Audiovisual Dual-Tasking and the Characteristics of Concurrent Information Processing in Young Children
Abstract
1. Introduction
2. Systematic Examination of Prior Studies
2.1. Psychological Refractory Period (PRP) Effect
2.2. Dual-Task Performance in Children Using the PRP Paradigm
2.3. Audiovisual Dual-Task Performance in Young Children
2.4. Cognitive Development and Dual-Task Performance in Young Children
- (1)
- What differences do young children show in dual-tasking and PRP under different task presentation conditions (SOA and task difficulty)?
- (2)
- Are there differences in young children’s dual-tasking and PRP depending on the processing order of auditory and visual stimuli (visual–auditory or auditory–visual)?
- (3)
- Are there interaction effects between the order of processing auditory and visual stimuli and task presentation conditions?
- (1)
- The RT2 and PRP in young children will increase when the SOA decreased. However, the RT1 will not differ according to the SOA.
- (2)
- The RT1, RT2 and PRP in young children will increase in the condition of high task 1 difficulty compared with low task 1 difficulty.
- (3)
- Depending on the decrease in SOA, the increase in the RT2 and PRP will be more significant (PRP effect would increase) in the condition of high task 1 difficulty compared with low task 1 difficulty.
- (4)
- The RT1, RT2 and PRP in young children will be shorter in auditory–visual dual-tasking than in visual–auditory dual-tasking.
- (5)
- The difference in the RT2 and PRP between auditory–visual and visual–auditory dual-tasking will be larger in the short SOA condition compared to the long SOA condition.
- (6)
- The difference in the RT1, RT2 and PRP between auditory–visual and visual–auditory dual-tasking will increase in high task 1 difficulty compared with low task 1 difficulty.
3. Materials and Methods
3.1. Participants
3.2. Materials
3.2.1. Dual-Tasking Toolkit
- V–A dual-tasks
- A–V dual-tasks
3.2.2. Uni-Task Toolkit
3.2.3. Attention and Executive Function Measurement Toolkit
3.3. Procedure
3.3.1. Pilot Study
3.3.2. Main Study
3.4. Data Analysis
4. Results
4.1. Descriptive Statistics for Attention and Executive Function Scores and Their Correlation with PRP
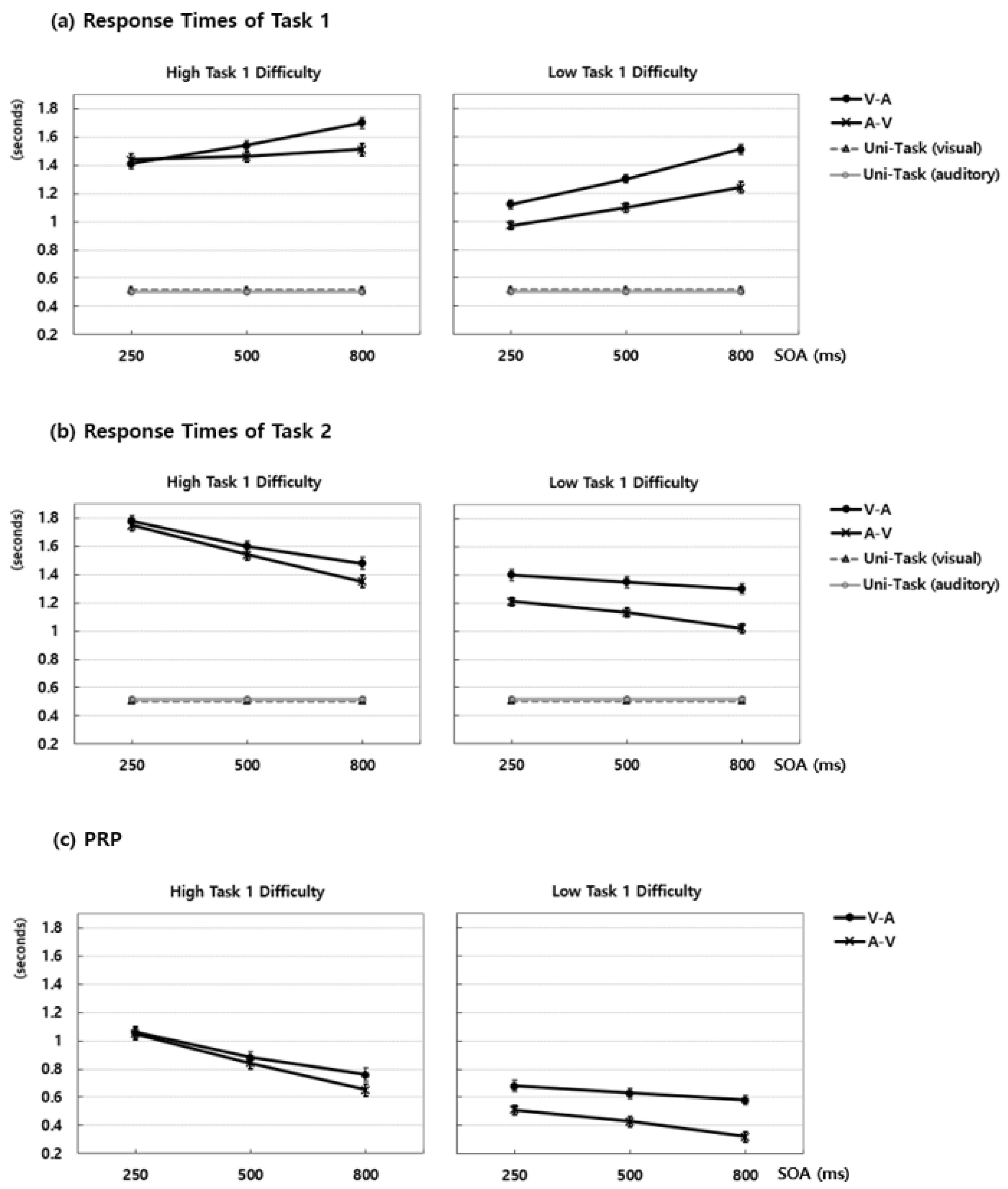
4.2. Dual-Tasking and PRP in Young Children by Task Conditions (SOA, Task 1 Difficulty)
4.3. Dual-Tasking and PRP in Young Children by Processing Order of Auditory and Visual Stimuli
4.4. Interaction Between Stimulus Order and Task Presentation Conditions
5. Discussion
5.1. Presence of a Sequential Processing System
5.2. Effects of Cognitive Load in Dual-Tasking
5.3. Efficiency of Auditory Processing and Salience of Visual Stimulus
5.4. Influence of Children’s Attention and Executive Function on Their PRP Dual-Tasking
5.5. Significance of the Study
5.6. Limitations and Future Directions
6. Conclusions
Author Contributions
Funding
Institutional Review Board Statement
Informed Consent Statement
Data Availability Statement
Acknowledgments
Conflicts of Interest
