Software Reliability Modeling Incorporating Fault Detection and Fault Correction Processes with Testing Coverage and Fault Amount Dependency
Abstract
1. Introduction
- We develop a general framework for modeling both fault detection and correction processes from the viewpoint of fault amount dependency instead of time dependency in the context of different testing coverage and imperfect debugging.
- We consider testing coverage functions including the Weibull-type, delayed S-shaped, and inflection S-shaped functions to verify their flexibility in modeling different failure phenomena.
- We discuss the models under two kinds of failure datasets followed by two kinds of parameter estimation methods and performance comparison criteria accordingly.
- We conduct case studies based on two kinds of failure datasets to verify the feasibility of the proposed method.
2. Model Formulation
2.1. Assumptions
- The software failure process follows an NHPP process.
- The mean number of faults detected in the time interval () is proportional to the number of undetected faults at time .
- The fault detection rate is denoted by testing coverage, which is written as , where refers to one kind of testing coverage, e.g., code percentage that has been examined up to time , and is the derivative of .
- The software debugging process is imperfect, and new faults could be introduced during fault correction.
- The detected faults cannot be corrected immediately, and the dependency between fault detection and correction processes is represented by , that is, , where is the cumulative detected faults, and represents the cumulative corrected faults.
2.2. The Relationship between and
2.3. Framework and New Testing Coverage Models
3. Parameter Estimation Methods and Model Comparison Criteria
3.1. Parameter Estimation Methods
3.1.1. Parameter Estimation Method for Paired FDP and FCP Models
3.1.2. Parameter Estimation Method for Single Process Models
3.2. Criteria for a Comparison of the Power of Models with Paired FDP and FCP Models
3.2.1. Criteria for a Comparison of the Descriptive Power of Models with Paired FDP and FCP Models
3.2.2. Criteria for a Comparison of the Predictive Power of Models with Paired FDP and FCP Models
3.3. Criteria for a Comparison of the Power of Model with Single Process Models
3.3.1. Criteria for a Comparison of the Descriptive Power of Models with Single Process Models
- (1)
- Mean value of squared error (MSE)
- (2)
- Correlation index of the regression curve equation ()
- (3)
- Adjusted
- (4)
- Predictive-ratio risk ()
- (5)
- Predictive power ()
- (6)
- (7)
3.3.2. Criteria for a Comparison of the Predictive Power of Models with Single Process Models
4. Numerical Examples
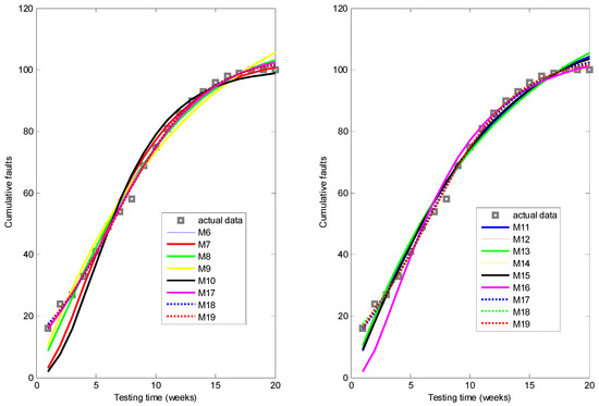
4.1. Case Study 1
- M19 (the proposed model with inflection S-shaped testing coverage) has the smallest MSE = 22.9948 and MSEd = 26.6022 among all models.
- M18 (the proposed model with delayed S-shaped testing coverage) has the second smallest MSE = 27.5294 and MSEd = 29.3943 among all models.
- M17 (the proposed model with Weibull-type testing coverage) has the third smallest MSE = 27.9714 and MSEd = 37.6473 among all models.
