Improved Lebesgue Indicator-Based Evolutionary Algorithm: Reducing Hypervolume Computations
Abstract
:1. Introduction
2. General Background
2.1. Multi-Objective Optimization
- is in conflict with on if ;
- supports on if ;
- and are independent on , otherwise.
2.2. Indicator-Based Evolutionary Algorithms for Multi-Objective Optimization
| Algorithm 1: IBEAs survival selection mechanism. |
![]() |
2.3. Performance Quality Indicators
2.3.1. Hypervolume Performance Indicator
2.3.2. Normalized Hypervolume Indicator
2.3.3. Indicator
3. Previous Related Work
4. Improved Evolutionary Multi-Objective Algorithm Based on the Lebesgue Indicator
4.1. Framework of the Improved Lebesgue Indicator-Based Evolutionary Algorithm
| Algorithm 2: LIBEA-II Framework. |
![]() |
4.2. Mating Selection Mechanism
4.3. Recombination Mechanism
4.4. Survival Selection Mechanism
- If , there are solutions in Q dominated by some solution in . In such a case, we shall remove the solution with the largest value avoiding the Lebesgue measure computation and reducing the computational cost of LIBEA-II;
- If , all solutions in Q are non-dominated, and all of them are equally acceptable in terms of the Pareto dominance relation. In such a case, we shall remove the solution that maximizes the contribution to the Lebesgue measure. In other words, the solution to be removed is the one such that:Therefore, a total of Lebesgue measures are required to identify the worst solution (i.e., the solution that contributes the least to the Lebesgue measure) in the population.
- The offspring solution ;
- The solution such that the objective vector is the closest to the objective vector ;
- A percentage () of solutions which objective vectors are the closest;
- A percentage () of solutions which objective vectors are the farthest to the ideal vector , where the ideal vector is estimated by for all .
| Algorithm 3:. |
![]() |
5. Experimental Study
5.1. IBEAs Considered for Comparison of Performance
5.2. Adopted Test Problems
5.3. Experimental Settings
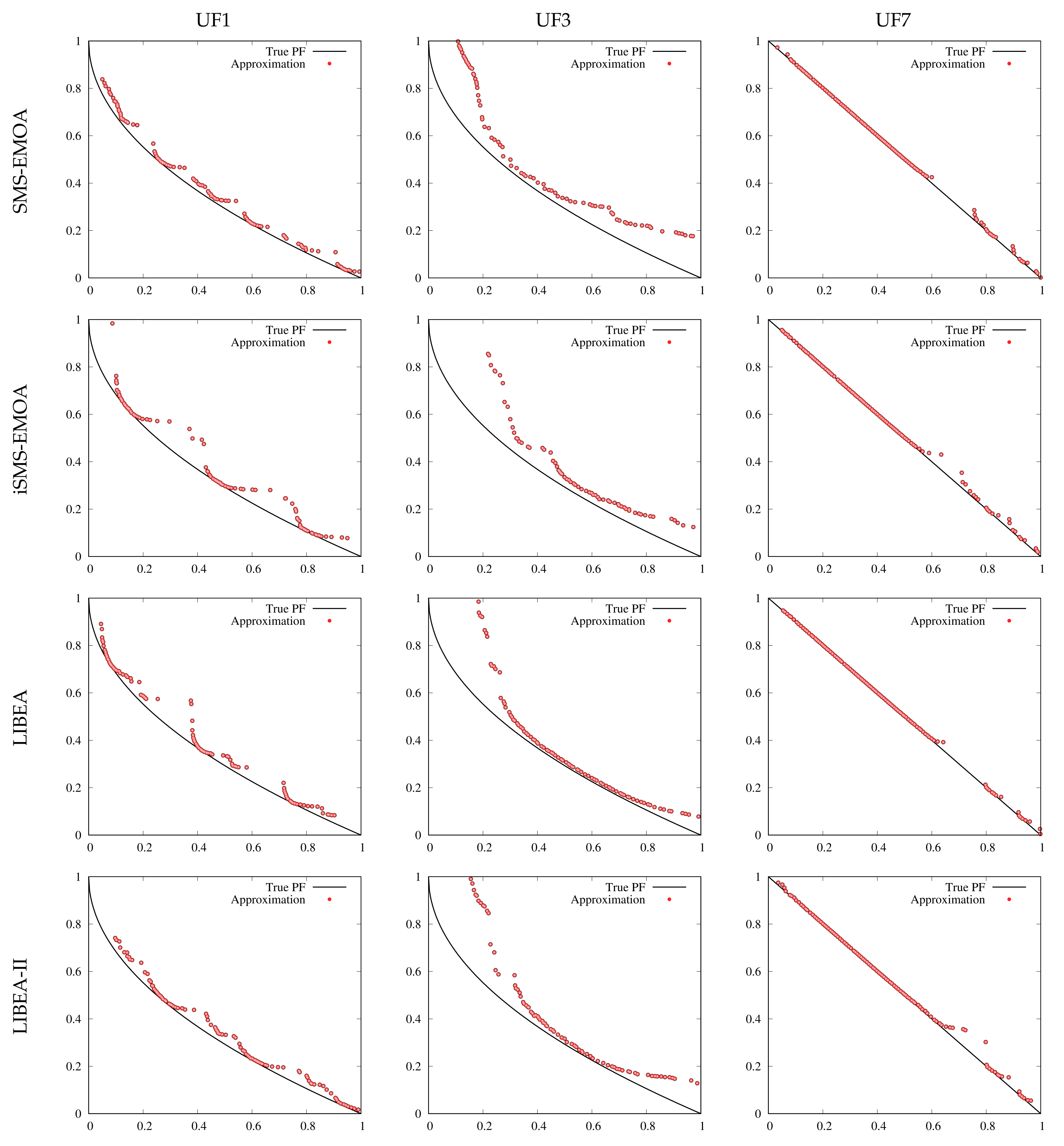
5.4. Analysis of Results on the UF Test Problems
6. Three Real-World Applications from Practice
6.1. Description of the Real-World Applications
6.1.1. RWA1: Liquid-Rocket Single Element Injector Design
6.1.2. RWA2: Ultra-Wideband Antenna Design
6.1.3. RWA3: Development of Oil and Water Repellent Fabric
6.2. Experimental Setup
- The non-dominated solutions obtained by all four IBEAs from the 30 executions were recorded;
- The maximin fitness function [77] was applied to choose 5000 from these non-dominated solutions and they were considered as the reference set for the quality indicator.
6.3. Analysis of Results
6.4. Analysis of the Conflict Relation between Pairs of Objectives
7. Conclusions
Author Contributions
Funding
Institutional Review Board Statement
Informed Consent Statement
Conflicts of Interest
References
- Zhou, A.; Qu, B.Y.; Li, H.; Zhao, S.Z.; Suganthan, P.N.; Zhang, Q. Multiobjective evolutionary algorithms: A survey of the state of the art. Swarm Evol. Comput. 2011, 1, 32–49. [Google Scholar] [CrossRef]
