Next Article in Journal
Analyzing the Availability of TPACK Framework Dimensions Among Elementary Mathematics Teachers: A Survey-Based Study on Demographic Variables
Previous Article in Journal
Rethinking Student Wellbeing in Higher Education: A Multifaceted Approach to Stress Management
 
 
Font Type:
Arial Georgia Verdana
Font Size:
Aa Aa Aa
Line Spacing:
Column Width:
Background:
Article

Self-Concept Modulates Motivation and Learning Strategies in Higher Education: Comparison According to Sex

by
Ramón Chacón-Cuberos
1,
Jennifer Serrano-García
1,*,
Inmaculada Serrano-García
2 and
Manuel Castro-Sánchez
3
1
Department of Research and Diagnostic Methods in Education, University of Granada (Spain), CP 18071 Granada, Spain
2
Compulsory Secondary Education, University of Jaén, CP 23001 Jaén, Spain
3
Department of Didactics of Musical, Plastic and Corporal Expression, Faculty of Education and Sport Sciences, CP 52000 Melilla, Spain
*
Author to whom correspondence should be addressed.
Educ. Sci. 2025, 15(7), 873; https://doi.org/10.3390/educsci15070873
Submission received: 30 March 2025 / Revised: 25 June 2025 / Accepted: 5 July 2025 / Published: 8 July 2025

Abstract

The transition towards adulthood represents a complex period in which the development of personal identity culminates in young adults, whilst, at the same time, many undertake university studies in order to access the job market. The aim of the present study was to analyse the associations between self-concept, motivation, and learning strategies in the Spanish university context using structural equations to examine sex as a modifying factor. A descriptive, cross-sectional, and ex post facto study was conducted with a representative sample of 2736 students. The results revealed a positive association between academic self-concept and the three basic psychological needs, with the needs of autonomy and competence being of particular importance amongst the males. It was determined that the satisfaction of all of the needs favoured the development of learning strategies in both genders, with the exception of the need for relatedness, which was not relevant. Finally, it was demonstrated that the females employed better elaboration strategies, whilst the males were better able to regulate effort. It can, therefore, be concluded that the promotion of self-determined motivation favours the development of a positive self-image and learning strategies, with it being crucial for students to be intrinsically motivated. This may help university students avoid dropping out from degree courses.

1. Introduction

Higher education is currently immersed in a process of transformation, resulting from the structural, social, and pedagogical changes that universities have undergone in recent decades (Álvarez-Arregui & Arreguit, 2019). These changes have led to an increase not only in academic demands, but also in the personal and emotional pressures placed upon students (Torres Sahão & Kienen, 2021; Haktanir et al., 2021). Thus, undertaking university studies during the stage of emerging adulthood entails confronting complex academic challenges, while also undergoing personal development processes related to autonomy, identity formation, and adaptation to new social and educational environments (Brown et al., 2023; Alotaibi & Alanazi, 2021; Suhlmann et al., 2018).
Within this context, the university experience goes beyond purely academic concerns, becoming a privileged space for the holistic development of students. However, such an experience may be conditioned by the presence of factors that hinder active engagement in the teaching–learning process, such as academic stress, lack of motivation, poor self-regulation, and a negative self-perception of one’s own abilities. This reality has been extensively documented in the scientific literature, which has highlighted the importance of addressing both the personal and contextual determinants that influence academic performance and persistence in higher education (Respondek et al., 2020; López-Cassà & Bisquerra-Alzina, 2024; Berengüí-Gil et al., 2024; Paloș et al., 2024).
In this regard, it is essential to adopt an integrative perspective that enables an understanding of how motivational, affective, and cognitive variables interact to shape students’ academic engagement. The present study is framed within this line of inquiry, proposing an explanatory model that considers the interrelation between self-concept, the satisfaction of basic psychological needs, and self-regulated learning strategies. Rather than operating in isolation, these dimensions function as interdependent elements that contribute to sustaining academic involvement and preventing university dropout (Martínez-Clares & González-Lorente, 2019; Theobald, 2021; Vansteenkiste et al., 2020; Parker et al., 2020; Bülow et al., 2021).

1.1. Literature Review

Self-concept has traditionally been defined as a construct related to individuals’ ability to evaluate their own traits, including mental representations with both affective and cognitive components (Hattie, 2014; Garcia et al., 2018). In recent decades, this concept has been addressed from a multidimensional perspective, which recognises the existence of various interrelated dimensions that shape the overall perception a person has of themselves. These dimensions include academic self-concept, referring to one’s perceived competence in the school context; social self-concept, which relates to how individuals perceive their value in interactions with others; emotional self-concept, linked to the ability to identify and manage one’s own emotions; family self-concept, associated with the role one plays within the family environment and the perceived acceptance from family members; and physical self-concept, which encompasses both body image and perceived physical competence (Arens & Morin, 2016; Parker et al., 2020).
Recent research continues to explore this construct across different developmental stages, from childhood (Augestad, 2017) through adolescence (Onetti-Onetti et al., 2019) to emerging adulthood (Brown et al., 2023; Norrington, 2020), confirming its predictive value in both the psychosocial and academic domains. Self-concept has been linked to healthy habits (Chacón-Cuberos et al., 2018); psychological well-being indicators, such as resilience, emotional intelligence, and motivation (López-Cassà & Bisquerra-Alzina, 2024; Bülow et al., 2021); as well as academic outcomes such as performance, school adjustment, and dropout risk (Timmermans & Rubie-Davies, 2022; Paloș et al., 2024).
Moreover, recent studies such as that by Rezai et al. (2025) have explored the influence of academic digital self-image and identity in virtual and hybrid learning environments on students’ academic self-concept. Other authors, including Fernández-Castillo and Chacón-Borrego (2022), have highlighted the mediating role of self-concept in the relationship between teacher feedback, perceived competence, and academic engagement.
The study of self-concept becomes particularly relevant in higher education, a period characterised by high academic demands and significant personal transitions. Students begin to adopt adult roles, while facing increasing academic pressures, family separation processes, new social dynamics, and gradual entry into the labour market (Arnett, 2014; Suhlmann et al., 2018).
These changes may lead to instability and generate cognitive, emotional, and social challenges, thereby increasing the likelihood of maladaptive behaviours, academic underperformance, and dropout (Chacón-Cuberos et al., 2019; Respondek et al., 2020; Haktanir et al., 2021). The recent literature also highlights the impact of academic identity conflicts and imposter syndrome on students’ sense of competence and academic adjustment, particularly among first generation and minority students (Lawson & Kearns, 2022). In this context, it is crucial to understand the relationships between self-concept, motivational factors, and the learning strategies that students deploy throughout their educational journey.
In this regard, the Self-Determination Theory (SDT) offers a robust theoretical framework for analysing motivation through the satisfaction of basic psychological needs (Ryan & Deci, 2017). The theory proposes a continuum of motivational regulation, placing intrinsic motivation at the most self-determined end, and extrinsic motivation and amotivation at the least (Adams et al., 2017; Emery et al., 2016). At its core, the theory maintains that the satisfaction of three fundamental psychological needs—competence, autonomy, and relatedness—is essential for fostering optimal functioning and personal well-being (Kwon & Jin, 2019; Vansteenkiste et al., 2020).
In educational settings, the fulfilment of these needs has been associated with increased intrinsic motivation, strengthened self-concept, and improved academic performance, contributing to a reduction in student dropout (Martínez-Clares & González-Lorente, 2019; Alotaibi & Alanazi, 2021).
Accordingly, recent studies have examined how certain teacher behaviours—such as empathic feedback and the promotion of autonomy—enhance the satisfaction of these needs and foster greater academic engagement among university students (Matos et al., 2022).
Within this framework, the analysis of students’ learning strategies becomes particularly relevant. These strategies are defined as a set of cognitive and procedural operations aimed at facilitating meaningful learning (Sabogal et al., 2011; Pardo et al., 2016) and include information organisation, metacognitive regulation, effort management, and critical thinking (Ergen & Kanadli, 2017; Foerst et al., 2017).
The effective use of these strategies has been associated with greater academic achievement, intrinsic goal orientation, and lower levels of academic anxiety (Drysdale & McBeath, 2018; Theobald, 2021).
Current research also highlights the interplay between self-regulated learning, digital competence, and academic self-efficacy, especially within hybrid and distance learning environments (Lobos et al., 2024).
Furthermore, gender has been shown to play an influential role in the development of these variables. The literature indicates that female students tend to use more cognitive and affective strategies, while male students more frequently employ social strategies (Mahmud & Nur, 2018).
Additionally, women report higher levels of competence satisfaction and subjective well-being (Akbag & Ümmet, 2017), as well as more positive self-concept profiles (Muthuri & Arasa, 2017; Berengüí-Gil et al., 2024).
Gender differences have also been identified in emotional regulation and perfectionism patterns, which mediate academic stress and shape students’ motivational profiles (Chang et al., 2023). These findings reinforce the importance of examining the role of gender in the configuration of motivational processes and self-regulated learning within the university context.