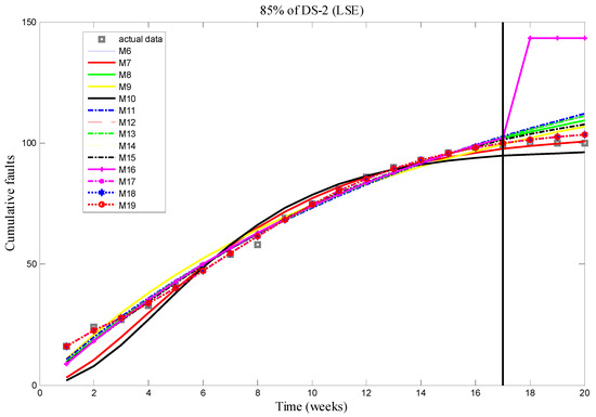
4.2. Case Study 2
- M17 (the proposed model with Weibull-type testing coverage), M18 (the proposed model with delayed S-shaped testing coverage), and M19 (the proposed model with inflection S-shaped testing coverage) provide much smaller MSE values than existing models, among which M19’s MSE = 2.0100 is the lowest value among all models followed by M18’s MSE = 2.1653 and M17’s MSE = 3.3221.
- M17, M18, and M19 provide the largest values of 0.9971, 0.9980, and 0.9981, respectively, compared to existing models, where M19 provides the largest = 0.9981.
- M17, M18, and M19 provide the largest Adjusted values of 0.9960, 0.9975, and 0.9975, respectively, compared to existing models, where M18 and M19 provide the largest = 0.9975.
- M17, M18, and M19 provide the smallest values of 0.0242, 0.0224, and 0.0135, respectively, compared to existing models, where M19 provides the smallest = 0.0135 followed by M18’s 0.0224 and M17’s 0.0242.
- M17, M18, and M19 provide the smallest values of 0.0215, 0.0224, and 0.013, respectively, compared to existing models, where M19 provides the smallest = 0.0131 followed by M17’s 0.0215 and M18’s 0.0224.
- M17, M18, and M19 provide the smallest absolute values of of 0.0701, 0.0164, and 0.02681, respectively, compared to existing models, where M18 provides the smallest absolute value of = 0.0164 followed by M19 and M17.
- M17, M18, and M19 provide the smallest values of 1.5696, 1.3077, and 1.2607, respectively, compared to existing models, where M19 provides the smallest = 1.2607 followed by M18 and M17.
4.3. Case Study 3
- The proposed models provide the top three best results over all models according to the estimation criteria values of MSE, , Adjusted , and , where M17 (the proposed model with Weibull-type testing coverage) gives the best results of MSE, , Adjusted , and followed by M19 (the proposed model with inflection S-shaped testing coverage).
- M18 (the proposed model with delayed S-shaped testing coverage) gives the best results of and .
- Though M18 gives the second-best result of the absolute value of , whereas the SRGM-3 model gives the best result, there is a small difference between these two results, that is, the lowest absolute value of is 0.1743, and the absolute value of given by M18 is 0.4106.
5. Conclusions
Author Contributions
Funding
Institutional Review Board Statement
Informed Consent Statement
Data Availability Statement
Acknowledgments
Conflicts of Interest
References
- Erto, P.; Giorgio, M.; Lepore, A. The Generalized Inflection S-Shaped Software Reliability Growth Model. IEEE Trans. Reliab. 2020, 69, 228–244. [Google Scholar] [CrossRef]
- Schneidewind, N.F. Analysis of error processes in computer software. ACM Sigplan Not. 1975, 10, 337–346. [Google Scholar] [CrossRef]
- Xie, M.; Zhao, M. The Schneidewind software reliability model revisited. In Proceedings of the Third International Symposium on Software Reliability Engineering, Research Triangle Park, NC, USA, 7–10 October 1992; pp. 184–192. [Google Scholar]
- Schneidewind, N.F. Modelling the fault correction process. In Proceedings of the 12th International Symposium on Software Reliability Engineering, Hong Kong, China, 27–30 November 2001; IEEE Computer Society Press: Los Alamitos, CA, USA, 2001; pp. 185–190. [Google Scholar]