- Nedjah, N.; de Macedo Mourelle, L. Evolutionary multi-objective optimisation: A survey. Int. J. -Bio-Inspired Comput. 2015, 7, 1–25. [Google Scholar] [CrossRef]
- Hansen, M.P.; Jaszkiewicz, A. Evaluating the Quality of Approximations to the Non-Dominated Set; Technical Report IMM-REP-1998-7; Technical University of Denmark: Kongens Lyngby, Denmark, 1998. [Google Scholar]
- Zitzler, E.; Thiele, L. Multiobjective Optimization Using Evolutionary Algorithms—A Comparative Study. In Parallel Problem Solving from Nature V; Eiben, A.E., Ed.; Springer: Amsterdam, The Netherlands, 1998; pp. 292–301. [Google Scholar]
- Zitzler, E.; Thiele, L.; Laumanns, M.; Fonseca, C.M.; da Fonseca, V.G. Performance Assessment of Multiobjective Optimizers: An Analysis and Review. IEEE Trans. Evol. Comput. 2003, 7, 117–132. [Google Scholar] [CrossRef] [Green Version]
- Coello, C.A.C.; Reyes Sierra, M. A Study of the Parallelization of a Coevolutionary Multi-Objective Evolutionary Algorithm. In Proceedings of the Third Mexican International Conference on Artificial Intelligence (MICAI’2004), Mexico City, Mexico, 26–30 April 2004; Monroy, R., Arroyo-Figueroa, G., Sucar, L.E., Sossa, H., Eds.; Lecture Notes in Artificial Intelligence; Springer: Amsterdam, The Netherlands, 2004; Volume 2972, pp. 688–697. [Google Scholar]
- Zitzler, E.; Künzli, S. Indicator-based Selection in Multiobjective Search. In Parallel Problem Solving from Nature—PPSN VIII; Lecture Notes in Computer Science; Springer: Amsterdam, The Netherlands, 2004; Volume 3242, pp. 832–842. [Google Scholar]
- Rodríguez Villalobos, C.A.; Coello, C.A.C. A new multi-objective evolutionary algorithm based on a performance assessment indicator. In Proceedings of the GECCO’2012, Philadelphia, PA, USA, 7–11 July 2012; ACM: New York, NY, USA, 2012; pp. 505–512. [Google Scholar]
- Zapotecas Martínez, S.; Sosa Hernández, V.A.; Aguirre, H.; Tanaka, K.; Coello Coello, C.A. Using a Family of Curves to Approximate the Pareto Front of a Multi-Objective Optimization Problem. In Parallel Problem Solving from Nature—PPSN XIII, Proceedings of the 13th International Conference, Ljubljana, Slovenia, 13–17 September 2014; Bartz-Beielstein, T., Branke, J., Filipič, B., Smith, J., Eds.; Lecture Notes in Computer Science; Springer: Amsterdam, The Netherlands, 2014; Volume 8672, pp. 682–691. [Google Scholar]
- Bringmann, K.; Friedrich, T. Approximating the Least Hypervolume Contributor: NP-Hard in General, But Fast in Practice. In Evolutionary Multi-Criterion Optimization, Proceedings of the 5th International Conference, EMO 2009, Nantes, France, 7–10 April 2009; Ehrgott, M., Fonseca, C.M., Gandibleux, X., Hao, J.K., Sevaux, M., Eds.; Lecture Notes in Computer Science; Springer: Amsterdam, The Netherlands, 2009; Volume 5467, pp. 6–20. [Google Scholar]
- Beume, N.; Naujoks, B.; Emmerich, M. SMS-EMOA: Multiobjective selection based on dominated hypervolume. Eur. J. Oper. Res. 2007, 181, 1653–1669. [Google Scholar] [CrossRef]
- Tsukamoto, N.; Sakane, Y.; Nojima, Y.; Ishibuchi, H. Incorporation of Hypervolume Approximation with Scalarizing Functions into Indicator-based Evolutionary Multiobjective Optimization Algorithms. Trans. Inst. Syst. Control Inf. Eng. 2010, 23, 165–177. [Google Scholar]
