Abstract
Implicit theories can influence learning behavior, the approaches individuals take to learning and performance situations, and the learning goals individuals set, as well as, indirectly, their accomplishments, intelligence, and creativity. For this cross-cultural study, Kenyan and German students were asked to draw a creative person and rate it on a number of attributes. The data indicated considerable differences among the implicit theories according to students’ gender and nationality. Kenyan girls, in particular, frequently ascribed a gender to their prototypical creative person that differed from their own, whereas the gender of the prototypical creative people drawn by German students was more equally spread. The data offer evidence that implicit theories of a creative person are multifaceted. Kenyan students value diligence as an important attribute of a creative person. In addition, social variables were seen as important, followed by talents in languages and mathematics. By contrast, German students valued imagination and talent in artistic areas, followed by diligence and social components. Their lowest rated attributes for creativity were talents in the domains of languages, mathematics and technical areas. Future studies should further examine the influence of implicit theories on the learning behavior of gifted students.
1. Introduction
In recent years, there has been increasing research interest in the field of implicit theories of creativity. Implicit theories [1], in contrast to scientific theories, are the ideas held by non-expert people. A classic way to measure folk conceptions of creative people is by asking laypeople to identify the characteristics of highly creative individuals or to select from attribute checklists. Runco states that implicit theories “allow us to judge creative behavior even if we cannot define creativity” [2] (p. 28), and thereby contribute to the development of explicit theories along with supporting research and practice related to creativity.
Implicit theories of creativity are relevant in education. Numerous studies have been conducted with college students as well as adults from the general population exploring key features of creative people [3]. The basic findings from such studies have mainly connected with the cognitive skills, personality characteristics or motivational attributes of the highly creative person. In an early study of creativity, MacKinnon [4] asked participants to select the most appropriate adjectives to describe the attributes of a creative person. He found that the participants viewed a creative person as imaginative, determined, independent, individualistic, enthusiastic, hardworking, artistic, and advanced. The adjectives considered least appropriate for a creative person were responsible, reliable, modest, stable, and kind. As part of another study by Sternberg [5], college students were asked to group behaviors they would expect to find clustered together within any person. The attributes of a creative person derived from this approach were ‘impulsive’ and ‘emotional’ but also ‘effective’ and ‘productive’. In addition, the creative person was seen to possess a good imagination, have good aesthetic taste and be talented in artistic areas. Similarly, Runco and Bahleda’s [6] study focused on implicit theories of creativity in different fields and found that the assigned characteristics differed according to type of creativity. For example, ‘expressive’ and ‘imaginative’ were the top responses for artistic creativity, ‘intelligent’ and ‘curious’ featured highly for scientific creativity, and ‘active’ was assigned to everyday creativity.
Kaufman and Baer [7] asked students to estimate their creativity in general as well as within different domains (science, managing interpersonal relationships, writing, art, interpersonal communication, solving one’s own personal problems, mathematics, crafts, and bodily/physical movement). Students answered consistently, that is, if they considered themselves to be generally creative they also thought that they were creative in the specific domains. The only domain not related to general creativity was mathematics, which suggests that mathematics might not be part of individuals’ images of creativity. Although implicit theories have been widely examined in the education field, little research has been conducted with young adolescents. Plucker [8] provides evidence that young people’s implicit theories are merely simplified versions of adults’ implicit theories. In other words, an adult’s implicit theory develops from the adolescent’s theory. Given that the early adolescent years are a critical point in development, especially for the formation of conceptual thinking, young adolescents’ concepts of a creative person are of particular interest.
1.1. Cultural Differences in Implicit Theories of the Creative Person
Culture clearly influences the expression of creativity, both positively and negatively. Where creative behaviors do not fit cultural norms, for example, barriers to creativity may arise; these may include “social influence, expectations, and conformity pressures” [9] (p. 103). The cultural environment exerts a significant influence on the concepts individuals develop, and thereby reflect their implicit theories [10]. Thus, in one culture, creativity may be viewed as the imagination of a child or the work of a successful artist, but in another culture as the innovations of scientists. Despite such cultural differences, there are cross-cultural similarities, which may suggest some universal components of creativity. Lubart [3], for example, described three key similarities, which may be regarded as the implicit theories of experts regarding creativity. According to Lubart [3], this universal concept of creativity encapsulates one’s capacity to produce work, that (1) is novel or original; (2) is valued; and (3) is societally useful.
Earlier studies focused on conceptions of creativity across and within cultures, particularly within the United States and East Asia [11,12]. However, the studies often relied on comparisons between studies rather than a direct comparison across different cultures within a study. More recent studies, however, have included individuals from different cultures within the research design [9,10,11].
There is very little research on African implicit theories of creativity [13]. Many African countries are in transition from a traditional base to a modern, post-industrial base. Such change highlights the different roles, and thus requirements, of creativity in the varied contexts of a rural environment or an urban and more industrialized environment. Mpofu, Myambo, Mogaji, Mashego, and Khaleefa [14] observed that conceptions of creativity in sub-Saharan Africa exhibit a blend of traditional indigenous beliefs and Western beliefs. Furthermore, they indicated that African concepts of creativity tend to be collectivist rather than individually-based, reinforcing the perspectives espoused by others [15,16]. Oyowe [17] argued that African creativity and entrepreneurship flourished (and continues to do so) in traditional sectors as opposed to those sectors where foreign influence has been felt. In work focused on developing African countries, Akarakiri [18] argued that creativity was essential and entailed the production of creative and competitive new products.
A number of studies that touch on African creativity have been undertaken in the field of anthropology. Shostak [19], for example, lived for several years with the tribal group, the ! Kung San, in southwest Africa. Her work suggests that the concept of creativity is associated with certain activities (e.g., bead weaving, storytelling, and music performance) rather than the trait of an individual.