| 1 | Some studies have investigated responses to audiovisual stimuli using event-related potentials (ERPs), which measure brain activity associated with stimulus processing (Deng et al., 2016). In contrast, the psychological refractory period (PRP) paradigm assesses reaction times during task execution. While it does not directly measure processing depth, it effectively compares performance interference across different stimulus presentation conditions (Pashler, 1994). |
| 2 | For example, if a participant’s reaction time to S1 in a single-task condition is 5 s and to S2 is 7 s, then in a dual-task condition where both stimuli are presented sequentially, the recorded times may be 5 s for S1 and 10 s for S2. This 3 s delay in processing the second stimulus is known as the psychological refractory period (PRP), reflecting the time during which its processing is temporarily postponed due to the ongoing processing of S1. |
| 3 | Short-term memory temporarily stores and simultaneously processes incoming information; it is often interchangeably referred to as working memory. However, its controlled processing function has recently been recognized as a subcomponent of executive function. In this study, we distinguish short-term memory as the storage of visual and auditory information, while categorizing higher-order cognitive functions—such as data processing, evaluation, and decision making—under executive function as part of working memory (Baddeley, 1986; Baddeley & Hitch, 1974). |
| 4 | E-Prime is one of the most comprehensive stimulus presentation software programs, providing systematic control over the timing and duration of visual and auditory stimuli. It also enables precise measurement of participants’ reaction times, making it an essential tool in cognitive psychology experiments. In this study, the dual-task toolkit consisted of a laptop with E-Prime installed and a task execution file specifically designed for the experiment. The researcher ran the task execution file on the laptop to present stimuli to the children, who responded by pressing designated keys on the keyboard when visual or auditory stimuli (such as shapes, colors, and sounds) appeared on the screen. |
| 5 | This measure of the PRP is different than the PRP effect commonly reported in adult studies (RT2_longSOA–RT2_shortSOA). |
References
- Arnell, K. M., & Duncan, J. (2002). Separate and shared sources of dual-task cost in stimulus identification and response selection. Cognitive Psychology, 44(2), 105–147. [Google Scholar] [CrossRef] [PubMed]
- Ayres, A. J., & Mailloux, Z. (1981). Influence of sensory integration procedures on language development. The American Journal of Occupational Therapy, 35(6), 383–390. [Google Scholar] [CrossRef]
- Baddeley, A. D. (1986). Working memory. Oxford University Press. [Google Scholar]
- Baddeley, A. D., & Hitch, G. (1974). Working memory. Psychology of Learning and Motivation, 8, 47–89. [Google Scholar]
- Badwe, N., Patil, K. B., Yelam, S. B., Vikhe, B. B., & Vatve, M. S. (2012). A comparative study of hand reaction time to visual stimuli in students of 1st MBBS of a Rural Medical College. Pravara Medical Review, 4(1), 4–6. [Google Scholar]