1.2. Objectives and Hypotheses

Thus, the present study proposes that the poor development of learning strategies in the university context is a research issue as it leads to less motivation, the deficient development of self-concept, and as a result a poor academic performance and university desertion. In this respect, the objectives of the present research are (a) to develop a theoretical model based on structural equations which defines the relationships between self-concept, basic psychological needs, and learning strategies; (b) to analyse the existing relationships between the standardised constructs through multi-group analysis, whilst considering the sex of university students.
The main contribution of this study lies in its gender-comparative approach, which allows for the identification of differentiated patterns between male and female students regarding motivation and learning processes. Although the previous literature has explored the interrelations between self-concept, basic psychological needs, and learning strategies, the novelty of this model resides in the integration of these constructs within a unified explanatory framework and in the analysis of how these relationships may vary by gender. This provides new empirical evidence to understand the motivational dynamics in higher education and to design more inclusive pedagogical strategies.
The basis of the model is determined by the self-concept through its five dimensions. This psychosocial factor refers to the image that a person has of themselves in different areas, such as physical, family, or academic. This variable constitutes the basis of the theoretical model since this self-concept is already defined and constructed in the emerging adult as the result of all the interactions that he or she makes with the environment and other people. On the other hand, basic psychological needs—which refer to needs that must be satisfied, competence, and relationships that every person wishes to fulfil in their professional and academic fields—will act as a mediation between self-concept and learning strategies. The reason for this is that based on the image that a young person has built about themself, he or she will set different goals, perceive a level of self-efficacy, and perform one type of behaviour or another. In this sense, the learning strategies that people develop are the result of a combination of the perception that they have of their own abilities, the goals that they intend to achieve, and the needs that people want to address.
In this sense, the following hypotheses are established for this study:
Hypothesis 1 (H1). 
There will be a positive relationship between the dimensions of self-concept and basic psychological needs, without finding differences between men and women.
Hypothesis 2 (H2). 
There will be a positive relationship between basic psychological needs and learning strategies, showing a stronger relationship in women.

2. Materials and Methods

2.1. Design and Participants

This study adopted a non-experimental, descriptive, cross-sectional, ex post facto design, with the measurement of a single analysis group. A non-probabilistic purposive sample was used, obtaining a sample of 2736 university students aged between 18 and 45 years (M = 23.33; SD = 5.77). The participants came from 19 Spanish universities in 11 autonomous communities. Regarding gender distribution, 66.2% were women (n = 1812), and 33.8% were men (n = 924). The reference population consisted of 1,289,233 students enrolled in university degrees in Spain during the 2017/2018 academic year. The sample size was considered adequate in relation to the population size according to the inclusion and exclusion criteria applied following the methodological recommendations of Bartlett et al. (2001). As an inclusion criterion, the participants were required to be enrolled in at least 60% of the classes for the corresponding academic year.

2.2. Instruments

Three validated instruments were employed for data collection. Firstly, the Self-Concept Scale by García and Musitu (2001) was used based on the theoretical model developed by Shavelson et al. (1976). This scale comprises 30 items rated on a five-point Likert scale (from 1 = “never” to 5 = “always”) and evaluates self-concept across five dimensions: academic self-concept (items 1, 6, 11, 16, 21, and 26; α = 0.820; ω = 0.824), social self-concept (items 2, 7, 12, 17, 22, and 27; α = 0.828; ω = 0.835), emotional self-concept (items 3, 8, 13, 18, 23, and 28; α = 0.813; ω = 0.816), family self-concept (items 4, 9, 14, 19, 24, and 29; α = 0.851; ω = 0.847), and physical self-concept (items 5, 10, 15, 20, 25, and 30; α = 0.788; ω = 0.793). The overall reliability of the scale in the present study exceeded that reported in previous research (α = 0.872; ω = 0.865), surpassing the indices documented by García and Musitu (2001), who reported α = 0.810.
Secondly, the Basic Psychological Needs Scale was administered, validated by Sheldon and Hilpert (2012) and adapted into Spanish by Reggiani (2013). This questionnaire comprises 12 items with responses recorded on a five-point Likert scale (from 1 = “strongly agree” to 5 = “strongly disagree”) grouped into three dimensions: need for autonomy (items 1, 4, 7, and 10; α = 0.764; ω = 0.759), need for competence (items 2, 5, 8, and 11; α = 0.742; ω = 0.743), and need for relatedness (items 3, 6, 9, and 12; α = 0.860; ω = 0.852). The overall internal consistency was deemed good (α = 0.858; ω = 0.855).
Finally, the Motivated Strategies for Learning Questionnaire—Short Form (MLSQ-SF) was employed, originally validated by Pintrich et al. (1993) and adapted into Spanish by Sabogal et al. (2011). This version includes 40 items assessed on a five-point Likert scale (from 1 = “never” to 5 = “always”) organised into eight dimensions: task value (items 20, 26, and 39), anxiety (items 3, 12, 21, and 29), elaboration strategies (items 4, 5, 22, 24, and 25), organisational strategies (items 13, 14, 23, and 40), critical thinking (items 1, 6, and 15), metacognitive self-regulation (items 16, 30, 31, 32, 34, 35, and 36), time management and study habits (items 2, 8, 17, 18, 33, and 38), effort regulation (items 7, 9, 11, 19, 27, and 28), and intrinsically oriented goals (items 10 and 37).

2.3. Procedure

In the initial phase, an information sheet was prepared outlining the objectives, nature, and methodological procedures of this study, with the aim of obtaining the necessary approval. This document included a description of the measurement scales employed, as well as the statistical approach planned for data analysis. The participants were also provided with an informed consent form, ensuring confidentiality, anonymity, and the right to withdraw from this study at any time without consequences.
The information materials, together with the questionnaires, were distributed electronically during the first quarter of 2019. The participants were encouraged to read the document carefully before making a voluntary decision regarding their participation. As all the participants were adults, once informed consent had been obtained, the previously described instruments were administered. The estimated completion time for the questionnaire ranged from 10 to 15 min.
It is important to note that this study was conducted in accordance with the ethical principles set out in the Declaration of Helsinki (2008 revision), as well as the applicable legislation on data protection (Spanish Organic Law 15/1999 of 13 December). This study also received approval from the Research Ethics Committee of the University of [blinded] under reference number [blinded]. The availability of the data obtained is also guaranteed upon request of the readers for the purpose of scientific verification or replication, always respecting the principles of confidentiality and anonymity.
Finally, the data was cleaned for subsequent analysis. In the first instance, the questionnaires were eliminated if they presented mistakes, fulfilled any of the exclusion criteria, or lacked reliability regarding the giving of random responses. Following this, the data were cleaned and transferred into a statistical database using the software IBM SPSS® 22.0 (IBM Corp, Armonk, NY, USA) in order to create the data matrix. This transcription process was carried out by the principal investigator of this research with the aim of ensuring correct statistical handling and avoiding mistakes.