The most extensive study of African conceptions of creativity to date has been the survey completed by Mpofu et al. [14]. They surveyed 211 people from several cultural groups across Africa regarding their personal definitions and experiences (i.e., their implicit theories) of creativity. Despite the difficulty of translating the various African words into English, and determining that there seems to be no word in any language that readily translates as ‘creativity’, the following attributes were mentioned: imaginative, intelligent, reasonable, motivated, talented and artistic. Ngara [13], however, draws attention to the Swahili and Bantu words ‘ukumba’ and ‘uumbi’, respectively, which derive from a word meaning ‘to create’.
1.2. Gender, Age and Domain Stereotypes in Implicit Theories of Creativity
Schneider [20] argues that there is much evidence that stereotypes align with people’s implicit theories. In relation to implicit theory of creative individuals in particular, the alignment of laypeople’s implicit theories with gender, age and domain general/specific stereotypes has been widely reported in the research.
For example, men are generally perceived as being more creative than women [21]. One reason for this finding is that the traits related to creativity are more closely associated with stereotypically male traits, such as independence, courage and competitiveness. These beliefs can lead people to more frequently imagine a creative person as a male rather than as a female. In addition, people’s own gender also needs to be considered because of potential in-group bias whereby individuals favor their own gender when thinking of the gender of a creative person.
Similarly, age stereotyping may be linked to personal characteristics, leading people to make an inference of the likely age of a creative person. For instance, people may infer that younger people are more creative because they have better fluid cognitive abilities, working memories, openness, enthusiasm and so on. Alternatively, people may infer that older people are more creative because of their crystallized abilities, conscientiousness, experience, or strategies using abilities, which increase with age [22]. Given both views are logical, more empirical studies need to be conducted to determine laypeople’s implicit theory with regard to age.
Finally, as stated by Kaufman and Baer [7], people differ in their creativity profiles, as creativity can be expressed in a range of domains. Some domains such as mathematics, however, may not be readily considered as an area in which to be creative. Conversely, some domains such as art and literature seem to be equated with creativity. For this reason, laypeople’s implicit theory of a creative person is more likely reflective of one who is talented in arts rather than mathematically talented.
In summary, there is some evidence that laypeople’s implicit theory is closely related to their stereotypes for gender, age and domain. However, the previously mentioned features have not yet been spelled out carefully in the research domain of the implicit theory of creativity; rather, most attention has been paid to implicit theories of the creative person’s personality traits. In line with the reviewed research, we expect cultural differences between Germany and Kenya as well as differences in the stereotypes regarding gender, age and domains in adolescents’ implicit theories of creativity.
2. Materials and Methods
The data reported in this paper are individual questionnaire data, collected in a paper-and-pencil study. The data are part of a larger study in which students’ prototypical views of intelligent and creative individuals were collected (see [23]). Therefore, students completed two questionnaires but were randomly assigned to the sequence in which they answered the questionnaire on intelligence or creativity, respectively. This paper reports only on the students’ prototypical views of creative individuals.
Data for 400 Grade 7 students from two countries (193 students from Kenya and 207 students from Germany) are reported. Due to the different schooling systems in the two countries, Kenyan seventh graders are classified as primary school students (primary schooling in Kenya encompasses eight grades) and German seventh graders are classified as secondary school students (primary school in the different German federal states encompasses four to six years). The mean age of the students was 13.5 years (SD = 1.1), and 48.4% of the students were female. Table 1 illustrates the characteristics of the sample separately for Kenya and Germany. The Kenyan students were significantly (p < 0.001) older than the German students.
Table 1.
Sample of the study.
A questionnaire was implemented to assess students’ perceptions of creative individuals. All oral instructions and written items in the questionnaire were provided in the native language of the participating students.
First, students were given five minutes to draw a picture of a creative person. The drawn picture served as a prompt for the participants to describe a creative person in more detail according to two criteria: gender (male/female) and age (in years) of the drawn person. In addition, students were asked to answer eight items on a six-point Likert scale (1 = not at all true; 6 = very true) with respect to their drawing, which were constructed according to the stereotypes regarding domains and personal characteristics. In particular, talent in several school subject areas (mathematics, artistic areas, languages, and technical skills), social aspects (popularity, sociability), as well as willingness to work hard and the imagination of the drawn creative person had to be rated by the students. The items were:
The creative person in my picture …
- … is mathematically talented.
- … is well liked by others.
- … is talented in artistic areas.
- … likes to be around other people.
- … is talented in languages.
- … is imaginative.
- … has good technical skills.
- … is hardworking.
3. Results
3.1. Descriptive Statistics
The mean age of the drawn creative person was 24.2 years (SD = 13.1). Students on average thus estimated the creative person as being 10.7 years older (SD = 13.2) than they were themselves. Only 19.0% of the students drew a creative person who was younger than themselves.
The majority of students (62.0%) drew a male person. As the perceived gender of a creative person was more frequently male, we investigated whether this result was influenced by the gender of the study participants, that is, those students making the drawings. The perceived gender of a creative person more frequently corresponded to the gender of the person who made the drawing. A Mann–Whitney U Test with gender as the independent variable and the gender of the drawn person as the dependent variable showed that the attributed gender of the drawn creative person depended on the drawer’s gender (U = 14,407, z = −5.74, p < 0.001). However, a comparison of the total number of drawings of male versus female creative persons was different for each of the two countries (U = 179,007, z = −2.13, p < 0.05).
The relevance of several attributes of a creative person is displayed in Table 2, ordered by rated importance. Students perceived a creative person as being imaginative, hardworking, talented in artistic domains, social, and popular. Lower rated characteristics were talent in languages, mathematics and technical areas.
Table 2.
Characteristics of a creative person, ordered by importance (scale: 1–6).
The analysis of attributes of a creative person, such as talents in several domains or sociability, might be influenced by the order in which pupils answered the questionnaires on intelligence and creativity (see above). To test whether this was the case, a multivariate analysis of variance with the order of the questionnaires as the independent variable was run. Due to the significant multivariate effect of the order of the questionnaires (F(8, 391) = 8.37, p < 0.001, ηp² = 0.146) it was entered as a covariate in the subsequent analyses.