- Balaban, M. T., & Waxman, S. R. (1997). Do words facilitate object categorization in 9-month-old infants? Journal of Experimental Child Psychology, 64(1), 3–26. [Google Scholar] [CrossRef]
- Barkley, R. A. (1997). Behavioral inhibition, sustained attention, and executive functions: Constructing a unifying theory of ADHD. Psychological Bulletin, 121(1), 65–94. [Google Scholar] [CrossRef] [PubMed]
- Becker, D. R., Miao, A., Duncan, R., & McClelland, M. M. (2014). Behavioral self-regulation and executive function both predict visuomotor skills and early academic achievement. Early Childhood Research Quarterly, 29(4), 411–424. [Google Scholar] [CrossRef]
- Birch, L. L. (1976). Age trends in children’s time-sharing performance. Journal of Experimental Child Psychology, 22(2), 331–345. [Google Scholar] [CrossRef]
- Birch, L. L. (1978). Baseline differences, attention, and age differences in time-sharing performance. Journal of Experimental Child Psychology, 25(3), 505–513. [Google Scholar] [CrossRef]
- Bogartz, R. S. (1976). On the meaning of statistical interactions. Journal of Experimental Child Psychology, 22(1), 178–183. [Google Scholar] [CrossRef]
- Brisson, B., & Jolicœur, P. (2007a). A psychological refractory period in access to visual short-term memory and the deployment of visual–spatial attention: Multitasking processing deficits revealed by event-related potentials. Psychophysiology, 44(2), 323–333. [Google Scholar] [CrossRef]
- Brisson, B., & Jolicœur, P. (2007b). Cross-modal multitasking processing deficits prior to the central bottleneck revealed by event-related potentials. Neuropsychologia, 45(13), 3038–3053. [Google Scholar] [CrossRef] [PubMed]
- Bruce, V., Green, P. R., & Georgeson, M. A. (1996). Visual perception: Physiology, psychology, and ecology (3rd ed.). Psychology Press. [Google Scholar]
- Bühner, M., König, C. J., Pick, M., & Krumm, S. (2006). Working memory dimensions as differential predictors of the speed and error aspect of multitasking performance. Human Performance, 19(3), 253–275. [Google Scholar] [CrossRef]
- Cardoso-Leite, P., Green, C. S., & Bavelier, D. (2015). On the impact of new technologies on multitasking. Developmental Review, 35, 98–112. [Google Scholar] [CrossRef]
- Case, R. (1985). Intellectual development: Birth to adulthood. Academic Press. [Google Scholar]
- Casey, B. J., Galvan, A., & Hare, T. A. (2005). Changes in cerebral functional organization during cognitive development. Current Opinion in Neurobiology, 15(2), 239–244. [Google Scholar] [CrossRef] [PubMed]
- Chung, C.-H., & Kim, A.-S. (1991). The effects of inter-stimulus intervals and number of alternatives on psychological refractory period. Korean Journal of Sport Psychology, 2(1), 3–12. [Google Scholar]
- Colom, R., Martínez-Molina, A., Shih, P. C., & Santacreu, J. (2010). Intelligence, working memory, and multitasking performance. Intelligence, 38(6), 543–551. [Google Scholar] [CrossRef]