2.4. Data Analysis

The software programs IBM SPSS® 22.0 (IBM Corp, Armonk, NY, USA) and IBM AMOS® 22.0 (IBM Corp, Armonk, NY, USA) were used for statistical analysis. Basic descriptives were analysed as frequencies and means. The normality of the data was checked by examining the kurtosis values of each questionnaire item, with values lower than 2 demonstrating normality (Kim, 2013; George & Mallery, 2010; Hair et al., 2010). In the case of categorical variables, the K-S test was employed to determine normality. Likewise, the internal reliability of employed instruments was evaluated via the Cronbach alpha and McDonald’s Omega values, setting the reliability index at 95.5%. Finally, analysis was conducted through structural equation modelling (SEM) and multi-group analysis with the aim of analysing the relationships between the endogenous and exogenous model variables.
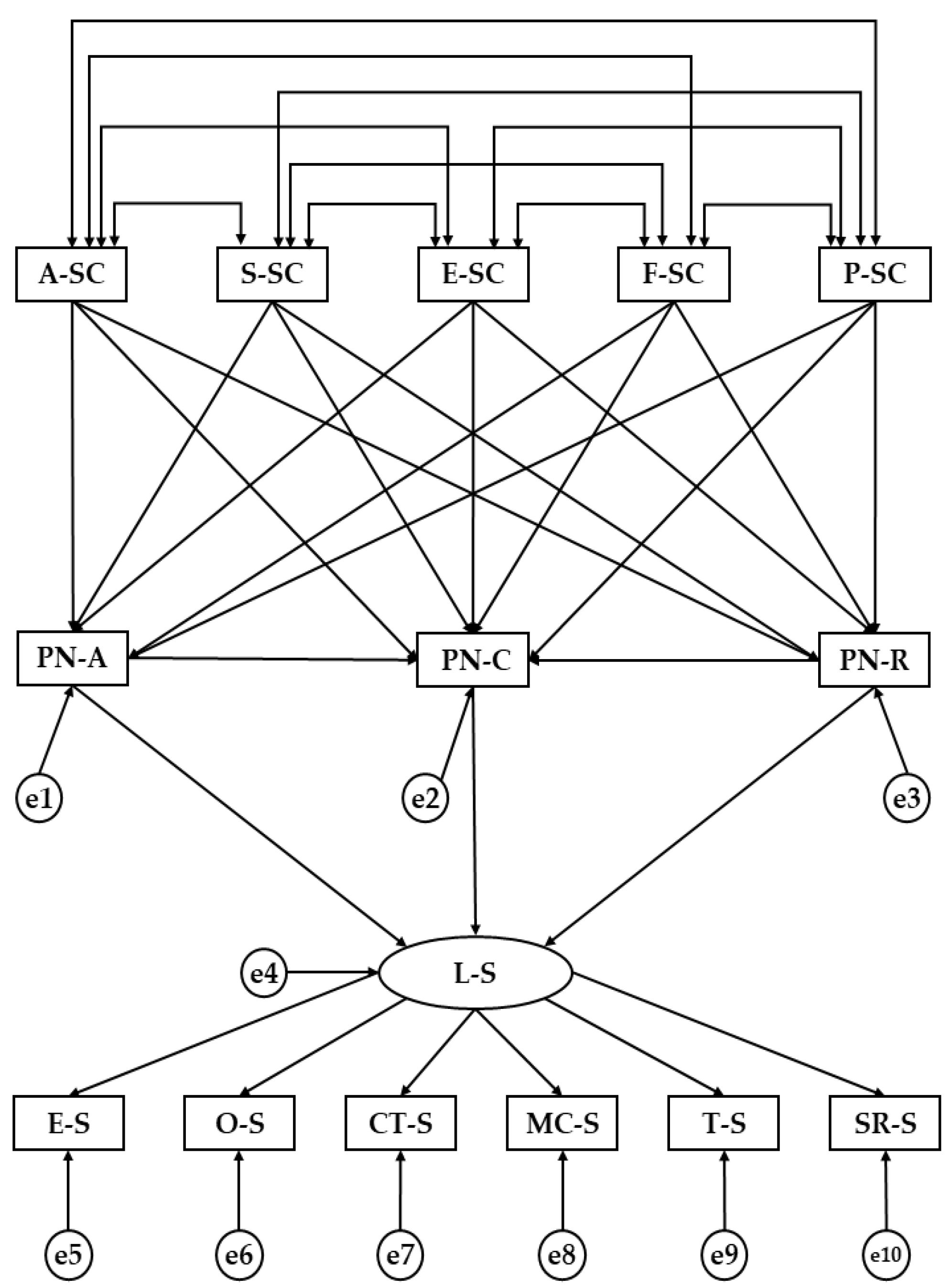
Figure 1 presents the theoretical model. This model specifically develops the relationships between the dimensions of self-concept, basic psychological needs, and learning strategies. This SEM was then analysed using multi-group analysis according to sex (male or female). The structural model was constituted by fourteen observable variables and one latent variable.
The following variables are observable variables indicated with bidirectional arrows (correlations and covariances): academic self-concept (A-SC), social self-concept (S-SC), emotional self-concept (E-SC), family self-concept (F-SC), and physical self-concept (P-SC). The following three basic psychological needs were included as observable variables using one-way vectors (structural effect between predictor and dependent variables): need for autonomy (PN-A), need for competence (PN-C), and need for relatedness (PN-R). Finally, the latent variable of “learning strategies” (L-S) was included. This variable also represents an endogenous variable that is determined by six observable variables: elaboration strategies (E-S), organisational strategies (O-S), critical thinking (CT-S), self-regulation of meta-cognition (MC-S), time and study habits (T-S), and self-regulation of effort (SR-S).

3. Results

The structural model developed exhibited good fit indices for multi-group analysis. The chi-squared test revealed a statistically significant value (χ2 = 1471.37; df = 110; p < 0.001). Given the sensitivity of this statistic to sample size, several authors, including Byrne (2016) and Hu and Bentler (1999), have emphasised the importance of employing additional standardised fit indices to assess model fit. In this regard, the NFI yielded a value of 0.90, the IFI had a value of 0.91, and the CFI also had a value of 0.91. These values are considered acceptable according to the criteria established by Bentler and Bonett (1980) and Bentler (1990), who suggest that values equal to or greater than 0.90 indicate an adequate model fit. Similarly, the RMSEA obtained a value of 0.067, which is also deemed acceptable and reflects an appropriate fit of the structural equation model in line with the criteria proposed by Browne and Cudeck (1993), who argue that RMSEA values below 0.08 represent a reasonable model fit.
Table 1 and Figure 2 present regression weights and standardised regression weights for the SEM developed for the male students. This permits relationships to be determined between self-concept, basic psychological needs, and learning strategies. At the first level of the model, the statistically significant relationships are shown (p < 0.005) between the five dimensions of self-concept. These reflect positive and direct associations between all the dimensions, apart from the relationship existing between emotional and academic self-concept (p = 0.954). Specifically, academic self-concept produced the greatest regression weight with physical self-concept (b = 0.418) and the lowest weight with social self-concept (b = 0.258). With regards to social self-concept, the strongest relationship was found with physical self-concept (b = 0.258), whilst the weakest relationship occurs with academic self-concept (b = 0.438). Emotional self-concept specified its greatest regression weight in relation with social self-concept (b = 0.312) and its weakest weight in relation to academic self-concept, although this was not found to be significant. Family self-concept was most strongly related to social self-concept (b = 0.376) and most loosely related to emotional self-concept (b = 0.205). Finally, physical self-concept produced its greatest regression weight with social self-concept (b = 0.438), whilst this was most weakly related to emotional self-concept (b = 0.221).
The second level of the model shows the existing relationships between the different dimensions of self-concept and the three basic psychological needs: autonomy, competence, and relatedness to others. In this way, academic self-concept produced a positive and direct association with the need for autonomy (p < 0.005; b = 0.246), the need for competence (p < 0.005; b = 0.489), and the need for relatedness to others (p < 0.05; b = 0.061), with the latter showing the weakest regression weight. Along similar lines, social self-concept established a direct association with the need for autonomy (p < 0.01; b = 0.105) and the need for relatedness to others (p < 0.005; b = 0.528). In this case, social self-concept was not related to the need for competence (p = 0.474).
Moving on to the middle zone of the model, it can be observed that emotional self-concept did not determine statistically significant differences in relation to the need for autonomy (p = 0.613) or the need for competence (p = 0.820). On the other hand, emotional self-concept was related to the need for relatedness to others (p < 0.005; b = −0.124). In line with that presented above, family self-concept reflected statistically significant differences with regards to the need for autonomy (p < 0.01; b = 0.099), the need for competence (p < 0.005; b = 0.138), and the need for relatedness (p < 0.01; b = 0.081), with all the relationships being positive. Finally, the results highlight that physical self-concept was positively related to the need for autonomy (p < 0.005; b = 0.188) and relatedness (p < 0.005; b = 0.168), although significant differences were not found with regards to the need for competence (p = 0.293).
The relationships produced between basic psychological needs and learning strategies are presented at the third level of the model. Firstly, it is indicated that the need for competence was positively related to the need for autonomy (p < 0.005; b = 0.313) and relatedness (p < 0.005; b = 0.097). In addition, it could be determined that learning strategies were positively related to the need for competence (p < 0.005; b = 0.473) and autonomy (p < 0.005; b = 0.235). Nonetheless, statistically significant differences were not found in relation to the need for relatedness (p = 0.143).
Finally, regression weights are specified for each indicator in relation to the learning strategies in the lower part of the model. Weights were produced as follows from strongest to weakest: the self-regulation of effort (b = 0.828), the self-regulation of meta-cognition (b = 0.822), elaboration strategies (b = 0.812), time spent studying (b = 0.724), organisational strategies (b = 0.640), and critical thinking (b = 0.626).
Table 2 and Figure 3 present the regression weights and standardised regression weights from the SEM developed for the females. These enable relationships to be determined between self-concept, basic psychological needs, and learning strategies. At the first level of the model, the statistically significant relationships are shown (p < 0.005) between the five dimensions of self-concept, with positive associations emerging in all the cases. Academic self-concept produced its greatest regression weight with physical self-concept (b = 0.364) and its smallest weight with emotional self-concept (b = 0.098). With regards to social self-concept, the strongest relationship is given with physical self-concept (b = 0.389), whilst the weakest relationship is seen with academic self-concept (b = 0.293). Emotional self-concept produced its greatest regression weight with social self-concept (b = 0.323), whilst its weakest weight was related to family self-concept (b = 0.135). Family self-concept was most strongly related to social self-concept (b = 0.352) and most weakly related to emotional self-concept, as previously stated. Finally, in relation to physical self-concept, the greatest regression weight emerged in relation to social self-concept (b = 0.389), with the smallest weight pertaining to emotional self-concept (b = 0.173).
The second level of the model shows the existing relationships between the different dimensions of self-concept and basic psychological needs. Academic self-concept produced a positive association with the need for autonomy (p < 0.005; b = 0.146), competence (p < 0.005; b = 0.497), and relatedness (p < 0.005; b = 0.118). Social self-concept produced a direct association with the need for autonomy (p < 0.005; b = 0.124) and relatedness (p < 0.005; b = 0.577) and a negative association with the need for competence (p < 0.01; b = −0.065). On the other hand, significant differences were not determined with regards to emotional self-concept and the need for autonomy (p = 0.887), but were established in relation to competence (p < 0.05; b = 0.035) and relatedness (p < 0.01; b = −0.055). Family self-concept did not produce significant differences in relation to the need for autonomy (p = 0.432); however, associations were seen in relation to competence (p < 0.005; b = 0.077) and relatedness (p < 0.01; b = 0.058). Finally, physical self-concept was positively related to the need for autonomy (p < 0.005; b = 0.192) and competence (p < 0.05; b = −0.043), with no association being found with the need for relatedness (p = 0.603).
At the third level of the model, the relationships are shown between basic psychological needs and learning strategies. It could be determined that the learning strategies were positively related to the need for competence (p < 0.005; b = 0.401) and autonomy (p < 0.005; b = 0.223), whilst a significant association was not found with the need for relatedness (p = 0.055). Finally, regression weights were specified for each indicator in relation to learning strategies. The regression weights were established as follows from largest to smallest: elaboration strategies (b = 0.784), the self-regulation of effort (b = 0.769), the self-regulation of meta-cognition (b = 0.747), time spent studying (b = 0.689), organisational strategies (b = 0.620), and critical thinking (b = 0.602).