3.2. Differences Due to Culture, Gender, and Their Interaction
Multivariate analyses of variance with nationality, gender, and perceived gender as independent variables, and age of the students and order of the questionnaires as covariates were conducted to investigate cultural and gender differences in the perceived characteristics of a creative person (see Table 3).
Table 3.
Multivariate results of the factors gender, perceived gender, nationality, and their two- and three-way interaction terms.
A significant and large multivariate effect for nationality emerged. In addition, moderate and significant effects resulted for the interaction of gender and perceived gender, for the interaction of gender and nationality, and for the three-way interaction of gender, perceived gender, and nationality.
3.3. Cultural Differences
The average age ascribed to the images by the students was not significantly different between Kenya and Germany (F(1, 397) = 0.40, p = 0.526, ηp² = 0.001). Analyzing gender differences for the two countries separately revealed significant differences only for Germany (U = 2608.5, z = −7.33, p < 0.001). Figure 1 shows that Kenyan students drew more male creative individuals, irrespective of their own gender; by comparison, German male students predominantly drew male creative individuals and German female students predominantly drew female creative individuals.
Figure 1.
Perceived gender of a creative person, separated according to participants’ gender and nationality. Displayed are percentage numbers.
Cultural differences could be shown for all investigated attributes. The effects are significant and of moderate to high strength (see Table 4).
Table 4.
Univariate effects for country.