- Bader, J.; Deb, K.; Zitzler, E. Faster Hypervolume-Based Search Using Monte Carlo Sampling. In Multiple Criteria Decision Making for Sustainable Energy and Transportation Systems; Ehrgott, M., Naujoks, B., Stewart, T.J., Wallenius, J., Eds.; Lecture Notes in Economics and Mathematical Systems; Springer: Amsterdam, The Netherlands, 2010; Volume 634, pp. 313–326. [Google Scholar]
- Jiang, S.; Zhang, J.; Ong, Y.S.; Zhang, A.N.; Tan, P.S. A Simple and Fast Hypervolume Indicator-Based Multiobjective Evolutionary Algorithm. IEEE Trans. Cybern. 2015, 45, 2202–2213. [Google Scholar] [CrossRef]
- Zapotecas-Martínez, S.; García-Nájera, A.; López-Jaimes, A. LIBEA: A Lebesgue Indicator-Based Evolutionary Algorithm for multi-objective optimization. Swarm Evol. Comput. 2019, 44, 404–419. [Google Scholar] [CrossRef]
- Zhang, Q.; Li, H. MOEA/D: A Multiobjective Evolutionary Algorithm Based on Decomposition. IEEE Trans. Evol. Comput. 2007, 11, 712–731. [Google Scholar] [CrossRef]
- Li, H.; Zhang, Q. Multiobjective Optimization Problems With Complicated Pareto Sets, MOEA/D and NSGA-II. IEEE Trans. Evol. Comput. 2009, 13, 284–302. [Google Scholar] [CrossRef]
- Zhou, A.; Zhang, Q.; Zhang, G. A multiobjective evolutionary algorithm based on decomposition and probability model. In Proceedings of the 2012 IEEE Congress on Evolutionary Computation (CEC’2012), Brisbane, QLD, Australia, 10–15 June 2012; IEEE Press: Brisbane, Australia, 2012; pp. 3151–3158. [Google Scholar]
- Auger, A.; Bader, J.; Brockhoff, D.; Zitzler, E. Theory of the Hypervolume Indicator: Optimal {μ}-Distributions and the Choice Of The Reference Point. In Proceedings of the FOGA ’09: Tenth ACM SIGEVO Workshop on Foundations of Genetic Algorithms, Orlando, FL, USA, 9–11 January 2009; ACM: Orlando, FL, USA, 2009; pp. 87–102. [Google Scholar]
- Chand, S.; Wagner, M. Evolutionary many-objective optimization: A quick-start guide. Surv. Oper. Res. Manag. Sci. 2015, 20, 35–42. [Google Scholar] [CrossRef] [Green Version]
- Miettinen, K. Nonlinear Multiobjective Optimization; Kluwer Academic Publishers: Boston, MA, USA, 1999. [Google Scholar]
- Hillermeier, C. Nonlinear Multiobjective Optimization—A Generalized Homotopy Approach; Birkhaäuser: Basel, Switzerland, 2001. [Google Scholar]
- Carlsson, C.; Fullér, R. Multiple criteria decision making: The case for interdependence. Comput. Oper. Res. 1995, 22, 251–260. [Google Scholar] [CrossRef]
- Okabe, T.; Jin, Y.; Sendhoff, B. A Critical Survey of Performance Indices for Multi-Objective Optimization. In Proceedings of the 2003 Congress on Evolutionary Computation (CEC’2003), Canberra, Australia, 8–12 December 2003; IEEE Press: Canberra, Australia, 2003; Volume 2, pp. 878–885. [Google Scholar]
- Jiang, S.; Ong, Y.S.; Zhang, J.; Feng, L. Consistencies and Contradictions of Performance Metrics in Multiobjective Optimization. IEEE Trans. Cybern. 2014, 44, 2391–2404. [Google Scholar] [CrossRef]
- Li, M.; Yao, X. Quality Evaluation of Solution Sets in Multiobjective Optimisation: A Survey. ACM Comput. Surv. 2019, 52, 1–38. [Google Scholar] [CrossRef]