4. Discussion

The structural model developed addressed the associations between self-concept, basic psychological needs, and learning strategies in university students according to sex. The different dimensions of self-concept were positively associated with each other, with similar values existing in the males and the females. This positive inter-dependency between dimensions has been previously demonstrated by Chacón-Cuberos et al. (2018) and Muthuri and Arasa (2017). Indeed, all the dimensions tend to participate in a more or less homogenous way in the construction of personal identity, as stated by Arnett (2014) and Shin et al. (2016).
When considering the link between self-concept and basic psychological needs, it could be observed that the academic dimension was positively and directly related to the three needs, being particularly strongly related to the need for competence. As stated by Theobald (2021) and Yavuzalp and Bahcivan (2021), those students who are capable of regulating their learning process, making their own decisions, and successfully completing academic tasks are able to satisfy their basic needs. This leads to improved perceptions of their own academic level. In this sense, it is important to indicate that the relationship between academic self-concept and the need for both autonomy and relatedness was more pronounced amongst the males. Chacón-Cuberos et al. (2018) and Muthuri and Arasa (2017) established that young male university students tend to seek opportunities for social relatedness to a greater extent than females. This difference is largely driven by leisure; however, males are also more predisposed towards cooperative working in the academic context. Likewise, males tend to be more predisposed towards making their own decisions. This makes them more autonomous and at least partly explains the findings obtained (Henri et al., 2018).
The social dimension of self-concept was directly associated with the need for autonomy, with similar values being reported by both sexes. It was also related to the need for relatedness to others, with the values being greater amongst the females in this case. In order to explain these associations, it can be confirmed that females experience greater improvements to their social self-concept when their need for relatedness is satisfied. This may be linked to their greater dependence on social approval through the construction of relationships (Arnett, 2014; Haktanir et al., 2021).
No relationship was found between emotional self-concept and the three needs, whilst family self-concept was directly associated with the need for autonomy and competence, especially amongst the males. Bülow et al. (2021) described in their study that young people with more influential family contexts tend to present less autonomy. This initially appears to contrast to the results obtained in the present study. Nonetheless, various research studies have demonstrated that development of the three needs runs parallel to that of dimensional self-concept. For this reason, the development of needs is not necessarily always associated with parenting style. This is intuitive given that young university students emancipate themselves from their family and distance themselves from family life (Brown et al., 2023; Timmermans & Rubie-Davies, 2022).
These findings can also be justified through the studies carried out by Alotaibi and Alanazi (2021) and Paloș et al. (2024). Specifically, these authors point out that confidence in one’s own abilities shapes the cognitive and motivational processes that influence the learning strategies that they develop, which are closely related to their academic performance. Therefore, it seems coherent that a better perception of the self or self-concept mediates the development of self-determined motivation, which will enhance learning strategies. Additionally, the stronger relationship that is developed in women could be explained by their higher level of emotional maturity, their more developed capacity for effort and perseverance, and the configuration of intrinsic goals, as shown by Quadlin (2018) and Stoet and Geary (2015).
When considering physical self-concept, it must be highlighted that this was positively related to the need for autonomy in both sexes and directly related to the need for relatedness in the males. Research studies such as those conducted by Chacón-Cuberos et al. (2020) and Lohbeck et al. (2021) have demonstrated that this dimension is more developed in males. This is explained by the fact that they have higher levels of self-esteem or other components that are characteristic of a more developed physical self-concept, such as better physical conditioning or motor skills. In this way, young people who possess a greater ability to take control over their decisions tend to lead more healthy lifestyles, with this favouring self-concept (Castro-Sánchez et al., 2019; Onetti-Onetti et al., 2019). Further, it is also of interest to highlight the positive association with the need for relatedness. This association may be determined by the presence of leisure habits, which are based on physical activity and sport engagement as a social component (Bean et al., 2019; Vansteenkiste et al., 2020).
The lower zone of the model determined the relationships pertaining to basic psychological needs and learning strategies. No relationship was found with the need for relatedness in either of the sexes; however, in contrast, positive associations that were stronger in the males were found between autonomy and competence. Further support for these findings can be extracted from the principles established by Esmaeili et al. (2019). These authors established that the capacity to self-direct one’s own learning and successfully complete tasks is more important for academic performance than the social interactions that take place within the learning process (Drysdale & McBeath, 2018). Indeed, Ryan and Deci (2017) revealed that the social component of the need for relatedness most strongly links to leisure time and recreation.
On the other hand, it may be revealing that the males demonstrated a stronger relationship than the females between learning strategies and the aforementioned psychological needs. Nonetheless, Chen et al. (2019) established that females tend to present more effective learning strategies, in addition to higher levels of motivation and competence, in an academic context (Animasaun & Abegunrin, 2017; Sheldon & Hilpert, 2012). From this standpoint, the findings obtained in the present study can be justified. Concretely, only those males who are more able to satisfy their needs for competence and autonomy will develop effective learning strategies, whilst among females, these same variables are associated, but in a more independent way.
Finally, it is important to specify in greater depth the limitations of the present study. Firstly, the cross-sectional design employed precludes the establishment of causal relationships between the variables analysed, thereby limiting the ability to determine specific directions of influence. This type of design provides only a snapshot of the phenomena under investigation, without capturing their evolution or potential changes over time in the students’ perceptions of self-concept, the satisfaction of basic psychological needs, or the application of self-regulated learning strategies.
Moreover, although a large sample size was achieved, the sample was selected through non-probabilistic convenience sampling, which introduces certain constraints regarding the generalisability of the findings. This sampling method may entail selection bias, given that participation was mediated by the students’ accessibility and willingness to take part, potentially leading to the overrepresentation of individuals with a greater interest in the study’s subject matter.
Another notable limitation concerns the use of self-report instruments, which may introduce biases associated with social desirability, the subjective interpretation of the items, or a lack of accurate introspection on the part of the respondents. Such biases may particularly affect variables related to self-efficacy, motivation, or emotional coping, thereby partially compromising the validity of the results.
Building upon these limitations, several avenues for future research are proposed. Firstly, it would be advisable to conduct longitudinal studies that allow for the examination of temporal developments in the variables analysed and facilitate the establishment of more robust causal relationships. Additionally, it is recommended that stratified random sampling be employed at a national level using as a reference the actual distribution of the university student population by autonomous communities, gender, and the field of study. This would enable the collection of a representative sample, and consequently the production of findings with greater generalisability.
Furthermore, it would be pertinent to explore the practical implications of the findings through intervention studies involving the design, implementation, and evaluation of training programmes aimed at strengthening academic self-concept, emotional regulation, and the use of metacognitive strategies. Such programmes could be developed within the framework of transversal modules, academic tutoring schemes, and university guidance services.
Finally, it would be of particular interest to replicate this research in diverse cultural contexts, both nationally and internationally, in order to assess the influence of the socio-educational environment on the formation of self-concept and academic motivation. Incorporating a broader intercultural and gender-sensitive perspective would enrich the analysis and support the development of more inclusive and contextually relevant pedagogical proposals.