- Huang, C.Y.; Lin, C.T. Software Reliability Analysis by Considering Fault Dependency and Debugging Time Lag. IEEE Trans. Reliab. 2006, 55, 436–450. [Google Scholar] [CrossRef]
- Xie, M.; Hu, Q.P.; Wu, Y.P.; Ng, S.H. A study of the modeling and analysis of software fault-detection and fault-correction processes. Qual. Reliab. Eng. Int. 2007, 23, 459–470. [Google Scholar] [CrossRef]
- Wu, Y.P.; Hu, Q.P.; Xie, M.; Ng, S.H. Modeling and analysis of software fault detection and correction process by considering time dependency. IEEE Trans. Reliab. 2007, 56, 629–642. [Google Scholar] [CrossRef]
- Okamura, H.; Dohi, T. A Generalized Bivariate Modeling Framework of Fault Detection and Correction Processes. In Proceedings of the 2017 IEEE 28th International Symposium on Software Reliability Engineering (ISSRE), Toulouse, France, 23–26 October 2017. [Google Scholar]
- Wang, L.; Hu, Q.; Jian, L. Software reliability growth modeling and analysis with dual fault detection and correction processes. Iie Trans. 2016, 48, 359–370. [Google Scholar] [CrossRef]
- Peng, R.; Li, Y.F.; Zhang, W.J.; Hu, Q.P. Testing effort dependent software reliability model for imperfect debugging process considering both detection and correction. Reliab. Eng. Syst. Saf. 2014, 126, 37–43. [Google Scholar] [CrossRef]
- Peng, R.; Zhai, Q. Modeling of software fault detection and correction processes with fault dependency. Eksploat. I Niezawodn.-Maint. Reliab. 2017, 19, 467–475. [Google Scholar] [CrossRef]
- Lo, J.H.; Huang, C.Y. An integration of fault detection and correction processes in software reliability analysis. J. Syst. Softw. 2006, 79, 1312–1323. [Google Scholar] [CrossRef]
- Yang, J.; Liu, Y.; Xie, M.; Zhao, M. Modeling and analysis of reliability of multi-release open source software incorporating both fault detection and correction processes. J. Syst. Softw. 2016, 115, 102–110. [Google Scholar] [CrossRef]
- Yang, J.; Zhao, M.; Chen, J. ELS algorithm for estimating open source software reliability with masked data considering both fault detection and correction processes. Commun. Stat. Theory Methods 2021, 1–26. [Google Scholar] [CrossRef]
- Pachauri, B.; Kumar, A.; Dhar, J. Reliability analysis of open source software systems considering the effect of previously released version. Int. J. Comput. Appl. 2019, 41, 31–38. [Google Scholar] [CrossRef]
- Tiwari, A.; Sharma, A. Imperfect Debugging-Based Modeling of Fault Detection and Correction Using Statistical Methods. J. Circuits Syst. Comput. 2021, 30, 2150185. [Google Scholar] [CrossRef]
- Choudhary, C.; Kapur, P.K.; Khatri, S.K.; Muthukumar, R.; Shrivastava, A.K. Effort based release time of software for detection and correction processes using MAUT. Int. J. Syst. Assur. Eng. Manag. 2020, 11, S367–S378. [Google Scholar] [CrossRef]
- Saraf, I.; Iqbal, J. Generalized software fault detection and correction modeling framework through imperfect debugging error generation and change point. Int. J. Inf. Technol. 2019, 11, 751. [Google Scholar] [CrossRef]
- Kumar, V.; Khatri, S.K.; Dua, H.; Sharma, M.; Mathur, P. An Assessment of Testing Cost with Effort-Dependent FDP and FCP under Learning Effect: A Genetic Algorithm Approach. Int. J. Reliab. Qual. Saf. Eng. 2014, 21, 1450027. [Google Scholar] [CrossRef]