- Crooks, S. M., Cheon, J., Inan, F., Ari, F., & Flores, R. (2012). Modality and cueing in multimedia learning: Examining cognitive and perceptual explanations for the modality effect. Computers in Human Behavior, 28(3), 1063–1071. [Google Scholar] [CrossRef]
- Crossley, M., & Hiscock, M. (1992). Age-related differences in concurrent-task performance of normal adults: Evidence for a decline in processing resources. Psychology and Aging, 7(4), 499–506. [Google Scholar] [CrossRef]
- Danis, A., Pêcheux, M. G., Lefèvre, C., Bourdais, C., & Serres-Ruel, J. (2008). A continuous performance task in preschool children: Relations between attention and performance. European Journal of Developmental Psychology, 5(4), 401–418. [Google Scholar] [CrossRef]
- Deng, X., Rosenfeld, J. P., Ward, A., & Labkovsky, E. (2016). Superiority of visual (verbal) vs. auditory test presentation modality in a P300-based CIT: The Complex Trial Protocol for concealed autobiographical memory detection. International Journal of Psychophysiology, 105, 26–34. [Google Scholar] [CrossRef]
- Fernández, S. R., Leonhard, T., Rolke, B., & Ulrich, R. (2011). Processing two tasks with varying task order: Central stage duration influences central processing order. Acta Psychologica, 137(1), 10–17. [Google Scholar] [CrossRef]
- Fischer, R., & Hommel, B. (2012). Deep thinking increases task-set shielding and reduces shifting flexibility in dual-task performance. Cognition, 123(2), 303–307. [Google Scholar] [CrossRef]
- Fries, P., Reynolds, J. H., Rorie, A. E., & Desimone, R. (2001). Modulation of oscillatory neuronal synchronization by selective visual attention. Science, 291(5508), 1560–1563. [Google Scholar] [CrossRef] [PubMed]
- Garon, N., Bryson, S. E., & Smith, I. M. (2008). Executive function in preschoolers: A review using an integrative framework. Psychological Bulletin, 134(1), 31–60. [Google Scholar] [CrossRef]
- Gathercole, S. E. (1999). Cognitive approaches to the development of short-term memory. Trends in Cognitive Sciences, 3(11), 410–419. [Google Scholar] [CrossRef] [PubMed]
- Ghirardelli, T. G., & Scharine, A. A. (2009). Auditory–visual interactions. In C. E. Rash, M. B. Russo, T. R. Letowski, & E. T. Schmeisser (Eds.), Helmet-mounted displays: Sensation, perception and cognition issues (pp. 599–618). US Army Aeromedical Research Lab. [Google Scholar]
- Guy, J., Rogers, M., & Cornish, K. (2012). Developmental changes in visual and auditory inhibition in early childhood. Infant and Child Development, 21(5), 521–536. [Google Scholar] [CrossRef]
- Halford, G. S., Maybery, M. T., & Bain, J. D. (1986). Capacity limitations in children’s reasoning: A dual-task approach. Child Development, 57, 616–627. [Google Scholar] [CrossRef]
- Hartley, A. A., Jonides, J., & Sylvester, C. Y. C. (2011). Dual-task processing in younger and older adults: Similarities and differences revealed by fMRI. Brain and Cognition, 75(3), 281–291. [Google Scholar] [CrossRef]
- Hibberd, D. L., Jamson, S. L., & Carsten, O. M. (2010, November 11–12). Managing in-vehicle distractions: Evidence from the psychological refractory period paradigm. 2nd International Conference on Automotive User Interfaces and Interactive Vehicular Applications (AutomotiveUI 2010), Pittsburgh, PA, USA. [Google Scholar]