Practical Implications

The findings of this study offer significant implications for university policies aimed at enhancing students’ well-being and academic performance. In particular, they underscore the need to foster an educational environment that promotes the positive development of self-concept, the satisfaction of basic psychological needs, and the consolidation of self-regulated learning strategies. To this end, higher-education institutions should adopt student-centred pedagogical approaches where there is an openness to fostering positive interpersonal relationships in the classroom based on respect, trust and mutual support, meeting the basic psychological needs for autonomy, competence, and connectedness through activities that enable students to make decisions, receive constructive feedback, and feel part of a community, and incorporating strategies that support self-regulated learning, such as teaching metacognitive skills, using formative assessments and setting personal and academic goals. Measures consistent with an institutional culture that prioritises well-being contribute to strengthening academic engagement. These three pillars have been shown to function interdependently in shaping academic engagement, as recent research has indicated (Amadó Codony et al., 2025; Romero et al., 2019).
With regard to self-concept, it is recommended that universities implement pedagogical practices that nurture a positive academic, social, and emotional self-image. The development of individualised tutoring programmes, peer mentoring schemes, and extracurricular activities may contribute significantly to reinforcing students’ academic and social identity (Le et al., 2024). In addition, the promotion of formative feedback and the recognition of individual achievements can positively influence students’ perceived self-efficacy, especially in high-demand academic contexts (Goroshit & Hen, 2022).
Concerning basic psychological needs, various studies have emphasised the importance of creating learning environments that support autonomy, competence, and social relatedness (Ryan & Deci, 2020). In this regard, active methodologies, such as project-based learning, cooperative work, and service learning, not only empower students to make decisions about their own educational process, but also enhance their sense of belonging and contribute to the development of key competencies (Granados Alós & Catalán-Gregori, 2025; Reeve & Cheon, 2021).
The promotion of self-regulated learning strategies should likewise be considered a central axis of higher education. Studies such as those conducted by Mejeh et al. (2024) and Panadero and Alonso-Tapia (2013) demonstrate that explicit training in techniques such as planning, self-assessment, and emotional regulation has a positive impact on academic achievement and resilience in the face of failure. In this sense, it is recommended to incorporate concrete practices, such as the development of personal study calendars and the definition of weekly goals (planning), the use of self-assessment rubrics and critical reflection diaries (self-assessment), as well as training in emotional management techniques, such as expressive writing, conscious breathing, and the recording of emotions (emotional regulation). Moreover, educational digital platforms may serve a facilitating role, provided they are used to foster metacognitive reflection and not merely as repositories of content (Hadwin et al., 2023).
In this sense, the recent scientific literature converges on the need for higher education institutions to adopt a holistic approach that addresses both cognitive and socio-emotional dimensions of learning. Integrating these constructs into curriculum design, teacher training, and institutional management is essential to promote successful academic trajectories and reduce dropout rates (van der Zanden et al., 2018). In this context, universities are called not only to train competent professionals, but also to support the personal and social development of students during a key stage in their lives. For this reason, it is essential to integrate into teaching practice activities that promote the establishment of personal and academic goals, the monitoring of one’s own learning, and informed decision making for study strategies. It is also advisable to employ active methodologies, such as project-based learning, the use of reflective portfolios or self-assessment rubrics, which allow students to take an active role in their learning process. Likewise, the promotion of continuous, personalised, and improvement-oriented feedback is an essential component for students to develop a self-reflective and autonomous attitude.

5. Conclusions

This study was based on the premise that self-concept, the satisfaction of basic psychological needs, and learning strategies are interrelated variables that influence university students’ academic engagement. A theoretical model was developed using structural equation modelling to analyse these relationships, considering sex as a differentiating factor.
The findings partially supported Hypothesis 1, as positive associations were found between the different dimensions of self-concept and basic psychological needs. However, some sex differences were identified; academic self-concept showed stronger associations with autonomy and competence among the males, while social self-concept was more strongly associated with relatedness among the females.
Hypothesis 2 was also partially confirmed. A positive relationship was observed between competence and autonomy needs and learning strategies, with this association being stronger among the males, contrary to the initial expectations. No significant associations were found between the need for relatedness and learning strategies in either sex. Regarding the use of specific strategies, the females demonstrated the more frequent use of elaboration strategies, while the males stood out in effort regulation.
These results have relevant implications for the scientific community and university policy design. Specifically, they highlight the importance of fostering educational contexts that promote the development of a positive self-concept, the satisfaction of basic psychological needs, and the consolidation of self-regulated learning strategies. Universities may leverage these findings to implement personalized tutoring programs, peer mentoring initiatives, and active methodologies that enhance intrinsic motivation, academic performance, and student retention.

Author Contributions

Conceptualization, R.C.-C.; methodology, R.C.-C. and J.S.-G.; software, R.C.-C.; formal analysis, R.C.-C.; investigation, R.C.-C., J.S.-G., I.S.-G. and M.C.-S.; resources, R.C.-C., J.S.-G., I.S.-G. and M.C.-S.; data curation, R.C.-C.; writing—original draft preparation, R.C.-C.; writing—review and editing, J.S.-G.; visualization, R.C.-C., J.S.-G., I.S.-G. and M.C.-S.; supervision, R.C.-C., J.S.-G., I.S.-G. and M.C.-S.; funding acquisition, J.S.-G. and R.C.-C. All authors have read and agreed to the published version of the manuscript.

Funding

This research received no external funding.

Institutional Review Board Statement

The study was conducted in accordance with the Declaration of Helsinki and was approved by the Ethics Committee of the UNIVERSITY OF GRANADA (protocol code: 2668/CEIH/2022 and date of approval: 5 April 2022).

Informed Consent Statement

Informed consent was obtained from all subjects involved in the study.

Data Availability Statement

The data are not available as they comply with the approved Ethics Committee, except for a request to the corresponding author.

Acknowledgments

We would like to thank all university students in Spain for their participation. We would also like to thank the project P21_00104 called INTERACTIVE COMMUNITIES AND HYBRID LEARNING ENVIRONMENTS FACILITATING GUIDANCE AND TUTORIAL ACTION FOR VULNERABLE YOUNG PEOPLE IN ANDALUSIAN ERACIS AREAS by the Junta de Andalucía.

Conflicts of Interest

The authors declare no conflicts of interest.