- Shu, Y.; Wu, Z.; Liu, H.; Yang, X. Software reliability modeling of fault detection and correction processes. In Proceedings of the 2009 Annual Reliability and Maintainability Symposium, Fort Worth, TX, USA, 26–29 January 2009; pp. 521–526. [Google Scholar]
- Li, Q.Y.; Pham, H. Modeling software fault-detection and fault-correction processes by considering the dependencies between fault amounts. Appl. Sci. 2021, 11, 6998. [Google Scholar] [CrossRef]
- Li, Q.; Pham, H. NHPP software reliability model considering the uncertainty of operating environments with imperfect debugging and testing coverage. Appl. Math. Model. 2017, 51, 68–85. [Google Scholar] [CrossRef]
- Huang, C.Y.; Kuo, S.Y.; Lyu, M.R. An assessment of testing-effort dependent software reliability growth models. IEEE Trans. Reliab. 2007, 56, 198–211. [Google Scholar] [CrossRef]
- Cai, X.; Lyu, M.R. Software reliability modeling with test coverage experimentation and measurement with a fault-tolerant software project. In Proceedings of the 18th IEEE International Symposium on Software Reliability, Trollhattan, Sweden, 5–9 November 2007; pp. 17–26. [Google Scholar]
- Malaiya, Y.K.; Li, M.N.; Bieman, J.M.; Karcich, R. Software reliability growth with test coverage. IEEE Trans. Reliab. 2002, 51, 420–426. [Google Scholar] [CrossRef]
- Pham, H.; Zhang, X. NHPP software reliability and cost models with testing coverage. Eur. J. Oper. Res. 2003, 145, 443–454. [Google Scholar] [CrossRef]
- Vouk, M.A. Using Reliability Models during Testing with Non-Operational Profiles. Available online: https://citeseerx.ist.psu.edu/viewdoc/download?doi=10.1.1.47.8863&rep=rep1&type=pdf (accessed on 24 November 2021).
- Gokhale, S.; Trivedi, K.S. A time/structure based software reliability model. Ann. Softw. Eng. 1999, 8, 85–121. [Google Scholar] [CrossRef]
- Park, J.Y.; Lee, G.; Park, J.H. A class of coverage growth functions and its practical application. J. Korean Stat. Soc. 2008, 37, 241–247. [Google Scholar] [CrossRef]
- Chatterjee, S.; Shukla, A. A unified approach of testing coverage-based software reliability growth modelling with fault detection probability, imperfect debugging, and change point. J. Softw. Evol. Process 2019, 31, e2150. [Google Scholar] [CrossRef]
- Chatterjee, S.; Saha, D.; Sharma, A.; Verma, Y. Reliability and optimal release time analysis for multi up-gradation software with imperfect debugging and varied testing coverage under the effect of random field Environments. Ann. Oper. Res. 2021, 1–21. [Google Scholar] [CrossRef]
- Jia, L.; Yang, B.; Guo, S.; Park, D.H. Software reliability modeling considering fault correction process. IEICE Trans. Inf. Syst. 2010, 93, 185–188. [Google Scholar] [CrossRef]
- Liu, Y.; Li, D.; Wang, L.; Hu, Q. A general modeling and analysis framework for software fault detection and correction process. Softw. Test. Verif. Reliab. 2016, 26, 351–365. [Google Scholar] [CrossRef]
- Hu, Q.P.; Xie, M.; Ng, S.H.; Levitin, G. Robust recurrent neural network modelling for software fault detection and correction prediction. Reliab. Eng. Syst. Saf. 2007, 92, 332–340. [Google Scholar] [CrossRef]