- Falcón-Cardona, J.G.; Coello, C.A.C. Indicator-Based Multi-Objective Evolutionary Algorithms: A Comprehensive Survey. ACM Comput. Surv. 2020, 53, 1–35. [Google Scholar] [CrossRef] [Green Version]
- Knowles, J.; Corne, D.; Fleischer, M. Bounded archiving using the lebesgue measure. In Proceedings of the 2003 Congress on Evolutionary Computation, 2003 CEC ’03, Canberra, ACT, Australia, 8–12 December 2003; Volume 4, pp. 2490–2497. [Google Scholar] [CrossRef]
- While, L.; Bradstreet, L. Applying the WFG algorithm to calculate incremental hypervolumes. In Proceedings of the 2012 IEEE Congress on Evolutionary Computation, Brisbane, QLD, Australia, 10–15 June 2012; pp. 1–8. [Google Scholar] [CrossRef]
- Emmerich, M.T.; Fonseca, C.M. Computing hypervolume contributions in low dimensions: Asymptotically optimal algorithm and complexity results. In International Conference on Evolutionary Multi-criterion Optimization; Springer: Berlin/Heidelberg, Germany, 2011; pp. 121–135. [Google Scholar]
- Guerreiro, A.P.; Fonseca, C.M. Computing and updating hypervolume contributions in up to four dimensions. IEEE Trans. Evol. Comput. 2017, 22, 449–463. [Google Scholar] [CrossRef]
- Russo, L.M.; Francisco, A.P. Extending quick hypervolume. J. Heuristics 2016, 22, 245–271. [Google Scholar] [CrossRef]
- Guerreiro, A.P.; Fonseca, C.M.; Paquete, L. The Hypervolume Indicator: Computational Problems and Algorithms. ACM Comput. Surv. 2021, 54, 119. [Google Scholar] [CrossRef]
- Beume, N.; Fonseca, C.M.; Lopez-Ibanez, M.; Paquete, L.; Vahrenhold, J. On the complexity of computing the hypervolume indicator. IEEE Trans. Evol. Comput. 2009, 13, 1075–1082. [Google Scholar] [CrossRef] [Green Version]
- Guerreiro, A.P.; Fonseca, C.M.; Emmerich, M.T. A Fast Dimension-Sweep Algorithm for the Hypervolume Indicator in Four Dimensions. In Proceedings of the Canadian Conference on Computational Geometry, Charlottetown, PEI, Canada, 8–10 August 2012; pp. 77–82. [Google Scholar]
- Knowles, J.D. Local-Search and Hybrid Evolutionary Algorithms for Pareto Optimization. Ph.D. Thesis, University of Reading, Reading, UK, 2002. [Google Scholar]
- Fleischer, M. The measure of Pareto optima applications to multi-objective metaheuristics. In International Conference on Evolutionary Multi-Criterion Optimization; Springer: Berlin/Heidelberg, Germany, 2003; pp. 519–533. [Google Scholar]
- Fonseca, C.M.; Paquete, L.; López-Ibánez, M. An improved dimension-sweep algorithm for the hypervolume indicator. In Proceedings of the 2006 IEEE International Conference on Evolutionary Computation, Vancouver, BC, Canada, 16–21 July 2006; pp. 1157–1163. [Google Scholar]
- Beume, N. S-metric calculation by considering dominated hypervolume as Klee’s measure problem. Evol. Comput. 2009, 17, 477–492. [Google Scholar] [CrossRef]
- While, L.; Bradstreet, L.; Barone, L. A fast way of calculating exact hypervolumes. IEEE Trans. Evol. Comput. 2011, 16, 86–95. [Google Scholar] [CrossRef]
- Russo, L.M.; Francisco, A.P. Quick hypervolume. IEEE Trans. Evol. Comput. 2013, 18, 481–502. [Google Scholar] [CrossRef]
