of the payoffs to players 2 , 3 , 4 would be the same as above. Therefore:
S h 1 ( ( u N ) E ) = S h 2 ( ( u N ) E ) = S h 3 ( ( u N ) E ) = S h 4 ( ( u N ) E ) = 0.211 .
Let us calculate now the payoff to 12. We have that
S h 12 ( ( u N ) E ) = 1 7 + 1 7 + 1 7 + 1 7 + 1 7 2 8 2 8 2 8 3 8 + 4 9 = 0.035 .
For middlemen 14 , 23 , 34 , we would obtain the same payoff as for 12. Hence:
S h 12 ( ( u N ) E ) = S h 14 ( ( u N ) E ) = S h 23 ( ( u N ) E ) = S h 34 ( ( u N ) E ) = 0.035 .
Finally, let us calculate S h 13 ( ( u N ) E ) :
S h 13 ( ( u N ) E ) = 1 7 + 1 7 + 1 7 + 1 7 2 8 2 8 2 8 2 8 + 4 9 = 0.016 .
We present the solution as a risk matrix and later as a risk map. To do this, each host (computer) i that acts as a node in the network will be in the main diagonal of the matrix (position i i ), while position i j refers to the link (communication) between host i and host j. The matrix is symmetric since the link i j is the same as the connection j i (It is possible to extend the problem to directed networks). So, we obtain the structural KRI of the network:
0.211 0.035 0.016 0.035 0.035 0.211 0.035 0 0.016 0.035 0.211 0.035 0.035 0 0.035 0.211 .
We suppose a high level of risk if the index if greater than 0.2 , medium if it is the interval ( 0.02 , 0.2 ) and low if the index is less than 0.02 . The structural risk map of the network is in Figure 4.
(2)
Now we suppose that we test the system in a control, and we are aware that there is an amount of 100 stolen data. Those data are distributed among the following computers by Table 2.
Game v, following (21), is in Table 3.
The KRI matrix, given by Φ ( v , E ) , for this control point is:
0.167 0 0.167 0 0 0.24 0.04 0 0.167 0.04 0.24 0.073 0 0 0.073 0.073 .
The new risk map is now Figure 5.
The initial map informs us of the potential risk of each of the elements. We assume that, given these initial indices, an appropriately distributed security system is established for each of the elements. The checkpoint is made with knowledge of the data suspected of being stolen and the geographic location of where the data are located. The index calculated at the checkpoint allows the security system to be redistributed and adapted to more realistic risks. Thus, certain edges appear to have no risk, such as 12, and even certain computers have a minimal risk, such as 1, compared to the initial risk, which was high. The fact that the index is not only qualitative but quantitative allows us to use it also for the proportional distribution of work (inversely in this case, less work for computers with less weight) or new economic resources on security.

5. Conclusions

In this paper, a key risk indicator (KRI) for internal networks has been introduced, that is, an index that informs about the risk of suffering an attack on each element of a network. For this, we have followed a game-theoretic approach. Since an attack on a computer network can be carried out on the computers themselves or on the communication channels between them (man-in-the-middle attacks), we have developed a new model for graph-restricted games in which both the nodes and the edges of the graph represent agents in the game. We have defined a value that, given a graph and a characteristic function on the set of nodes, assigns a payoff to each vertex and each link of the graph. It has been shown that this value is characterized by the properties of component efficiency and fairness, which are analogous to the homonymous properties that characterize the Myerson value for graph-restricted games. Moreover, it has been proved that the value obtained satisfies stability and that is positive whenever the underlying game is superadditive and positive. Once this value has been studied, it has been used to define a KRI. If we consider a graph that describes the topology of an internal network and a characteristic function that indicates, for each coalition of computers, the proportion between the number of data which are stored only on the computers of the coalition that have been attacked (in a fixed period of time) and the total amount of data that have been attacked in the network, the vector obtained by applying the value to the corresponding graph-restricted game can be interpreted as a vector of measures of the risk that each element of the network has of suffering an attack. In summary, we have proposed the use of a value for graph-restricted games with agents on the edges for monitoring the security of the nodes and the links in a computer network. The use of alternative values, such as the Banzhaf-graph value [13] or the position value [7], has not been considered and thus remains open for future research.