References

  1. Adams, N., Little, T. D., & Ryan, R. M. (2017). Self-determination theory. In Development of self-determination through the life-course (pp. 47–54). Springer. [Google Scholar]
  2. Akbag, M., & Ümmet, D. (2017). Predictive role of grit and basic psychological needs satisfaction on subjective well-being for young adults. Journal of Education and Practice, 8(26), 127–135. [Google Scholar]
  3. Alotaibi, K., & Alanazi, S. (2021). The influences of conceptions of mathematics and self-directed learning skills on university students’ achievement in mathematics. European Journal of Education, 56(1), 117–132. [Google Scholar] [CrossRef]
  4. Amadó Codony, A., Alsina Tarrés, M., Senar Morera, F., Llop Escorihuela, E., Verdaguer Planas, M., Comas Matas, J., Gutiérrez del Moral, M. J., Ballester-Ferrando, D., Rodríguez-Roda Layret, I., Rostan Sánchez, C., Terradellas Piferrer, M. R., & Benito Mundet, H. (2025). Análisis combinado del clima académico y el ABP: Influencia en el engagement universitario. RELIEVE—Revista Electrónica De Investigación Y Evaluación Educativa, 31(1). [Google Scholar] [CrossRef]
  5. Animasaun, I. L., & Abegunrin, O. A. (2017). Gender difference, self-efficacy, active learning strategies and academic achievement of undergraduate students in the Department of Mathematical Sciences, Federal University of Technology, Akure, Nigeria. International Journal of Teaching and Case Studies, 8(4), 255–280. [Google Scholar] [CrossRef]
  6. Arens, A. K., & Morin, A. J. (2016). Examination of the structure and grade-related differentiation of multidimensional self-concept instruments for children using ESEM. The Journal of Experimental Education, 84(2), 330–355. [Google Scholar] [CrossRef]
  7. Arnett, J. J. (2014). The winding road from the late teens through the twenties: Emerging adulthood. Oxford University Press. [Google Scholar]
  8. Augestad, L. B. (2017). Self-concept and self-esteem among children and young adults with visual impairment: A systematic review. Cogent Psychology, 4(1), 1319652. [Google Scholar] [CrossRef]
  9. Álvarez-Arregui, E., & Arreguit, X. (2019). El futuro de la universidad y la universidad del futuro. Ecosistemas de formación continua para una sociedad de aprendizaje y enseñanza sostenible y responsable. Aula Abierta, 48(4), 447–480. [Google Scholar] [CrossRef]
  10. Bartlett, J. E., Kotrlik, J. W., & Higgins, C. C. (2001). Organizational research: Determining appropriate sample size in survey research appropriate sample size in survey research. Information Technology, Learning, and Performance Journal, 19(1), 43–50. [Google Scholar] [CrossRef]
  11. Bean, C., Rocchi, M., & Forneris, T. (2019). Using the learning climate questionnaire to assess basic psychological needs support in youth sport. Journal of Applied Sport Psychology, 32(2), 1–40. [Google Scholar] [CrossRef]
  12. Bentler, P. M. (1990). Comparative fit indexes in structural models. Psychological Bulletin, 107(2), 238–246. [Google Scholar] [CrossRef]
  13. Bentler, P. M., & Bonett, D. G. (1980). Significance tests and goodness of fit in the analysis of covariance structures. Psychological Bulletin, 88(3), 588–606. [Google Scholar] [CrossRef]
  14. Berengüí-Gil, R., Castejón, M. A., Parra-Plaza, F. J., & López-Gullón, J. M. (2024). Burnout y rendimiento psicológico: Relaciones en jóvenes deportistas. Journal of Sport and Health Research, 16(2), 249–258. [Google Scholar] [CrossRef]
  15. Brown, M. T., Jensen, M., & Hussong, A. M. (2023). Parent-emerging adult text interactions and emerging adult perceived parental support of autonomy. Journal of Social and Personal Relationships, 41(2), 499–520. [Google Scholar] [CrossRef]
  16. Browne, M. W., & Cudeck, R. (1993). Alternative ways of assessing model fit. In K. A. Bollen, & J. S. Long (Eds.), Testing structural equation models (pp. 136–162). Sage. [Google Scholar]
  17. Bülow, A., Keijsers, L., Boele, S., van Roekel, E., & Denissen, J. J. (2021). Parenting adolescents in times of a pandemic: Changes in relationship quality, autonomy support, and parental control? Developmental Psychology, 57(10), 1582–1596. [Google Scholar] [CrossRef]
  18. Byrne, B. M. (2016). Structural equation modeling with AMOS: Basic concepts, applications, and programming (3rd ed.). Routledge. [Google Scholar]
  19. Castro-Sánchez, M., Zurita-Ortega, F., García-Mármol, E., & Chacón-Cuberos, R. (2019). Motivational climate towards the practice of physical activity, self-concept, and healthy factors in the school environment. Sustainability, 11(4), 999. [Google Scholar] [CrossRef]
  20. Chacón-Cuberos, R., Olmedo-Moreno, E. M., Lara-Sánchez, A. J., Zurita-Ortega, F., & Castro-Sánchez, M. (2019). Basic psychological needs, emotional regulation and academic stress in university students: A structural model according to branch of knowledge. Studies in Higher Education, 46(7), 1421–1435. [Google Scholar] [CrossRef]
  21. Chacón-Cuberos, R., Ramírez-Granizo, I., Ubago-Jiménez, J.L., & Castro-Sánchez, M. (2020). Multidimensional self-concept according to social and academic factors in university students. Journal of Sport and Health Research, 12(Suppl. 2), 107–116. [Google Scholar]
  22. Chacón-Cuberos, R., Zurita-Ortega, F., Castro-Sánchez, M., Espejo-Garcés, T., Martínez-Martínez, A., & Ruiz-Rico, G. (2018). The association of self-concept with substance abuse and problematic use of video games in university students: A structural equation model. Adicciones, 30(3), 179–188. [Google Scholar] [CrossRef]
  23. Chang, E. C., Yu, T., & Hirsch, J. K. (2023). Perfectionism and academic stress in college students: Exploring the mediating role of emotion regulation. Personality and Individual Differences, 205, 112100. [Google Scholar] [CrossRef]
  24. Chen, Y. T., Liou, S., & Chen, L. F. (2019). The relationships among gender, cognitive styles, learning strategies, and learning performance in the flipped classroom. International Journal of Human–Computer Interaction, 35(4–5), 395–403. [Google Scholar] [CrossRef]
  25. Drysdale, M. T., & McBeath, M. (2018). Motivation, self-efficacy and learning strategies of university students participating in work-integrated learning. Journal of Education and Work, 31(5–6), 478–488. [Google Scholar] [CrossRef]
  26. Emery, A. A., Heath, N. L., & Mills, D. J. (2016). Basic psychological need satisfaction, emotion dysregulation, and non-suicidal self-injury engagement in young adults: An application of self-determination theory. Journal of Youth and Adolescence, 45(3), 612–623. [Google Scholar] [CrossRef]
  27. Ergen, B., & Kanadli, S. (2017). The Effect of Self-Regulated Learning Strategies on Academic Achievement: A Meta-Analysis Study. Eurasian Journal of Educational Research, 69, 55–74. [Google Scholar] [CrossRef]
  28. Esmaeili, L., Sohrabi, N., Mehryar, A. H., & Khayyer, M. (2019). A causal model of motivational beliefs with the mediating role of academic hope on academic self-efficacy in high school students. Iranian Evolutionary and Educational Psychology Journal, 1(3), 179–185. [Google Scholar] [CrossRef][Green Version]
  29. Fernández-Castillo, A., & Chacón-Borrego, F. (2022). The mediating role of academic self-concept between feedback and engagement in university students. Journal of Educational Psychology, 114(3), 459–472. [Google Scholar] [CrossRef]
  30. Foerst, N. M., Klug, J., Jöstl, G., Spiel, C., & Schober, B. (2017). Knowledge vs. action: Discrepancies in university students’ knowledge about and self-reported use of self-regulated learning strategies. Frontiers in Psychology, 8, 1288. [Google Scholar] [CrossRef]
  31. Garcia, F., Martínez, I., Balluerka, N., Cruise, E., Garcia, O. F., & Serra, E. (2018). Validation of the five-factor self-concept questionnaire AF5 in Brazil: Testing factor structure and measurement invariance across language (Brazilian and Spanish), gender, and age. Frontiers in Psychology, 9, 2250. [Google Scholar] [CrossRef]
  32. García, F., & Musitu, G. (2001). Manual AF5 autoconcepto. TEA Ediciones. [Google Scholar]
  33. George, D., & Mallery, P. (2010). SPSS for Windows step by step: A simple guide and reference (10th ed.). Pearson. [Google Scholar]
  34. Goroshit, M., & Hen, M. (2022). Feedback, academic self-concept, and emotional engagement: Their role in learning outcomes among university students. Teaching in Higher Education, 27(6), 751–768. [Google Scholar] [CrossRef]
  35. Granados Alós, L., & Catalán-Gregori, B. (2025). Aplicación de la metodología aprendizaje-servicio en el ámbito universitario. European Public & Social Innovation Review, 10, 1–18. [Google Scholar] [CrossRef]
  36. Hadwin, A. F., Järvelä, S., & Miller, M. (2023). Self-regulated, co-regulated, and socially shared regulation of learning in online higher education: Current research and future directions. Internet and Higher Education, 56, 100871. [Google Scholar] [CrossRef]
  37. Hair, J. F., Black, W. C., Babin, B. J., & Anderson, R. E. (2010). Multivariate data analysis (7th ed.). Pearson Prentice Hall. [Google Scholar]
  38. Haktanir, A., Watson, J. C., Ermis-Demirtas, H., Karaman, M. A., Freeman, P. D., Kumaran, A., & Streeter, A. (2021). Resilience, academic self-concept, and college adjustment among first-year students. Journal of College Student Retention: Research, Theory & Practice, 23(1), 161–178. [Google Scholar] [CrossRef]
  39. Hattie, J. (2014). Self-concept. Psychology Press. [Google Scholar]
  40. Henri, D. C., Morrell, L. J., & Scott, G. W. (2018). Student perceptions of their autonomy at university. Higher Education, 75(3), 507–516. [Google Scholar] [CrossRef]
  41. Hu, L. T., & Bentler, P. M. (1999). Cutoff criteria for fit indexes in covariance structure analysis: Conventional criteria versus new alternatives. Structural Equation Modeling: A Multidisciplinary Journal, 6(1), 1–55. [Google Scholar] [CrossRef]
  42. Kim, H. Y. (2013). Statistical notes for clinical researchers: Assessing normal distribution (2) using skewness and kurtosis. Restorative Dentistry & Endodontics, 38(1), 52–54. [Google Scholar] [CrossRef]
  43. Kwon, M. S., & Jin, J. (2019). Exploring the basic psychological needs necessary for the internalized motivation of university students with smartphone overdependence: Applying a self-determination theory. Journal of Korean Academy of Psychiatric and Mental Health Nursing, 28(1), 26–36. [Google Scholar] [CrossRef]
  44. Lawson, K. M., & Kearns, D. M. (2022). Impostor phenomenon and academic identity: Challenges faced by underrepresented students in higher education. Journal of Diversity in Higher Education, 15(1), 34–45. [Google Scholar] [CrossRef]
  45. Le, H.-G., Sok, S., & Heng, K. (2024). The benefits of peer mentoring in higher education: Findings from a systematic review. Journal of Learning Development in Higher Education, (31). [Google Scholar] [CrossRef]
  46. Lobos, K., Cobo-Rendón, R., Bruna-Jofré, D., & Santana, J. (2024). New challenges for higher education: Self-regulated learning in blended learning contexts. Frontiers in Education, 9, 1457367. [Google Scholar] [CrossRef]
  47. Lohbeck, A., Von Keitz, P., Hohmann, A., & Daseking, M. (2021). Children’s physical self-concept, motivation, and physical performance: Does physical self-concept or motivation play a mediating role? Frontiers in Psychology, 12, 669936. [Google Scholar] [CrossRef]
  48. López-Cassà, E., & Bisquerra-Alzina, R. (2024). Educar en las emociones en tiempos de crisis. RELIEVE—Revista Electrónica De Investigación Y Evaluación Educativa, 30(1), M1. [Google Scholar] [CrossRef]
  49. Mahmud, M., & Nur, S. (2018). Exploring students’ learning strategies and gender differences in English language teaching. International Journal of Language Education, 2(1), 51–64. [Google Scholar] [CrossRef]
  50. Martínez-Clares, P., & González-Lorente, C. (2019). Personal and interpersonal competencies of university students entering the workforce: Validation of a scale. RELIEVE, 25(1), 6. [Google Scholar] [CrossRef]
  51. Matos, L., Sampaio, D., Ferreira, T., & Gonçalves, F. (2022). Autonomy-supportive teaching and academic engagement: The mediating role of psychological needs satisfaction. Teaching and Teacher Education, 113, 103646. [Google Scholar] [CrossRef]
  52. Mejeh, M., Stampfli, B., & Hascher, T. (2024). Understanding the promotion of self-regulated learning in upper secondary schools: How can teaching quality criteria contribute? Frontline Learning Research, 12(4), 55–84. [Google Scholar] [CrossRef]