- Xiao, H.; Cao, M.; Peng, R. Artificial neural network based software fault detection and correction prediction models considering testing effort. Appl. Soft Comput. 2020, 94, 106491. [Google Scholar] [CrossRef]
- Huang, C.Y.; Huang, W.C. Software reliability analysis and measurement using finite and infinite server queueing models. IEEE Trans. Reliab. 2008, 57, 192–203. [Google Scholar] [CrossRef]
- Hwang, S.; Pham, H. Quasi-renewal time-delay fault-removal consideration in software reliability modeling. IEEE Trans. Syst. Man Cybern.-Part A Syst. Hum. 2009, 39, 200–209. [Google Scholar] [CrossRef]
- Lin, C.T. Analyzing the effect of imperfect debugging on software fault detection and correction processes via a simulation framework. Math. Comput. Model. 2011, 54, 3046–3064. [Google Scholar] [CrossRef]
- Hu, Q.P.; Peng, R.; Ng, S.H.; Wang, H.Q. Simulation-based FDP & FCP analysis with queueing models. In Proceedings of the 2008 IEEE International Conference on Industrial Engineering and Engineering Management, Singapore, 8–11 December 2008; pp. 1577–1581. [Google Scholar]
- Chatterjee, S.; Shukla, A. Modeling and Analysis of Software Fault Detection and Correction Process through Weibull-Type Fault Reduction Factor, Change Point and Imperfect Debugging. Arab. J. Sci. Eng. 2016, 41, 5009–5025. [Google Scholar] [CrossRef]
- Chatterjee, S.; Shukla, A. Effect of Test Coverage and Change Point on Software Reliability Growth Based on Time Variable Fault Detection Probability. J. Softw. 2016, 11, 110–117. [Google Scholar] [CrossRef][Green Version]
- Yamada, S.; Ohba, M.; Osaki, S. S-Shaped Reliability Growth Modeling for Software Error Detection. IEEE Trans. Reliab. 1984, 32, 475–484. [Google Scholar] [CrossRef]
- Ohba, M. Inflection S-shaped software reliability growth model. In Stochastic Models in Reliability Theory; Springer: Berlin/Heidelberg, Germany, 1984; pp. 144–162. [Google Scholar]
- Yamada, S.; Tokuno, K.; Osaki, S. Imperfect debugging models with fault introduction rate for software reliability assessment. Int. J. Syst. Sci. 1992, 23, 2241–2252. [Google Scholar] [CrossRef]
- Pham, H.; Zhang, X. An NHPP Software Reliability Model and Its Comparison. Int. J. Reliab. Qual. Saf. Eng. 1997, 4, 269–282. [Google Scholar] [CrossRef]
- Zhang, X.; Teng, X.; Pham, H. Considering fault removal efficiency in software reliability assessment. IEEE Trans. Syst. Man Cybern. Part A Syst. Hum. 2003, 33, 114–120. [Google Scholar] [CrossRef]
- Kapur, P.K.; Pham, H.; Anand, S.; Yadav, K. A unified approach for developing software reliability growth models in the presence of imperfect debugging and error generation. IEEE Trans. Reliab. 2011, 60, 331–340. [Google Scholar] [CrossRef]
- Hsu, C.J.; Huang, C.Y.; Chang, J.R. Enhancing software reliability modelling and prediction through the introduction of time-variable fault reduction factor. Appl. Math. Model. 2011, 35, 506–521. [Google Scholar] [CrossRef]
- Wood, A. Predicting software reliability. IEEE Comput. 1996, 11, 69–77. [Google Scholar] [CrossRef]
- Pham, H.; Nordmann, L. A general imperfect-software-debugging model with S-shaped fault-detection rate. IEEE Trans. Reliab. 1999, 48, 169–175. [Google Scholar] [CrossRef]
- Linux Kernel Bugzilla. Available online: https://bugzilla.kernel.org/ (accessed on 12 March 2016).