- Hibberd, D. L., Jamson, S. L., & Carsten, O. M. (2013). Mitigating the effects of in-vehicle distractions through use of the Psychological Refractory Period paradigm. Accident Analysis & Prevention, 50, 1096–1103. [Google Scholar]
- Hirst, R. J., Cragg, L., & Allen, H. A. (2018a). Vision dominates audition in adults but not children: A meta-analysis of the Colavita effect. Neuroscience & Biobehavioral Reviews, 94, 286–301. [Google Scholar]
- Hirst, R. J., Stacey, J. E., Cragg, L., Stacey, P. C., & Allen, H. A. (2018b). The threshold for the McGurk effect in audio-visual noise decreases with development. Scientific Reports, 8(1), 12372. [Google Scholar] [CrossRef] [PubMed]
- Holtzer, R., Stern, Y., & Rakitin, B. C. (2005). Predicting age-related dual-task effects with individual differences on neuropsychological tests. Neuropsychology, 19(1), 18–27. [Google Scholar] [CrossRef] [PubMed]
- Hong, S. H. (2005). Difference in information processing capacity by age and sex of elementary and middle school students [Master’s thesis, Changwon National University]. [Google Scholar]
- Irwin-Chase, H., & Burns, B. (2000). Developmental changes in children’s abilities to share and allocate attention in a dual task. Journal of Experimental Child Psychology, 77(1), 61–85. [Google Scholar] [CrossRef]
- Janczyk, M., Pfister, R., Hommel, B., & Kunde, W. (2014). Who is talking in backward crosstalk? Disentangling response-from goal-conflict in dual-task performance. Cognition, 132(1), 30–43. [Google Scholar] [CrossRef]
- Kee, D. W., & Davies, L. (1988). Mental effort and elaboration: A developmental analysis. Contemporary Educational Psychology, 13(3), 221–228. [Google Scholar] [CrossRef]
- Kim, B., & Yi, S. H. (2017). Multiple task performance and Psychological Refractory Period in children: Focusing on PRP paradigm tasks. Korean Journal of Child Studies, 38(3), 75–90. [Google Scholar] [CrossRef]
- Koo, H. J., & Shin, M. S. (2008). A standardization study of children’s color trails test (CCTT). Journal of the Korean Academy of Child and Adolescent Psychiatry, 19(1), 28–37. [Google Scholar]
- König, C. J., Bühner, M., & Mürling, G. (2005). Working memory, fluid intelligence, and attention are predictors of multitasking performance, but polychronicity and extraversion are not. Human Performance, 18(3), 243–266. [Google Scholar] [CrossRef]
- Krumbholz, K., Patterson, R. D., Nobbe, A., & Fastl, H. (2003). Microsecond temporal resolution in monaural hearing without spectral cues? The Journal of the Acoustical Society of America, 113(5), 2790–2800. [Google Scholar] [CrossRef]
- Laguë-Beauvais, M., Gagnon, C., Castonguay, N., & Bherer, L. (2013). Individual differences effects on the psychological refractory period. SpringerPlus, 2, 1–10. [Google Scholar] [CrossRef] [PubMed]
- Lee, J. J., & Chabris, C. F. (2013). General cognitive ability and the psychological refractory period: Individual differences in the mind’s bottleneck. Psychological Science, 24(7), 1226–1233. [Google Scholar] [CrossRef] [PubMed]