- Ishibuchi, H.; Masuda, H.; Tanigaki, Y.; Nojima, Y. Modified Distance Calculation in Generational Distance and Inverted Generational Distance. In Evolutionary Multi-Criterion Optimization, Proceedings of the 8th International Conference, EMO 2015, Guimarães, Portugal, 29 March–1 April 2015; Gaspar-Cunha, A., Antunes, C.H., Coello Coello, C., Eds.; Lecture Notes in Computer Science; Springer: Amsterdam, The Netherlands, 2015; Volume 9019, pp. 110–125. [Google Scholar]
- Shang, K.; Ishibuchi, H.; He, L.; Pang, L.M. A Survey on the Hypervolume Indicator in Evolutionary Multiobjective Optimization. IEEE Trans. Evol. Comput. 2021, 25, 1–20. [Google Scholar] [CrossRef]
- Zitzler, E.; Brockhoff, D.; Thiele, L. The Hypervolume Indicator Revisited: On the Design of Pareto-compliant Indicators Via Weighted Integration. In Evolutionary Multi-Criterion Optimization; Obayashi, S., Deb, K., Poloni, C., Hiroyasu, T., Murata, T., Eds.; Springer: Berlin/Heidelberg, Germany, 2007; pp. 862–876. [Google Scholar]
- Igel, C.; Hansen, N.; Roth, S. Covariance Matrix Adaptation for Multi-objective Optimization. Evol. Comput. 2007, 15, 1–28. [Google Scholar] [CrossRef]
- Mostaghim, S.; Branke, J.; Schmeck, H. Multi-Objective Particle Swarm Optimization on Computer Grids. In Proceedings of the 9th Annual Conference on Genetic and Evolutionary Computation, London, UK, 7–11 July 2007; Association for Computing Machinery: New York, NY, USA, 2007; pp. 869–875. [Google Scholar] [CrossRef] [Green Version]
- Bader, J.; Zitzler, E. HypE: An Algorithm for Fast Hypervolume-Based Many-Objective Optimization. Evol. Comput. 2011, 19, 45–76. [Google Scholar] [CrossRef]
- Shang, K.; Ishibuchi, H. A New Hypervolume-Based Evolutionary Algorithm for Many-Objective Optimization. IEEE Trans. Evol. Comput. 2020, 24, 839–852. [Google Scholar] [CrossRef]
- Shang, K.; Ishibuchi, H.; Ni, X. R2-Based Hypervolume Contribution Approximation. IEEE Trans. Evol. Comput. 2020, 24, 185–192. [Google Scholar] [CrossRef] [Green Version]
- Menchaca-Mendéz, A.; Coello, C.A.C. A new selection mechanism based on hypervolume and its locality property. In Proceedings of the 2013 IEEE Congress on Evolutionary Computation, Cancún, México, 20–23 June 2013; pp. 924–931. [Google Scholar] [CrossRef]
- Menchaca-Mendez, A.; Coello Coello, C.A. An alternative hypervolume-based selection mechanism for multi-objective evolutionary algorithms. Soft Comput. 2017, 21, 861–884. [Google Scholar] [CrossRef]
- Bringmann, K.; Friedrich, T. Approximating the least hypervolume contributor: NP-hard in general, but fast in practice. Theor. Comput. Sci. 2012, 425, 104–116. [Google Scholar] [CrossRef] [Green Version]
- Menchaca-Méndez, A.; Montero, E.; Zapotecas-Martínez, S. An Improved S-Metric Selection Evolutionary Multi-Objective Algorithm With Adaptive Resource Allocation. IEEE Access 2018, 6, 63382–63401. [Google Scholar] [CrossRef]
- Rostami, S.; Neri, F. Covariance matrix adaptation pareto archived evolution strategy with hypervolume-sorted adaptive grid algorithm. Integr. Comput.-Aided Eng. 2016, 23, 313–329. [Google Scholar] [CrossRef] [Green Version]