Author Contributions

Formal analysis, J.M.G. and A.J.-L.; Investigation, A.C.A.; Software, A.C.A.; Supervision, J.M.G. and A.J.-L. All authors have read and agreed to the published version of the manuscript.

Funding

This research has been supported by the Andalusian Regional Government under grant FQM-237.

Institutional Review Board Statement

Not applicable.

Informed Consent Statement

Not applicable.

Data Availability Statement

Not applicable.

Conflicts of Interest

The authors declare no conflict of interest. The funders had no role in the design of the study; in the collection, analyses, or interpretation of data; in the writing of the manuscript, or in the decision to publish the results.

References

  1. Warsinke, J.; Graff, M.; Henry, K.; Hoover, C.; Malisow, B.; Murphy, S.; Oakes, C.P.; Pajari, G.; Parker, J.T.; Seidl, D.; et al. Domains 2 and 4. In Official (ISC)2 Guide to the CISSP@ CBK; John Wiley & Sons Inc.: Hoboken, NJ, USA, 2019; pp. 618–630. ISBN 978-1119423348. [Google Scholar]
  2. Krutz, R.L.; Vines, R.D. The CISSP Prep Guide: Gold Edition; John Wiley & Sons Inc.: Hoboken, NJ, USA, 2002; ISBN 978-0471268024. [Google Scholar]
  3. Avrachenkov, K.E.; Kondratev, A.Y.; Mazalov, V.V. Cooperative game theory approaches for network partitioning. In Computing and Combinatorics; Lecture Notes in Computer Science; Cao, Y., Chen, J., Eds.; Springer: Cham, Switzerland, 2017; Volume 10392, pp. 591–602. [Google Scholar] [CrossRef] [Green Version]
  4. Saaty, T.L.; Vargas, L.G. Decision Making with the Analytic Network Process; International Series in Operations Research & Management Science; Springer: New York, NY, USA, 2002. [Google Scholar] [CrossRef]
  5. Shapley, L.S. A value for n-person games. Ann. Math. Stud. 1953, 28, 307–317. [Google Scholar] [CrossRef]
  6. Myerson, R.B. Graphs and cooperation in games. Math. Oper. Res. 1977, 2, 225–229. [Google Scholar] [CrossRef] [Green Version]
  7. Meesen, R. Communication Games. Ph.D. Thesis, University of Nijmegen, Nijmegen, The Netherlands, 1988. [Google Scholar]
  8. Borm, P.; Owen, G.; Tijs, S. On the position value for communication situations. SIAM J. Discret. Math. 1992, 5, 305–320. [Google Scholar] [CrossRef] [Green Version]
  9. Jackson, M.O. Social Economic Networks; Princeton University Press: Princeton, NJ, USA, 2008; ISBN 9780691148205. [Google Scholar]
  10. Mazalov, V.V. Network games. In Mathematical Game Theory and Applications; Mathematics & Statistics, Applied Mathematics; Wiley: Hoboken, NJ, USA, 2014; pp. 314–351. ISBN 978-1-118-89962-5. [Google Scholar]
  11. Harsanyi, J.C. A bargaining model for the cooperative n-person game. Ann. Math. Stud. 1959, 40, 325–356. [Google Scholar] [CrossRef]
  12. Amutio, M.A.; Candau, J. MAGERIT v.3, Methodology for Information Systems Risk Analysis and Management; Book 1; Ministry of Finance and Public Administrations: Madrid, Spain, 2006. Available online: https://administracionelectronica.gob.es/pae_Home/pae_Documentacion/pae_Metodolog/pae_Magerit.html?idioma=en#.YpEnjS8lOhw (accessed on 5 May 2022).