Figure 2 displays the pattern of attributes, which the Kenyan and German participants ascribed to their depictions of creative individuals. For the Kenyan students, all the listed attributes seemed to be relevant for a creative person as all the attributes are rated above four and the largest difference among the attributes is one rating point on the Likert scale. By contrast, the German students differentiated among the attributes to a greater degree (there are differences of more than two rating points among the listed attributes, assessed by the 6-point Likert scale) with more emphasis on talent in artistic areas and imagination. These are the only attributes that German students rated more highly than the Kenyan students. The German students placed the least emphasis on talent in mathematics, languages and technical areas.
Figure 2.
Prototypical attributes ascribed to a creative person, separated by nationality. All intercountry differences are significant at the p < 0.001 level, except technically talented (p < 0.05) and diligence (p < 0.01).
3.4. Interaction Effects of Gender of the Participants and Gender of the Creative Person
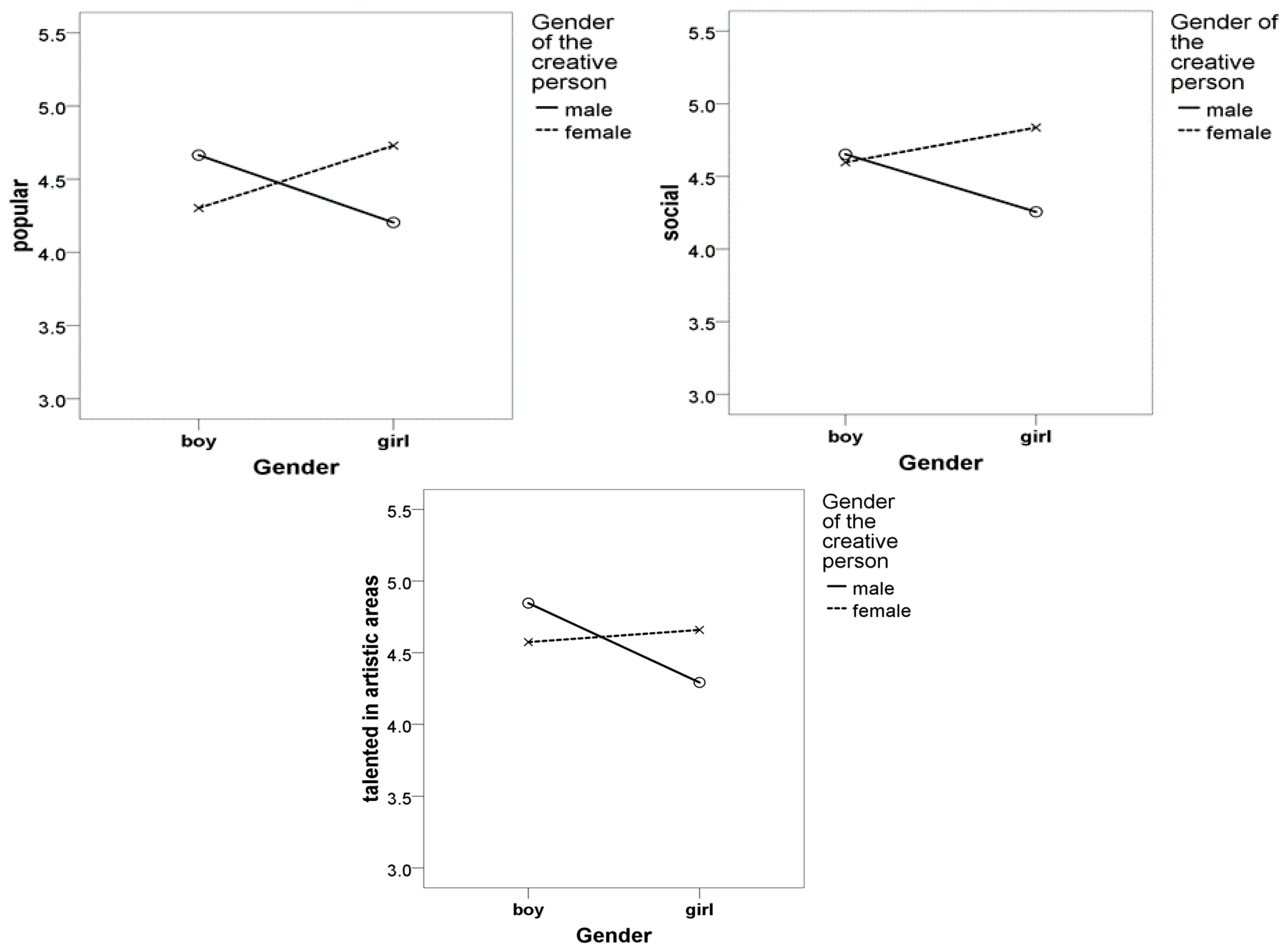
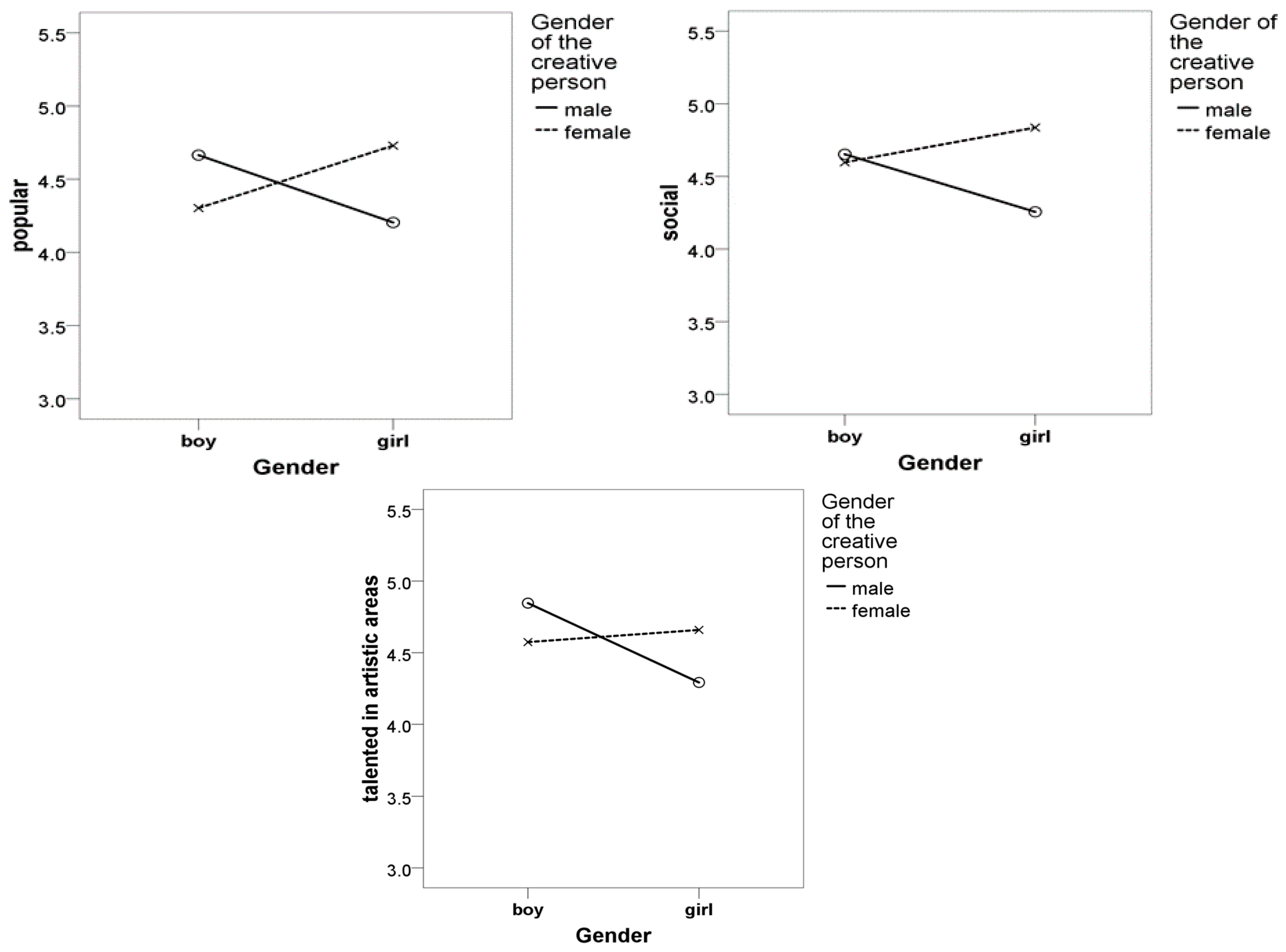
Significant interaction effects of gender and perceived gender of the creative person could be found for popularity (F(1, 390) = 11.22, p = 0.001, ηp² = 0.028), sociability (F(1, 390) = 5.58, p = 0. 019, ηp² = 0.014), and talent in artistic areas (F(1, 390) = 4.13, p = 0.043, ηp² = 0.010). Students who drew a creative person with the same gender as themselves labeled the creative person as more popular, more social and more talented in artistic areas than did students who drew a creative person of the opposite gender. Simple effect analyses show that this pattern of results was more evident for girls than for boys (see Figure 3): girls drawing females attributed more sociability (F(1, 396) = 4.67, p < 0.05) and more talent in artistic areas (F(1, 396) = 6.59, p < 0.05) than did girls drawing males.
Figure 3.
Interaction effects of gender and perceived gender of the creative person for the characteristics popularity, sociability, and talent in artistic areas.