  53. Muthuri, R. N., & Arasa, J. (2017). Gender differences in self-concept among a sample of students of the United States; international university in Africa. Annals of Behavioural Science, 3(2), 29. [Google Scholar] [CrossRef]
  54. Norrington, J. (2020). Adolescent peer victimization, self-concept, and psychological distress in emerging adulthood. Youth & Society, 53(2), 273–295. [Google Scholar] [CrossRef]
  55. Onetti-Onetti, W., Chinchilla-Minguet, J. L., Martins, F. M. L., & Castillo-Rodriguez, A. (2019). Self-concept and physical activity: Differences between high-school and university students in Spain and Portugal. Frontiers in Psychology, 10, 1333. [Google Scholar] [CrossRef] [PubMed]
  56. Paloș, R., Vîrgă, D., & Okros, N. (2024). Why should you believe in yourself? Students’ performance-approach goals shape their approach to learning through self-efficacy: A longitudinal analysis. European Journal of Education, 59, e12624. [Google Scholar] [CrossRef]
  57. Panadero, E., & Alonso-Tapia, J. (2013). Self-assessment: Theoretical and practical connotations. When it happens, how is it acquired and what to do to develop it in our students. Electronic Journal of Research in Educational Psychology, 11(2), 551–576. [Google Scholar] [CrossRef]
  58. Pardo, A., Han, F., & Ellis, R. A. (2016). Combining university student self-regulated learning indicators and engagement with online learning events to predict academic performance. IEEE Transactions on Learning Technologies, 10(1), 82–92. [Google Scholar] [CrossRef]
  59. Parker, P. D., Trautwein, U., Marsh, H. W., Basarkod, G., & Dicke, T. (2020). Development in relationship self-concept from high school to university predicts adjustment. Developmental Psychology, 56(8), 1547–1555. [Google Scholar] [CrossRef]
  60. Pintrich, P. R., Smith, D. A., Garcia, T., & McKeachie, W. J. (1993). Reliability and predictive validity of the motivated strategies for learning questionnaire (MSLQ). Educational and Psychological Measurement, 53(3), 801–813. [Google Scholar] [CrossRef]
  61. Quadlin, N. (2018). The mark of a woman’s record: Gender and academic performance in hiring. American Sociological Review, 83(2), 331–360. [Google Scholar] [CrossRef]
  62. Reeve, J., & Cheon, S. H. (2021). Autonomy-supportive teaching in higher education: Motivating students through instructional support. Journal of Educational Psychology, 113(4), 711–731. [Google Scholar] [CrossRef]
  63. Reggiani, C. F. (2013). Necesidades psicológicas básicas, enfoques de aprendizaje y atribución de la motivación al logro en estudiantes universitarios. Estudio exploratorio. Revista de Estilos de Aprendizaje, 6(11), 1–12. [Google Scholar] [CrossRef]
  64. Respondek, L., Seufert, T., Hamm, J. M., & Nett, U. E. (2020). Linking changes in perceived academic control to university dropout and university grades: A longitudinal approach. Journal of Educational Psychology, 112(5), 987–1002. [Google Scholar] [CrossRef]
  65. Rezai, M., Vahhab, Z., Izadi, F., & Jahanbani, F. (2025). Examining the Mediating Role of Digital Self-Efficacy in the Relationship Between Academic Self-Concept and Academic Performance of Students. Journal of Adolescent and Youth Psychological Studies, 5(11), 43–51. [Google Scholar] [CrossRef]
  66. Romero, L., Saucedo, C., Caliusco, M., & Gutiérrez, M. (2019). Supporting self-regulated learning and personalization using ePortfolios: A semantic approach based on learning paths. International Journal of Educational Technology in Higher Education, 16, 16. [Google Scholar] [CrossRef]
  67. Ryan, R. M., & Deci, E. L. (2017). Self-determination theory: Basic psychological needs in motivation, development, and wellness. Guilford Publications. [Google Scholar]
  68. Ryan, R. M., & Deci, E. L. (2020). Intrinsic motivation and self-determination in human behavior (2nd ed.). Springer. [Google Scholar]
  69. Sabogal, L. F., Barraza, E., Hern, A., & Zapata, L. (2011). Validación del cuestionario de motivación y estrategias de aprendizaje forma corta–MSLQ SF, en estudiantes universitarios de una institución pública-Santa Marta. Psicogente, 14(25), 36–50. [Google Scholar]
  70. Shavelson, J., Hubner, J. J., & Stanton, G. C. (1976). Self-concept: Validation of construct interpretations. Review of Educational Research, 46(3), 407–442. [Google Scholar] [CrossRef]
  71. Sheldon, K. M., & Hilpert, J. C. (2012). The balanced measure of psychological needs (BMPN) scale: An alternative domain general measure of need satisfaction. Motivation and Emotion, 36(4), 439–451. [Google Scholar] [CrossRef]
  72. Shin, J. Y., Steger, M. F., & Henry, K. L. (2016). Self-concept clarity’s role in meaning in life among American college students: A latent growth approach. Self and Identity, 15(2), 206–223. [Google Scholar] [CrossRef]
  73. Stoet, G., & Geary, D. C. (2015). Sex differences in academic achievement are not related to political, economic, or social equality. Intelligence, 48, 137–151. [Google Scholar] [CrossRef]
  74. Suhlmann, M., Sassenberg, K., Nagengast, B., & Trautwein, U. (2018). Belonging mediates effects of student-university fit on well-being, motivation, and dropout intention. Social Psychology, 49, 16–28. [Google Scholar] [CrossRef]
  75. Theobald, M. (2021). Self-regulated learning training programs enhance university students’ academic performance, self-regulated learning strategies, and motivation: A meta-analysis. Contemporary Educational Psychology, 66, 101976. [Google Scholar] [CrossRef]
  76. Timmermans, A. C., & Rubie-Davies, C. M. (2022). Gender and minority background as moderators of teacher expectation effects on self-concept, subjective task values, and academic performance. European Journal of Psychology of Education, 38(4), 1677–1705. [Google Scholar] [CrossRef]
  77. Torres Sahão, F., & Kienen, N. (2021). Adaptação e saúde mental do estudante universitário: Revisão Sistemática da literatura. Psicologia Escolar e Educacional, 25, 1–13. [Google Scholar] [CrossRef]
  78. van der Zanden, P. J. A. C., Denessen, E., Cillessen, A. H. N., & Meijer, P. C. (2018). Domains and predictors of first-year student success: A systematic review. Educational Research Review, 23, 57–77. [Google Scholar] [CrossRef]
  79. Vansteenkiste, M., Ryan, R. M., & Soenens, B. (2020). Basic psychological need theory: Advancements, critical themes, and future directions. Motivation and Emotion, 44, 1–31. [Google Scholar] [CrossRef]
  80. Yavuzalp, N., & Bahcivan, E. (2021). A structural equation modeling analysis of relationships among university students’ readiness for e-learning, self-regulation skills, satisfaction, and academic achievement. Research and Practice in Technology Enhanced Learning, 16(1), 15. [Google Scholar] [CrossRef]
Figure 1. Theoretical model. PN-A, need for autonomy; PN-C, need for competence; PN-R, need for relatedness; A-SC, academic self-concept; S-SC, social self-concept; E-SC, emotional self-concept; F-SC, family self-concept; P-SC, physical self-concept; L-S, leaning strategies; E-S, elaboration strategies; O-S, organisational strategies; CT-S, critical thinking; MC-S, self-regulation of meta-cognition; T-S, time and study habits; SR-S, self-regulation of effort.
Figure 1. Theoretical model. PN-A, need for autonomy; PN-C, need for competence; PN-R, need for relatedness; A-SC, academic self-concept; S-SC, social self-concept; E-SC, emotional self-concept; F-SC, family self-concept; P-SC, physical self-concept; L-S, leaning strategies; E-S, elaboration strategies; O-S, organisational strategies; CT-S, critical thinking; MC-S, self-regulation of meta-cognition; T-S, time and study habits; SR-S, self-regulation of effort.
Education 15 00873 g001
Figure 2. SEM for males. Note: PN-A, need for autonomy; PN-C, need for competence; PN-R, need for relatedness; A-SC, academic self-concept; S-SC, social self-concept; E-SC, emotional self-concept; F-SC, family self-concept; P-SC, physical self-concept; L-S, learning strategies; E-S, elaboration strategies; O-S, organisational strategies; CT-S, critical thinking; MC-S, self-regulation of meta-cognition; T-S, time and study habits; SR-S, self-regulation of effort.
Figure 2. SEM for males. Note: PN-A, need for autonomy; PN-C, need for competence; PN-R, need for relatedness; A-SC, academic self-concept; S-SC, social self-concept; E-SC, emotional self-concept; F-SC, family self-concept; P-SC, physical self-concept; L-S, learning strategies; E-S, elaboration strategies; O-S, organisational strategies; CT-S, critical thinking; MC-S, self-regulation of meta-cognition; T-S, time and study habits; SR-S, self-regulation of effort.
Education 15 00873 g002
Figure 3. SEM for females. Note: PN-A, need for autonomy; PN-C, need for competence; PN-R, need for relatedness; A-SC, academic self-concept; S-SC, social self-concept; E-SC, emotional self-concept; F-SC, family self-concept; P-SC, physical self-concept; L-S, learning strategies; E-S, elaboration strategies; O-S, organisational strategies; CT-S, critical thinking; MC-S, self-regulation of meta-cognition; T-S, time and study habits; SR-S, self-regulation of effort.
Figure 3. SEM for females. Note: PN-A, need for autonomy; PN-C, need for competence; PN-R, need for relatedness; A-SC, academic self-concept; S-SC, social self-concept; E-SC, emotional self-concept; F-SC, family self-concept; P-SC, physical self-concept; L-S, learning strategies; E-S, elaboration strategies; O-S, organisational strategies; CT-S, critical thinking; MC-S, self-regulation of meta-cognition; T-S, time and study habits; SR-S, self-regulation of effort.
Education 15 00873 g003
Table 1. Regression weights for males.
Table 1. Regression weights for males.
Association Between VariablesRWSRW
ESTESCRpEST
PN-AA-SC0.2560.0347.499***0.246
PN-AS-SC0.1020.0333.061**0.105
PN-AE-SC−0.0140.028−0.5060.613−0.016
PN-RE-SC−0.1210.026−4.620***−0.124
PN-RF-SC0.0940.0332.875**0.081
PN-RP-SC0.1700.0315.507***0.168
PN-RA-SC0.0690.0322.167*0.061
PN-RS-SC0.5530.03117.893***0.528
PN-AF-SC0.1060.0352.994**0.099
PN-AP-SC0.1770.0335.283***0.188
PN-CE-SC0.0040.0180.2280.8200.005
PN-CA-SC0.4520.02220.298***0.489
PN-CS-SC−0.0180.025−0.7160.474−0.020
PN-CF-SC0.1310.0235.835***0.138
PN-CP-SC0.0230.0221.0510.2930.027
PN-CPN-A0.2770.02113.347***0.313
PN-CPN-R0.0790.0223.529***0.097
L-SPN-A0.1780.0266.830***0.235
L-SPN-C0.4040.03112.842***0.473
L-SPN-R−0.0310.021−1.4640.143−0.044
SR-SL-S1.000--***0.828
T-SL-S0.9240.03824.104***0.724
MC-SL-S0.9250.03228.656***0.822
CT-SL-S0.8060.04020.070***0.626
O-SL-S0.9740.04720.624***0.640
E-SL-S0.9300.03328.206***0.813
P-SCA-SC0.2040.01711.728***0.418
A-SCS-SC0.1220.0167.580***0.258
A-SCE-SC−0.0010.017−0.0570.954−0.002
A-SCF-SC0.1180.0158.088***0.276
S-SCE-SC0.1700.0199.058***0.312
S-SCF-SC0.1720.01610.682***0.376
P-SCS-SC0.2300.01912.180***0.438
E-SCF-SC0.1010.0176.116***0.205
P-SCE-SC0.1240.0196.571***0.221
P-SCF-SC0.1810.01710.826***0.381
Note: *, p < 0.05, **, p < 0.01; ***, p < 0.005.
Table 2. Regression weights for women.
Table 2. Regression weights for women.
Associations Between VariablesRWSRW
ESTESCRpEST
PN-AA-SC0.1660.0276.076***0.146
PN-AS-SC0.1100.0234.768***0.124
PN-AE-SC0.0030.0190.1420.8870.003
PN-RE-SC−0.0520.018−2.874**−0.055
PN-RF-SC0.0620.0212.939**0.058
PN-RP-SC0.0110.0210.5200.6030.011
PN-RA-SC0.1520.0265.921***0.118
PN-RS-SC0.5790.02226.806***0.577
PN-AF-SC0.0180.0230.7850.4320.019
PN-AP-SC0.1710.0227.656***0.192
PN-CE-SC0.0240.0122.001*0.035
PN-CA-SC0.4670.01826.657***0.497
PN-CS-SC−0.0480.017−2.776**−0.065
PN-CF-SC0.0600.0144.215***0.077
PN-CP-SC−0.0310.014−2.213*−0.043
PN-CPN-A0.2450.01516.566***0.296
PN-CPN-R0.1350.0168.547***0.185
L-SPN-A0.1340.0159.096***0.223
L-SPN-C0.2930.01915.072***0.401
L-SPN-R0.0240.0121.9210.0550.045
SR-SL-S1.000--***0.769
T-SL-S1.0090.03528.743***0.689
MC-SL-S1.0380.03331.361***0.747
CT-SL-S0.9480.03824.848***0.602
O-SL-S1.0320.04025.646***0.620
E-SL-S1.0670.03233.022***0.784
P-SCA-SC0.1670.01114.559***0.364
A-SCS-SC0.1350.01111.955***0.293
A-SCE-SC0.0480.0124.146***0.098
A-SCF-SC0.0930.0109.011***0.217
S-SCE-SC0.2050.01613.095***0.323
S-SCF-SC0.1930.01414.113***0.352
P-SCS-SC0.2290.01515.444***0.389
E-SCF-SC0.0790.0145.680***0.135
P-SCE-SC0.1090.0157.265***0.173
P-SCF-SC0.1440.01310.829***0.263
Note: *, p < 0.05, **, p < 0.01; ***, p < 0.005.
Disclaimer/Publisher’s Note: The statements, opinions and data contained in all publications are solely those of the individual author(s) and contributor(s) and not of MDPI and/or the editor(s). MDPI and/or the editor(s) disclaim responsibility for any injury to people or property resulting from any ideas, methods, instructions or products referred to in the content.