- Wu, C.Y.; Huang, C.Y. A Study of Incorporation of Deep Learning into Software Reliability Modeling and Assessment. IEEE Trans. Reliab. 2021, 70, 1621–1640. [Google Scholar] [CrossRef]







| MSE | |||
|---|---|---|---|
| 0.0022 | 0.9765 | 0.9749 | |
| 0.0029 | 0.9695 | 0.9675 | |
| 0.0038 | 0.9567 | 0.9567 |
| Models | Model Names | Mean Value Functions | Remarks |
|---|---|---|---|
| M1 | FDP: G-O model FCP: G-O with constant time delay [6] | Schneidewind model considers FCP as a constant time delay from FDP. Here taken as comparing models for DS-1. | |
| M2 | FDP: G-O model FCP: G-O with time-dependent delay [6] | Xie et al. model considers FCP as a time-dependent delay from FDP. Here taken as comparing models for DS-1. | |
| M3 | FDP: G-O model FCP: G-O with exponential distributed delay [6] | Assume FCP has an exponential distributed delay from FDP. Taken as comparing models for DS-1. | |
| M4 | FDP: G-O model FCP: G-O with normally distributed time delay [7] | Assume FCP has a normally distributed time delay from FDP. Taken as comparing models for DS-1. | |
| M5 | FDP: G-O model FCP: G-O with gamma distributed time delay [7] | Assume FCP has a gamma distributed time delay from FDP. Taken as comparing models for DS-1 | |
| M6 | G-O model [42] | Taken as comparing model for DS-2 and DS-3. | |
| M7 | Delayed S-shaped [42] | Taken as comparing model for DS-2 and DS-3. | |
| M8 | Inflection S-shaped [43] | Taken as comparing model for DS-2 and DS-3. | |
| M9 | Yamada exponential [42] | Taken as comparing model for DS-2 and DS-3. | |
| M10 | Yamada Rayleigh [42] | Taken as comparing model for DS-2 and DS-3. | |
| M11 | Yamada Weibull [42] | Taken as comparing model for DS-2 and DS-3. | |
| M12 | Yamada imperfect (1) [44] | Taken as comparing model for DS-2 and DS-3. | |
| M13 | Yamada imperfect (2) [44] | Taken as comparing model for DS-2 and DS-3. | |
| M14 | P-Z (1997) model [45] | Taken as comparing model for DS-2 and DS-3. | |
| M15 | Fault removal model (2003) [46] | Taken as comparing model for DS-2 and DS-3. | |
| M16 | SRGM-3 model (2011) [47] | Taken as comparing model for DS-2 and DS-3. | |
| M17 | FDP: Weibull-type testing coverage FCP: with logistic r(t) | Proposed model I. | |
| M18 | FDP: Delayed S-shaped testing coverage FCP: with logistic r(t) | Proposed model II. | |
| M19 | FDP: Inflection S-shaped testing coverage FCP: with logistic r(t) | Proposed model III. |
| Models | Parameter Estimation Values | Estimation | Prediction | |||||
|---|---|---|---|---|---|---|---|---|
| MSE | MRE | |||||||
| M1 | 157.6607 | 0.1353 | 1.5813 | - | - | - | MSE = 52.6776 MSEd = 49.5562 MSEc = 55.7991 | MRE = 0.2667 MREd = 0.3067 MREc = 0.2267 |
| M2 | 168.3627 | 0.1193 | 0.0279 | - | - | - | MSE = 104.8889 MSEd = 58.0583 MSEc = 151.7194 | MRE = 0.3422 MREd = 0.4743 MREc = 0.2102 |
| M3 | 156.3453 | 0.1404 | 0.5811 | - | - | - | MSE = 55.1920 MSEd = 50.6615 MSEc = 59.7225 | MRE = 0.2611 MREd = 0.3083 MREc = 0.2140 |