3.5. Interaction Effects of Nationality and Gender of the Creative Person
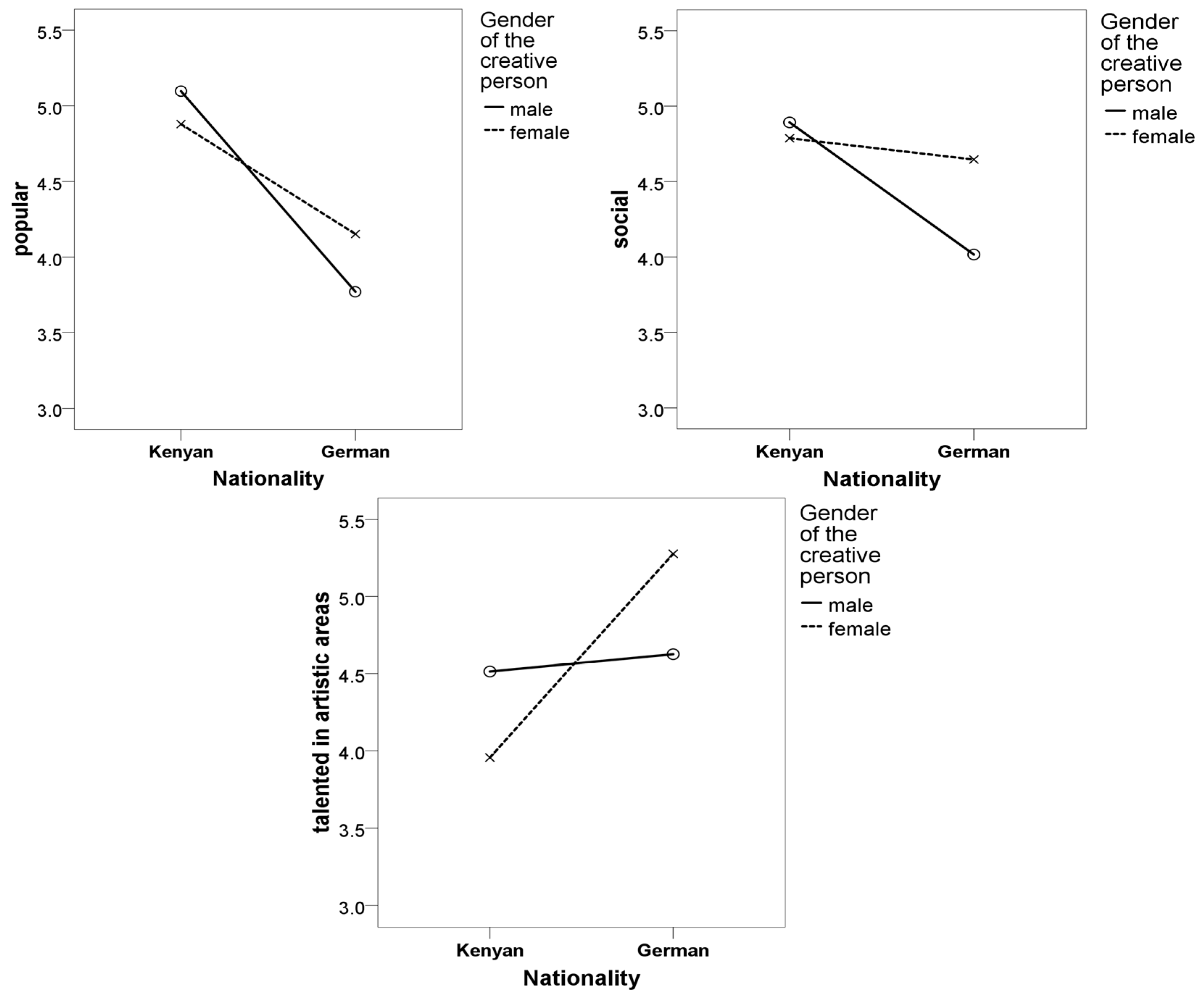
Similarly, significant interaction effects of nationality and perceived gender of the creative person could be found for the following attributes: popularity (F(1, 390) = 5.11, p = 0.024, ηp² = 0.013), sociability (F(1, 390) = 7.43, p = 0.007, ηp² = 0.019), and talent in artistic areas (F(1, 390) = 14.73, p = 0.001, ηp² = 0.036). Simple effect analyses indicate significant differences for German students particularly: German students drawing female creative individuals attributed more popularity (F(1, 396) = 9.55, p < 0.005), more sociability (F(1, 396) = 13.50, p < 0.001) and talent in artistic areas (F(1, 396) = 4.41, p < 0.05), than did German students drawing male creative individuals. Kenyan students, however, differed only with respect to popularity (F(1, 396) = 8.38, p < 0.005): Kenyan students drawing male creative individuals attributed more popularity than did the Kenyan students drawing female creative individuals (see Figure 4).
Figure 4.
Interaction effects of nationality and perceived gender for the characteristics popularity, sociability, and talent in artistic areas.
3.6. Three-Way Interaction Effects
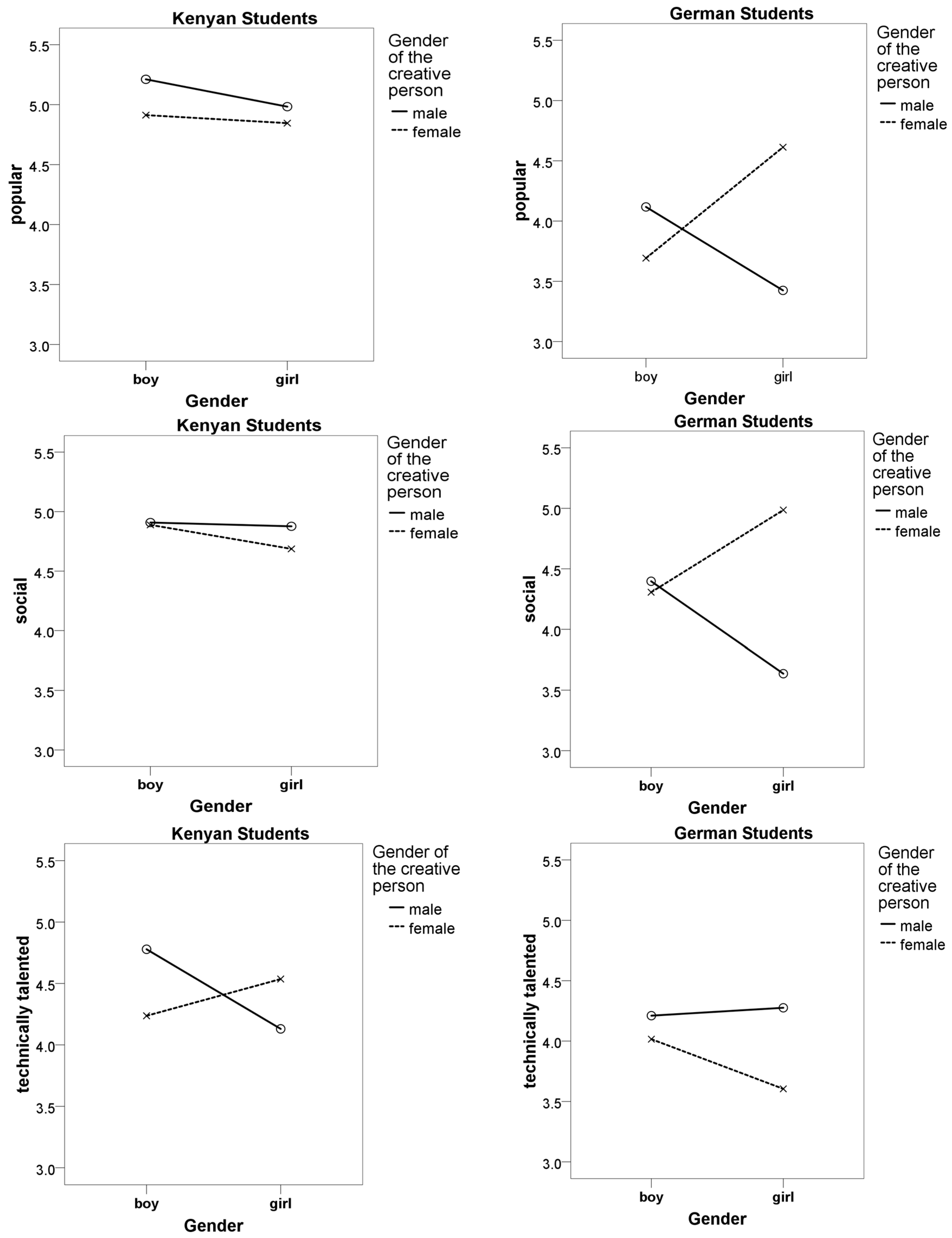
Finally, for three of the eight investigated characteristics, significant three-way interaction effects were found. For nationality of the participating students, gender of the participating students, and attributed gender of the creative person, interaction effects for the attributes of popularity, sociability and technical talent were detected (see Table 5 and Figure 5).
Table 5.
Three-way interaction effects for the attributes popularity, sociability, and technical talent.
Figure 5.
Three-way interaction effects of nationality, gender, and perceived gender for popularity, sociability, and technical talent.
Significant simple effect analyses were found for the perceived gender of the figures drawn by German girls: German girls drawing a female creative person considered their creative person more popular (F(1, 392) = 21.74, p < 0.001), more social (F(1, 392) = 18.59, p < 0.001), but less talented in technical domains (F(1, 392) = 7.99, p < 0.005) than did German girls who drew a male creative person. By contrast, German boys and Kenyan girls did not significantly differ with respect to their expectations of creative females and males. Finally, Kenyan boys who drew a male creative person attributed more technical talent to their creative person than did Kenyan boys who drew a creative female person (F(1, 392) = 5.53, p < 0.05).
4. Discussion
Previous research suggested that adolescents’ implicit theory of creativity is a key belief that leads inevitably to their adult implicit theory [8]. Additionally, both gender and cultural factors are of particular importance in the formation of the idea an individual holds of a creative person. The present research examined the attributes of a creative person by asking German and Kenyan adolescents to draw a creative person and rate it on a number of attributes, including personal characteristics, gender, age and domains. Overall, the current research explored the image held of a creative person in an adolescent’s mind. Our results provide provoking findings on differences for both gender and culture perspectives. The participating students predominantly drew a male person in his mid-twenties who was imaginative, hardworking, artistically talented and social. Students considered that talent in languages, technology, and mathematics were less typical of creativity.