- Zhang, Q.; Zhou, A.; Jin, Y. RM-MEDA: A Regularity Model-Based Multiobjective Estimation of Distribution Algorithm. IEEE Trans. Evol. Comput. 2008, 12, 41–63. [Google Scholar] [CrossRef] [Green Version]
- Schütze, O.; Coello Coello, C.A.; Mostaghim, S.; Talbi, E.G.; Dellnitz, M. Hybridizing evolutionary strategies with continuation methods for solving multi-objective problems. Eng. Optim. 2008, 40, 383–402. [Google Scholar] [CrossRef]
- Chambers, J.M. Algorithm 410: Partial Sorting. Commun. ACM 1971, 14, 357–358. [Google Scholar] [CrossRef]
- Kennedy, J.; Eberhart, R.C. Particle swarm optimization. In Proceedings of the IEEE International Conference on Neural Networks, Perth, WA, Australia, 27 November–1 December 1995; pp. 1942–1948. [Google Scholar]
- Storn, R.M.; Price, K.V. Differential Evolution—A Simple and Efficient Adaptive Scheme for Global Optimization over Continuous Spaces; Technical Report TR-95-012; International Computer Science Institute: Berkeley, CA, USA, 1995. [Google Scholar]
- Goldberg, D.E. Genetic Algorithms in Search, Optimization and Machine Learning; Addison-Wesley Publishing Company: Reading, MA, USA, 1989. [Google Scholar]
- Knowles, J.; Corne, D. Properties of an Adaptive Archiving Algorithm for Storing Nondominated Vectors. IEEE Trans. Evol. Comput. 2003, 7, 100–116. [Google Scholar] [CrossRef]
- Huband, S.; Hingston, P.; White, L.; Barone, L. An Evolution Strategy with Probabilistic Mutation for Multi-Objective Optimisation. In Proceedings of the 2003 Congress on Evolutionary Computation (CEC’2003), Canberra, Australia, 8–12 December 2003; IEEE Press: Canberra, Australia, 2003; Volume 3, pp. 2284–2291. [Google Scholar]
- Ishibuchi, H.; Imada, R.; Setoguchi, Y.; Nojima, Y. Reference Point Specification in Hypervolume Calculation for Fair Comparison and Efficient Search. In Proceedings of the Genetic and Evolutionary Computation Conference, Berlin, Germany, 15–19 July 2017; Association for Computing Machinery: New York, NY, USA, 2017; pp. 585–592. [Google Scholar] [CrossRef]
- Zhang, Q.; Zhou, A.; Zhao, S.; Suganthan, P.N.; Liu, W.; Tiwari, S. Multiobjective Optimization Test Instances for the CEC 2009 Special Session and Competition. In Special Session on Performance Assessment of Multi-Objective Optimization Algorithms; Technical Report CES-487; University of Essex: Colchester, UK; Nanyang Technological University: Singapore, 2008; Volume 264. [Google Scholar]
- Deb, K.; Pratap, A.; Agarwal, S.; Meyarivan, T. A Fast and Elitist Multiobjective Genetic Algorithm: NSGA–II. IEEE Trans. Evol. Comput. 2002, 6, 182–197. [Google Scholar] [CrossRef] [Green Version]
- Zitzler, E.; Deb, K.; Thiele, L. Comparison of Multiobjective Evolutionary Algorithms: Empirical Results. Evol. Comput. 2000, 8, 173–195. [Google Scholar] [CrossRef] [Green Version]
- Deb, K.; Thiele, L.; Laumanns, M.; Zitzler, E. Scalable Multi-Objective Optimization Test Problems. In Proceedings of the Congress on Evolutionary Computation (CEC’2002), Honolulu, HI, USA, 12–17 May 2002; IEEE Service Center: Piscataway, NJ, USA, 2002; Volume 1, pp. 825–830. [Google Scholar]