| M4 | 152.6053 | 0.1501 | 1.9756 | 0.3050 | - | - | MSE = 40.8773 MSEd = 52.6564 MSEc = 29.0983 | MRE = 0.2030 MREd = 0.2422 MREc = 0.1639 |
| M5 | 152.2418 | 0.1466 | - | 1.7071 | 0.6081 | - | MSE = 34.6214 MSEd = 49.4108 MSEc = 19.8320 | MRE = 0.2018 MREd = 0.2171 MREc = 0.1865 |
| M17 | 99.9970 | 27.8834 | 0.1601 | 0.2805 | 0.8266 | 1.2048 | MSE = 27.9714 MSEd = 37.6473 MSEc = 18.2954 | MRE = 0.0980 MREd = 0.1043 MREc = 0.0917 |
| M18 | 99.9888 | 7.2904 | - | 0.2538 | 0.5268 | 0.4833 | MSE = 27.5294 MSEd = 29.3943 MSEc = 25.6646 | MRE = 0.0475 MREd = 0.0495 MREc = 0.0455 |
| M19 | 15.7243 | 15.2734 | 5.9790 | 0.8871 | 0.6848 | 1.8583 | MSE = 22.9948 MSEd = 26.6022 MSEc = 19.3873 | MRE = 0.0921 MREd = 0.0981 MREc = 0.0861 |
| Models | Parameter Estimation Values | |||||
|---|---|---|---|---|---|---|
| M6 | 130.2 | - | - | - | - | |
| M7 | 104.0 | 0.2654 | - | - | - | - |
| M8 | 110.8 | 0.1721 | 1.205 | - | - | |
| M9 | 999.5 | - | - | 0.51 | 0.279 | |
| M10 | 115.8 | - | - | 0.6548 | 3.03 | |
| M11 | 121.1 | - | - | 245.2 | 1.027 | |
| M12 | 130.2 | - | - | - | ||
| M13 | 130.2 | - | - | - | ||
| M14 | 0.1721 | 110.8 | 1.205 | - | ||
| M15 | 103.6 | 4.916 | 57.49 | 0.9993 | ||
| M16 | 83.46 | 37.1 | - | 0.3433 | - | |
| M17 | 155.1 | 5.048 | 0.6796 | 0.2798 | 0.1665 | |
| M18 | 98.05 | 6.62 | - | 0.05596 | 0.2849 | 32.76 |
| M19 | 104.1 | 6.468 | 167.7 | 0.2813 | 7.396 | |
| Models | Descriptive Power Criteria Values | Predictive Power | ||||||
|---|---|---|---|---|---|---|---|---|
| MSE | R2 | Adjusted R2 | PRR | PP | Bias | Variation | SSE (85% of DS-2) | |
| M6 | 12.9056 | 0.9857 | 0.9849 | 0.3783 | 0.2028 | −0.0895 | 3.5005 | 223.8406 |
| M7 | 28.0611 | 0.9689 | 0.9672 | 19.5655 | 1.0809 | −1.4056 | 5.7293 | 1.8720 |
| M8 | 10.5647 | 0.9890 | 0.9877 | 0.8682 | 0.3049 | −0.4480 | 3.1758 | 159.9882 |
| M9 | 14.8438 | 0.9854 | 0.9827 | 0.3659 | 0.2002 | −0.0972 | 3.5400 | 72.5264 |
| M10 | 49.4188 | 0.9514 | 0.9422 | 57.1993 | 1.4971 | −2.0420 | 7.4017 | 46.3688 |
| M11 | 15.1750 | 0.9851 | 0.9823 | 0.8342 | 0.3007 | −0.3531 | 3.4487 | 270.4970 |
| M12 | 13.6647 | 0.9857 | 0.9849 | 0.3783 | 0.2028 | −0.0895 | 3.5005 | 223.8409 |
| M13 | 13.6647 | 0.9857 | 0.9849 | 0.3783 | 0.2028 | −0.0895 | 3.5005 | 223.8407 |
| M14 | 11.9733 | 0.9890 | 0.9860 | 0.8682 | 0.3049 | −0.4480 | 3.1758 | 111.9241 |
| M15 | 10.8786 | 0.9906 | 0.9873 | 0.8766 | 0.3036 | −0.4914 | 2.9627 | 108.1806 |
| M16 | 14.9250 | 0.9853 | 0.9826 | 0.7103 | 0.2787 | −0.2323 | 3.5698 | |
| M17 | 3.3221 | 0.9971 | 0.9961 | 0.0242 | 0.0215 | −0.0701 | 1.5696 | 19.3357 |
| M18 | 2.1653 | 0.9980 | 0.9975 | 0.0224 | 0.0224 | −0.0164 | 1.3077 | 19.6887 |
| M19 | 2.0100 | 0.9981 | 0.9975 | 0.0135 | 0.0131 | −0.0268 | 1.2607 | 19.6620 |
| Models | Parameter Estimation Values | |||||
|---|---|---|---|---|---|---|
| () | ||||||
| M6 | - | - | - | - | ||
| M7 | - | - | - | - | ||
| M8 | 7.644 | - | - | - | ||