The participating students predominantly drew a male person in his mid-twenties who was imaginative, hardworking, artistically talented and social. Students considered that talent in languages, technology, and mathematics were less typical of creativity. These results are consistent with the expectation that males are perceived to be more creative than females [21], and people are less likely to be creative in the mathematics domain [7]. It is worth noting that adolescents tend to refer to a creative person in his/her mid-twenties, which is a relatively young adult rather than an older adult. Regardless of the ‘true’ relationship between age and creativity, adolescents tend to believe that the mid-twenties are the time when people are most likely to be creative. One plausible explanation, as mentioned in our introduction, might be that adolescents more highly value the creative characteristics associated with the younger age group such as openness, enthusiasm, fluid cognitive abilities, and working memories, rather than the creative characteristics associated with the older age group such as experience, critical thinking, conscientiousness, and so on [22].
Interestingly, German and Kenyan students differed on the gender they attributed to the creative person. In Kenya, the prototypical creative person was predominantly male; in Germany, the gender of the prototypical creative person was more equally divided. Furthermore, the attributed gender of the creative individuals depended on the participants’ own gender: German students tended to draw a creative person of the same gender as themselves while both Kenyan boys and girls tended to draw a male creative person. Therefore, German students presented the pattern of in-group bias, which is consistent with what we expected in our introduction. Kenyan adolescents, on the other hand, drew a creative person as a male regardless of their own gender. These findings support our expectation of cultural differences. Compared with Germany, females in Africa face many more barriers in their education, compared to males, due to cultural practices such as early marriage and multiple household duties for girls, along with poverty [24]. It would seem that the cultural beliefs and gender discrimination are not only set in their education, occupations and life chances, but also exist in their implicit theory of the gender of a creative person.
No differences between the two countries could be found for the age of the creative person. Although life expectancy is much higher in Germany than in Kenya, students did not significantly differ in the age they ascribed to a creative person. In Germany, following their four-year primary education, students are able to choose (according to their grades and a recommendation from their class teacher) different tracks for secondary education with the duration ranging from five to eight years. Primary and secondary education are both free in Germany. The Kenyan education system consists of a free eight-year primary education and a paid four-year secondary education. In Kenya, people in their mid-twenties are usually married, have children, and are settled. A considerable portion of Germans in their mid-twenties, however, may have spent the first half of that decade working through programs of tertiary education (earning a master’s degree, for instance). The students in our sample showed a similar pattern of results to those in a previous study for the expected age of a prototypical intelligent person (see [23]).