Share and Cite

MDPI and ACS Style

Chacón-Cuberos, R.; Serrano-García, J.; Serrano-García, I.; Castro-Sánchez, M. Self-Concept Modulates Motivation and Learning Strategies in Higher Education: Comparison According to Sex. Educ. Sci. 2025, 15, 873. https://doi.org/10.3390/educsci15070873

AMA Style

Chacón-Cuberos R, Serrano-García J, Serrano-García I, Castro-Sánchez M. Self-Concept Modulates Motivation and Learning Strategies in Higher Education: Comparison According to Sex. Education Sciences. 2025; 15(7):873. https://doi.org/10.3390/educsci15070873

Chicago/Turabian Style

Chacón-Cuberos, Ramón, Jennifer Serrano-García, Inmaculada Serrano-García, and Manuel Castro-Sánchez. 2025. "Self-Concept Modulates Motivation and Learning Strategies in Higher Education: Comparison According to Sex" Education Sciences 15, no. 7: 873. https://doi.org/10.3390/educsci15070873

APA Style

Chacón-Cuberos, R., Serrano-García, J., Serrano-García, I., & Castro-Sánchez, M. (2025). Self-Concept Modulates Motivation and Learning Strategies in Higher Education: Comparison According to Sex. Education Sciences, 15(7), 873. https://doi.org/10.3390/educsci15070873

Note that from the first issue of 2016, this journal uses article numbers instead of page numbers. See further details here.

Article Metrics

Back to TopTop