| M9 | - | - | 0.9798 | 0.9662 | ||
| M10 | - | - | 0.9532 | 0.9193 | ||
| M11 | - | - | 0.8348 | 1.519 | ||
| M12 | - | - | - | |||
| M13 | - | - | - | |||
| M14 | 0.2537 | 35.02 | 7.637 | - | ||
| M15 | 0.9799 | 0.3611 | 0.6906 | |||
| M16 | 0.1255 | - | 0.7208 | - | ||
| M17 | 32.29 | 0.00133 | 0.6152 | 1.874 | ||
| M18 | 194.7 | 1.729 | - | 1.005 | 0.05865 | 0.07327 |
| M19 | 4.546 | 3.642 | 0.3119 | 0.05695 | ||
| Models | Descriptive Power Criteria Values | Predictive Power | ||||||
|---|---|---|---|---|---|---|---|---|
| MSE | R2 | Adjusted R2 | PRR | PP | Bias | Variation | SSE (90% of DS-3) | |
| M6 | 0.9728 | 0.9726 | 20.4143 | 50.5289 | 146.0383 | |||
| M7 | 1500.0000 | 0.9970 | 0.9970 | 3.2748 | 1.9292 | −5.5046 | 39.8940 | |
| M8 | 0.9966 | 0.9965 | 9.7466 | 428.2829 | 6.8714 | 43.1907 | ||
| M9 | 0.9725 | 0.9720 | 20.4693 | 50.7397 | 146.7860 | |||
| M10 | 0.9938 | 0.9937 | 13.3523 | 4.7410 | −12.3131 | 59.6022 | ||
| M11 | 0.9978 | 0.9978 | 4.1251 | 32.5139 | 0.4720 | 33.0260 | ||
| M12 | 0.9930 | 0.9929 | 13.7110 | 831.6408 | 12.6471 | 63.2145 | ||
| M13 | 0.9949 | 0.9949 | 12.1011 | 628.9523 | 11.0480 | 53.8978 | ||
| M14 | 0.9965 | 0.9964 | 9.7538 | 428.8446 | 6.9531 | 43.2306 | ||
| M15 | 0.9908 | 0.9906 | 13.0302 | 576.6723 | 18.5959 | 75.0555 | ||
| M16 | 952.3810 | 0.9981 | 0.9981 | 10.1299 | 1.8643 | 0.1743 | 30.6975 | |
| M17 | 827.8075 | 0.9984 | 0.9983 | 3.9069 | 1.7518 | −0.7217 | 3.2352 | |
| M18 | 901.0638 | 0.9982 | 0.9982 | 2.8199 | 1.5354 | −1.6940 | 29.5908 | |
| M19 | 856.6845 | 0.9983 | 0.9983 | 3.1131 | 22.5339 | −0.4106 | 28.9657 | |
Publisher’s Note: MDPI stays neutral with regard to jurisdictional claims in published maps and institutional affiliations. |
© 2021 by the authors. Licensee MDPI, Basel, Switzerland. This article is an open access article distributed under the terms and conditions of the Creative Commons Attribution (CC BY) license (https://creativecommons.org/licenses/by/4.0/).
Share and Cite
Li, Q.; Pham, H. Software Reliability Modeling Incorporating Fault Detection and Fault Correction Processes with Testing Coverage and Fault Amount Dependency. Mathematics 2022, 10, 60. https://doi.org/10.3390/math10010060
Li Q, Pham H. Software Reliability Modeling Incorporating Fault Detection and Fault Correction Processes with Testing Coverage and Fault Amount Dependency. Mathematics. 2022; 10(1):60. https://doi.org/10.3390/math10010060
Chicago/Turabian StyleLi, Qiuying, and Hoang Pham. 2022. "Software Reliability Modeling Incorporating Fault Detection and Fault Correction Processes with Testing Coverage and Fault Amount Dependency" Mathematics 10, no. 1: 60. https://doi.org/10.3390/math10010060
APA StyleLi, Q., & Pham, H. (2022). Software Reliability Modeling Incorporating Fault Detection and Fault Correction Processes with Testing Coverage and Fault Amount Dependency. Mathematics, 10(1), 60. https://doi.org/10.3390/math10010060