- Wilcoxon, F. Individual Comparisons by Ranking Methods. Biom. Bull. 1945, 1, 80–83. [Google Scholar] [CrossRef]
- Bonferroni, C.E. Teoria statistica delle classi e calcolo delle probabilita. Pubbl. R Ist. Super. Sci. Econ. Commer. Firenze 1936, 8, 3–62. [Google Scholar]
- Goel, T.; Vaidyanathan, R.; Haftka, R.T.; Shyy, W.; Queipo, N.V.; Tucker, K. Response surface approximation of Pareto optimal front in multi-objective optimization. Comput. Methods Appl. Mech. Eng. 2007, 196, 879–893. [Google Scholar] [CrossRef]
- Vaidyanathan, R.; Tucker, P.K.; Papila, N.; Shyy, W. Computational-fluid-dynamics-based design optimization for single-element rocket injector. J. Propuls. Power 2004, 20, 705–717. [Google Scholar] [CrossRef]
- Chen, Y.S. Performance enhancement of multiband antennas through a two-stage optimization technique. Int. J. Microw.-Comput.-Aided Eng. 2017, 27, e21064. [Google Scholar] [CrossRef]
- Chen, Y.S. Multiobjective optimization of complex antenna structures using response surface models. Int. J. Microw. Comput.-Aided Eng. 2016, 26, 62–71. [Google Scholar] [CrossRef]
- Genzer, J.; Marmur, A. Biological and synthetic self-cleaning surfaces. MRS Bull. 2008, 33, 742–746. [Google Scholar] [CrossRef] [Green Version]
- Sun, T.; Feng, L.; Gao, X.; Jiang, L. Bioinspired surfaces with special wettability. Accounts Chem. Res. 2005, 38, 644–652. [Google Scholar] [CrossRef] [PubMed]
- Ahmad, N.; Kamal, S.; Raza, Z.A.; Hussain, T. Multi-objective optimization in the development of oil and water repellent cellulose fabric based on response surface methodology and the desirability function. Mater. Res. Express 2017, 4, 035302. [Google Scholar] [CrossRef]
- Balling, R. The maximin fitness function for multiobjective evolutionary optimization. In Optimization in Industry; Springer: Berlin/Heidelberg, Germany, 2002; pp. 135–147. [Google Scholar]
- Tušar, T.; Filipič, B. Visualization of Pareto Front Approximations in Evolutionary Multiobjective Optimization: A Critical Review and the Prosection Method. IEEE Trans. Evol. Comput. 2015, 19, 225–245. [Google Scholar] [CrossRef]
- Pearson, K. Notes on regression and inheritance in the case of two parents. Proc. R. Soc. Lond. 1895, 58, 240–242. [Google Scholar]






| Algorithm | Dimension | Computational Complexity |
|---|---|---|
| HSO [36] | ||
| LebMeasure [37] | ||
| FPL [38] | ||
| HOY [39] | ||
| WFG [40] | ||
| QHV [41] |
| Parameter | SMS-EMOA | iSMS-EMOA | LIBEA | LIBEA-II |
|---|---|---|---|---|
| N | 100 | 100 | 100 | 100 |
| 2000 | 2000 | 2000 | 2000 | |
| F | 0.5 | 0.5 | 0.5 | 0.5 |
| 1 | 1 | 1 | 1 | |
| 20 | 20 | 20 | 20 | |
| T | — | — | 20 | 20 |
| — | — | 0.9 | 0.9 | |
| — | — | — | 0.1 | |
| — | — | — | 0.1 |
| MOP | SMS-EMOA | iSMS-EMOA | LIBEA | LIBEA-II |
|---|---|---|---|---|
| UF1 | 0.6674 ± 0.010 | 0.6654 ± 0.010 | 0.6654 ± 0.009 | 0.6669 ± 0.008 |
| UF2 | 0.7048 ± 0.001 | 0.7039 ± 0.002 | 0.7051 ± 0.001 | 0.7054 ± 0.002 |
| UF3 | 0.6057 ± 0.028 | 0.6050 ± 0.029 | 0.6117 ± 0.023 | 0.6108 ± 0.025 |
| UF4 | 0.2779 ± 0.007 | 0.2792 ± 0.006 | 0.2781 ± 0.006 | 0.2761 ± 0.006 |
| UF5 | 0.0087 ± 0.015 | 0.0143 ± 0.034 | 0.0154 ± 0.024 | 0.0175 ± 0.021 |