The factor with the highest effect size in the multivariate analysis results was the nationality of the students. All the attributes of creative persons showed cultural differences: Kenyan students valued diligence as an important attribute of creative individuals. In addition, social variables were seen as important, followed by talents in languages and mathematics. By contrast, German students valued imagination and talent in artistic areas most strongly, with diligence and social components following. These findings are consistent with our earlier observation that, compared with Western countries, Africans seem to consider creativity as more an attribute of the collective than of individuals [15]. Therefore, in the present study, Kenyan students favored social variables more than did the German students, who were more inclined toward the individualized variables such as imagination and artistic talent. German participants also saw talents in other domains, such as languages, mathematics and technology, as less characteristic of creativity, in concert with previous work [7].
In the univariate effects for countries, popularity and imaginativeness showed the highest effect sizes, where German adolescents rated imaginativeness of the creative person more highly than did the Kenyan students, while Kenyan students rated popularity more highly than did the German students. The importance of the single characteristics differed significantly. German students placed higher value on imagination and talent in artistic areas but all the other variables were more highly valued by the Kenyan students. In other words, the German adolescents held a one-sided and more stereotypical image of creativity (highly talented in arts, but low talent in mathematics and technology), whereas Kenyan adolescents also connected creativity with talents in language, mathematical and technical areas. Furthermore, Kenyan students connected creativity to social variables.
Although students differed with respect to the gender they ascribed to a creative person, no significant main effects for gender or attributed gender of the creative person could be found for the other listed attributes. Interaction effects of gender and perceived gender or perceived gender by nationality were detected, which, however, were of comparatively small effect size.
The interaction effects of gender and perceived gender of the creative person showed that girls who spontaneously drew a female creative person attributed more popularity and talent in artistic areas than girls who spontaneously drew a male creative person. In contrast, boys did not differ in the attributes they ascribed to a male or female creative person; that is boys seemed to hold an image of a creative person that was independent of the gender of the creative person. However, it is important to note that boys in general tended to draw male creative individuals. This could be explained by differences in the automatic preferences demonstrated by males and females for their own gender. One study [25], for example, showed that both male and female participants associated positive words—such as good, happy and sunshine—with their own gender; additionally, women were five times more likely than men to choose the same gender. In the current study of adolescents’ perceptions, girls attributed more positive words (popularity, talent in artistic areas) to the same gender.
German and Kenyan adolescents differed not only on the characteristics they ascribed to creative persons but also in how the gender of the creative person was associated with the attributes. The study showed that German adolescents who drew a female creative person described that person as being more popular, social and artistically talented than did German students who drew a male creative person. By contrast, Kenyan students who drew a male creative person attributed more popularity to him than did Kenyan students who drew a female creative person.
Finally, the interaction effects of nationality, gender and perceived gender show that the gender effects were especially meaningful for German female students: German girls who drew a creative person of the same gender attributed higher social values but less talent in technical domains to their person than did German girls who drew a creative person of the opposite gender.
Although our study detected significant two- and three-way interaction effects, it has to be noted that most of them were of a comparatively small effect size. The most prominent finding, therefore, is the strong country differences between Germany and Kenya. For the Kenyan students, all the listed attributes seemed to be relevant for a creative person. By contrast, the German students differentiated among the attributes to a greater degree. The most remarkable difference between the two countries under investigation occurred for the attribute of popularity: Kenyan students showed considerably higher values than did the German students. The only attributes that German students rated more highly than the Kenyan students were talent in artistic areas and imagination. Hence, Kenyan adolescents connected creativity with several attributes, including talents in several domains and social variables. By contrast, German adolescents held a one-sided and more stereotypical image of creativity.
5. Limitations
Some limitations of this study merit attention. First, we employed self-report as measures. Therefore, it is possible that measures from other domains such as experience sampling would reveal different results. The surprisingly strongly one sided results on the attributes of the drawn creative person of the Kenyan adolescents could alternatively be explained by the questions being seen as possibly socially desirable. Moreover, our sample consisted of predominantly 13-year-old students from only two countries. Due to the self-reported data and the narrow sample, the study at hand cannot be easily generalized with regard to cultural differences in implicit theory of creativity. In the future, more diverse samples from different culture backgrounds and age should be included to examine the differences and similarities in laypeople’s implicit theory on creativity. In addition, for our results, the attributes of the drawn creative person were exclusively derived from the listed items and not from the picture itself. Therefore, some information relating to the drawn creative person was not considered in the data analysis. By analyzing the picture’s content in detail, a much more diverse picture of the implicit theory of a creative person may have been obtained. Finally, any potential translation errors in the Kenyan version of the questionnaire must be taken into consideration.
6. Conclusions
This study sought to investigate implicit theories of creativity by surveying adolescent students in Kenya and Germany. Predominantly, adolescents drew a creative person as a male in his mid-twenties who was imaginative, hardworking, artistically talented and social. The patterns of responses revealed some cultural and gender differences between the two participant groups but also a number of commonalities. To be specific, firstly, Kenyan adolescents connected creativity with more multiple attributes whereas German adolescents were prone to hold a one-sided, stereotypical image of a creative person. Secondly, Kenyan students showed a tendency to attribute the gender of a creative person as male regardless of their own gender, whereas German students tended to use their own gender for the creative person. Thirdly, Kenyan students valued social related character of a creative individual more than German students. Finally, the interaction effects of gender, perceived gender and the perceived related characters were discussed.
In summary, these results seem to underline a strong influence of culture on implicit theories. The study suggests that implicit theories of creativity have both domain-general and domain-specific elements. It is recommended that future research continue to examine the different cultural expressions of creativity as well as consider the alignment between implicit and explicit theories of creativity in different cultural contexts.
Author Contributions
Heidrun Stoeger and Albert Ziegler conceived and designed the study; Manuel Hopp, Heidrun Stoeger, and Albert Ziegler performed the data collection; Marion Händel and Manuel Hopp analyzed the data; Heidrun Stoeger contributed study materials; Manuel Hopp, Marion Händel, and Wilma Vialle wrote the paper.