  13. Owen, G. Values of graph-restricted games. SIAM J. Algebr. Discret. Methods 1986, 7, 210–220. [Google Scholar] [CrossRef]
Figure 1. Graph ( N , E ) .
Figure 1. Graph ( N , E ) .
Mathematics 10 01856 g001
Figure 2. Graph involving vertices and edges.
Figure 2. Graph involving vertices and edges.
Mathematics 10 01856 g002
Figure 3. Internal network of the example.
Figure 3. Internal network of the example.
Mathematics 10 01856 g003
Figure 4. Structural risk map.
Figure 4. Structural risk map.
Mathematics 10 01856 g004
Figure 5. Risk map at the control point.
Figure 5. Risk map at the control point.
Mathematics 10 01856 g005
Table 1. Technical game ( u N ) E and dividends.
Table 1. Technical game ( u N ) E and dividends.
S           F ( u N ) E ( S F ) Δ ( u N ) E ( S F )
S { 1 , 2 , 3 , 4 } F 0 0
{ 1 , 2 , 3 , 4 } F E s.t. | F | < 3 0 0
{ 1 , 2 , 3 , 4 } { 12 , 13 , 23 } 0 0
{ 1 , 2 , 3 , 4 } { 13 , 14 , 34 } 0 0
{ 1 , 2 , 3 , 4 } { 12 , 14 , 23 } 1 1
{ 1 , 2 , 3 , 4 } { 12 , 23 , 34 } 1 1
{ 1 , 2 , 3 , 4 } { 12 , 13 , 14 } 1 1
{ 1 , 2 , 3 , 4 } { 12 , 13 , 34 } 1 1
{ 1 , 2 , 3 , 4 } { 12 , 14 , 34 } 1 1
{ 1 , 2 , 3 , 4 } { 13 , 14 , 23 } 1 1
{ 1 , 2 , 3 , 4 } { 13 , 23 , 34 } 1 1
{ 1 , 2 , 3 , 4 } { 14 , 23 , 34 } 1 1
{ 1 , 2 , 3 , 4 } { 12 , 13 , 14 , 23 } 1 2
{ 1 , 2 , 3 , 4 } { 12 , 13 , 14 , 34 } 1 2
{ 1 , 2 , 3 , 4 } { 12 , 13 , 23 , 34 } 1 2
{ 1 , 2 , 3 , 4 } { 13 , 14 , 23 , 34 } 1 2
{ 1 , 2 , 3 , 4 } { 12 , 14 , 23 , 34 } 1 3
{ 1 , 2 , 3 , 4 } { 12 , 13 , 14 , 23 , 34 } 1 4
Table 2. Stolen data distribution among computers.
Table 2. Stolen data distribution among computers.
S1234121314
Data020000500
S2334123124134234N
Data010000200
Table 3. Game v.
Table 3. Game v.
S1234121314
v00 0.2 00 0.2 0.5 0
S232434123124134234N
v 0.2 0.2 0.1 0.7 0.2 0.6 0.5 1
Publisher’s Note: MDPI stays neutral with regard to jurisdictional claims in published maps and institutional affiliations.

Share and Cite

MDPI and ACS Style

Alarcón, A.C.; Gallardo, J.M.; Jiménez-Losada, A. A Value for Graph-Restricted Games with Middlemen on Edges. Mathematics 2022, 10, 1856. https://doi.org/10.3390/math10111856

AMA Style

Alarcón AC, Gallardo JM, Jiménez-Losada A. A Value for Graph-Restricted Games with Middlemen on Edges. Mathematics. 2022; 10(11):1856. https://doi.org/10.3390/math10111856

Chicago/Turabian Style

Alarcón, Antonio C., José M. Gallardo, and Andrés Jiménez-Losada. 2022. "A Value for Graph-Restricted Games with Middlemen on Edges" Mathematics 10, no. 11: 1856. https://doi.org/10.3390/math10111856

APA Style

Alarcón, A. C., Gallardo, J. M., & Jiménez-Losada, A. (2022). A Value for Graph-Restricted Games with Middlemen on Edges. Mathematics, 10(11), 1856. https://doi.org/10.3390/math10111856

Note that from the first issue of 2016, this journal uses article numbers instead of page numbers. See further details here.

Article Metrics

Back to TopTop