| UF6 | 0.3137 ± 0.054 | 0.3001 ± 0.047 | 0.3329 ± 0.037 | 0.3319 ± 0.043 |
| UF7 | 0.5595 ± 0.004 | 0.5511 ± 0.039 | 0.5608 ± 0.004 | 0.5489 ± 0.039 |
| UF8 | 0.3539 ± 0.041 | 0.3563 ± 0.038 | 0.3641 ± 0.054 | 0.3667 ± 0.052 |
| UF9 | 0.7582 ± 0.012 | 0.7464 ± 0.011 | 0.7550 ± 0.015 | 0.7366 ± 0.025 |
| UF10 | 0.0000 ± 0.000 | 0.0000 ± 0.000 | 0.0000 ± 0.000 | 0.0000 ± 0.000 |
| MOP | SMS-EMOA | iSMS-EMOA | LIBEA | LIBEA-II |
|---|---|---|---|---|
| UF1 | 0.0341 ± 0.006 | 0.0354 ± 0.005 | 0.0350 ± 0.005 | 0.0340 ± 0.005 |
| UF2 | 0.0142 ± 0.001 | 0.0148 ± 0.001 | 0.0141 ± 0.001 | 0.0140 ± 0.001 |
| UF3 | 0.0709 ± 0.025 | 0.0696 ± 0.021 | 0.0666 ± 0.018 | 0.0665 ± 0.019 |
| UF4 | 0.1232 ± 0.006 | 0.1223 ± 0.005 | 0.1230 ± 0.005 | 0.1252 ± 0.005 |
| UF5 | 0.7429 ± 0.101 | 0.7470 ± 0.133 | 0.7232 ± 0.109 | 0.7106 ± 0.098 |
| UF6 | 0.2163 ± 0.048 | 0.2221 ± 0.061 | 0.2005 ± 0.036 | 0.2028 ± 0.045 |
| UF7 | 0.0149 ± 0.002 | 0.0229 ± 0.035 | 0.0142 ± 0.002 | 0.0241 ± 0.036 |
| UF8 | 0.1542 ± 0.029 | 0.1528 ± 0.027 | 0.1468 ± 0.038 | 0.1454 ± 0.037 |
| UF9 | 0.0518 ± 0.007 | 0.0563 ± 0.008 | 0.0517 ± 0.007 | 0.0642 ± 0.017 |
| UF10 | 1.3045 ± 0.222 | 1.2999 ± 0.227 | 1.2335 ± 0.203 | 1.3563 ± 0.207 |
| MOP | SMS-EMOA | iSMS-EMOA | LIBEA | LIBEA-II |
|---|---|---|---|---|
| RWA1 | 0.5495 ± 0.001 | 0.5550 ± 0.001 | 0.5487 ± 0.001 | 0.5557 ± 0.001 |
| RWA2 | 0.6883 ± 0.005 | 0.6947 ± 0.007 | 0.6906 ± 0.005 | 0.6969 ± 0.005 |
| RWA3 | 0.1982 ± 0.007 | 0.1951 ± 0.012 | 0.1963 ± 0.009 | 0.2052 ± 0.007 |
| MOP | SMS-EMOA | iSMS-EMOA | LIBEA | LIBEA-II |
|---|---|---|---|---|
| RWA1 | 0.0157 ± 0.001 | 0.0126 ± 0.000 | 0.0160 ± 0.001 | 0.0126 ± 0.000 |
| RWA2 | 4318.4205 ± 952.777 | 4163.9243 ± 1770.699 | 3939.6710 ± 539.990 | 3829.6227 ± 1063.089 |
| RWA3 | 3.3550 ± 0.871 | 3.9980 ± 1.691 | 3.5676 ± 1.213 | 3.0701 ± 0.797 |
Publisher’s Note: MDPI stays neutral with regard to jurisdictional claims in published maps and institutional affiliations. |
© 2021 by the authors. Licensee MDPI, Basel, Switzerland. This article is an open access article distributed under the terms and conditions of the Creative Commons Attribution (CC BY) license (https://creativecommons.org/licenses/by/4.0/).
Share and Cite
Zapotecas-Martínez, S.; García-Nájera, A.; Menchaca-Méndez, A. Improved Lebesgue Indicator-Based Evolutionary Algorithm: Reducing Hypervolume Computations. Mathematics 2022, 10, 19. https://doi.org/10.3390/math10010019
Zapotecas-Martínez S, García-Nájera A, Menchaca-Méndez A. Improved Lebesgue Indicator-Based Evolutionary Algorithm: Reducing Hypervolume Computations. Mathematics. 2022; 10(1):19. https://doi.org/10.3390/math10010019
Chicago/Turabian StyleZapotecas-Martínez, Saúl, Abel García-Nájera, and Adriana Menchaca-Méndez. 2022. "Improved Lebesgue Indicator-Based Evolutionary Algorithm: Reducing Hypervolume Computations" Mathematics 10, no. 1: 19. https://doi.org/10.3390/math10010019
APA StyleZapotecas-Martínez, S., García-Nájera, A., & Menchaca-Méndez, A. (2022). Improved Lebesgue Indicator-Based Evolutionary Algorithm: Reducing Hypervolume Computations. Mathematics, 10(1), 19. https://doi.org/10.3390/math10010019