Conflicts of Interest
The authors declare no conflict of interest.
References
- Dweck, C.S. Self-Theories: Their Role in Motivation, Personality, and Development; Psychology Press: Philadelphia, PA, USA, 1999. [Google Scholar]
- Runco, M.A. Implicit theories and ideational creativity. In Theories of Creativity; Runco, M.A., Albert, R.S., Eds.; Sage: Newbury Park, CA, USA, 1990; pp. 235–252. [Google Scholar]
- Lubart, T. Cross-cultural perspectives on creativity. In The Cambridge Handbook of Creativity; Kaufman, J.C., Sternberg, R.J., Eds.; Cambridge University Press: Cambridge, UK, 2010; pp. 265–276. [Google Scholar]
- MacKinnon, D.W. Creativity and images of the self. In The Study of Lives; White, R.W., Ed.; Atherton Press: New York, NY, USA, 1963; pp. 251–278. [Google Scholar]
- Sternberg, R.J. Implicit theories of intelligence, creativity, and wisdom. J. Pers. Soc. Psychol. 1985, 49, 607–627. [Google Scholar] [CrossRef]
- Runco, M.A.; Bahleda, M.D. Implicit theories of artistic and everyday creativity. J. Creative Behav. 1986, 20, 93–98. [Google Scholar] [CrossRef]
- Kaufman, J.C.; Baer, J. Sure, I’m creative—But not in mathematics! Self-reported creativity in diverse domains. Empir. Stud. Arts 2004, 22, 143–155. [Google Scholar] [CrossRef]
- Plucker, J.A. What’s in a name? Young adolescents’ implicit conceptions of invention. Sci. Educ. 2002, 86, 149–160. [Google Scholar] [CrossRef]
- Cheng, Y.; Kim, K.H.; Hull, M.F. Comparisons of creative styles and personality types between American and Taiwanese college students and the relationship between creative potential and personality types. Psychol. Aesthet. Creativity Arts 2010, 4, 103–112. [Google Scholar] [CrossRef]
- Paletz, S.B.F.; Peng, K. Implicit theories of creativity across cultures: Novelty and appropriateness in two product domains. J. Cross Cult. Psychol. 2008, 39, 286–302. [Google Scholar] [CrossRef]
- Rudowicz, E.; Lok, D.; Kitto, J. Use of the torrance tests of creative thinking in an exploratory study of creativity in hong kong primary school children: A cross-cultural comparison. Int. J. Psychol. 1995, 30, 417–430. [Google Scholar] [CrossRef]
- Seng, Q.K.; Keung, H.K.; Cheng, S.K. Implicit theories of creativity: A comparison of student-teachers in Hong Kong and Singapore. Compare 2008, 38, 71–86. [Google Scholar] [CrossRef]
- Ngara, C. Conceptions of Giftedness and Creativity from Africa: The Shona Culture’s Perspective. Ph.D. Dissertation, University of British Columbia, Vancouver, BC, Canada, 2008. [Google Scholar]
- Mpofu, E.; Myambo, K.; Mogaji, A.A.; Mashego, T.; Khaleefa, O.H. African perspectives on creativity. In The International Handbook of Creativity; Kaufman, C., Sternberg, R.J., Eds.; Cambridge University Press: Cambridge, UK, 2006; pp. 456–489. [Google Scholar]
- Mogaji, A.A.; University of Lagos, Lagos, Nigeria. Review of creativity in Nigeria. Unpublished work. 2004. [Google Scholar]
- Paulus, P.B. Groups, teams, and creativity: The creative potential of idea-generating groups. Appl. Psychol. Int. Rev. 2000, 49, 237–262. [Google Scholar] [CrossRef]
- Oyowe, A. Are Africans culturally hindered in enterprise and commercial creativity? The Courier 1996, 157, 62–64. [Google Scholar]
- Akarakiri, J.B. Utilisation of creativity and innovation by the practice of new-product planning in developing countries. IFE PsychologIA 1998, 6, 64–80. [Google Scholar] [CrossRef]
- Shostak, M. The creative individual in the world of the !Kung San. In Creativity/Anthropology; Lavie, S., Narayan, K., Rosaldo, R., Eds.; Cornell University Press: Ithaca, NY, USA, 1993; pp. 54–69. [Google Scholar]
- Schneider, D.J. The Psychology of Stereotyping; Guilford Press: New York, NY, USA, 2005. [Google Scholar]
- Proudfoot, D.; Kay, A.C.; Koval, C.Z. A Gender Bias in the Attribution of Creativity: Archival and Experimental Evidence for the Perceived Association between Masculinity and Creative Thinking. Psychol. Sci. 2015, 26, 1751–1761. [Google Scholar] [CrossRef] [PubMed]
- Rietzschel, E.F.; Zacher, H.; Stroebe, W. A lifespan perspective on creativity and innovation at work. Work Aging Retire. 2016, 2, 105–129. [Google Scholar] [CrossRef]
- Aljughaiman, A.; Duan, X.; Händel, M.; Hopp, M.; Stoeger, H.; Ziegler, A. A cross-cultural study of implicit theories of an intelligent person. Turk. J. Gift. Educ. 2012, 2, 2–17. [Google Scholar]
- Tuwor, T.; Sossou, M.A. Gender discrimination and education in West Africa: Strategies for maintaining girls in school. Int. J. Incl. Educ. 2008, 12, 363–379. [Google Scholar] [CrossRef]
- Rudman, L.A.; Goodwin, S.A. Gender differences in automatic in-group bias: Why do women like women more than men like men? J. Personal. Soc. Psychol. 2004, 87, 494–509. [Google Scholar] [CrossRef] [PubMed]
© 2016 by the authors; licensee MDPI, Basel, Switzerland. This article is an open access article distributed under the terms and conditions of the Creative Commons Attribution (CC-BY) license ( http://creativecommons.org/licenses/by/4.0/).