- Leonard, J. A. (1959). Tactual choice reactions: I. Quarterly Journal of Experimental Psychology, 11(2), 76–83. [Google Scholar] [CrossRef]
- Lewis, C., Koyasu, M., Oh, S., Ogawa, A., Short, B., & Huang, Z. (2009). Culture, executive function, and social understanding. New Directions for Child and Adolescent Development, 2009(123), 69–85. [Google Scholar] [CrossRef] [PubMed]
- Lien, M. C., & Proctor, R. W. (2002). Stimulus-response compatibility and psychological refractory period effects: Implications for response selection. Psychonomic Bulletin & Review, 9, 212–238. [Google Scholar]
- Logan, G. D., & Gordon, R. D. (2001). Executive control of visual attention in dual-task situations. Psychological Review, 108(2), 393–434. [Google Scholar] [CrossRef]
- Luciana, M., & Nelson, C. A. (2002). Assessment of neuropsychological function through use of the Cambridge Neuropsychological Testing Automated Battery: Performance in 4-to 12-year-old children. Developmental Neuropsychology, 22(3), 595–624. [Google Scholar] [CrossRef]
- Mahar, D., Mackenzie, B., & McNicol, D. (1994). Modality-specific differences in the processing of spatially, temporally, and spatiotemporally distributed information. Perception, 23(11), 1369–1386. [Google Scholar] [CrossRef]
- Mateeff, S., Hohnsbein, J., & Noack, T. (1985). Dynamic visual capture: Apparent auditory motion induced by a moving visual target. Perception, 14(6), 721–727. [Google Scholar] [CrossRef]
- Mayer, R. E., & Moreno, R. (2003). Nine ways to reduce cognitive load in multimedia learning. Educational Psychologist, 38(1), 43–52. [Google Scholar] [CrossRef]
- McCann, R. S., & Johnston, J. C. (1992). Locus of the single-channel bottleneck in dual-task interference. Journal of Experimental Psychology: Human Perception and Performance, 18(2), 471–484. [Google Scholar] [CrossRef]
- McGurk, H., & MacDonald, J. (1976). Hearing lips and seeing voices. Nature, 264(5588), 746–748. [Google Scholar] [CrossRef] [PubMed]
- Mercimek, B., Akbulut, Y., Dönmez, O., & Sak, U. (2020). Multitasking impairs learning from multimedia across gifted and non-gifted students. Educational Technology Research and Development, 68, 995–1016. [Google Scholar] [CrossRef]
- Miyake, A., Friedman, N. P., Emerson, M. J., Witzki, A. H., Howerter, A., & Wager, T. D. (2000). The unity and diversity of executive functions and their contributions to complex “frontal lobe” tasks: A latent variable analysis. Cognitive Psychology, 41(1), 49–100. [Google Scholar] [CrossRef] [PubMed]
- Monsell, S. (2003). Task switching. Trends in Cognitive Sciences, 7(3), 134–140. [Google Scholar] [CrossRef]
- Mousavi, S. Y., Low, R., & Sweller, J. (1995). Reducing cognitive load by mixing auditory and visual presentation modes. Journal of Educational Psychology, 87(2), 319–334. [Google Scholar] [CrossRef]
- Napolitano, A. C., & Sloutsky, V. M. (2004). Is a picture worth a thousand words? The flexible nature of modality dominance in young children. Child Development, 75(6), 1850–1870. [Google Scholar] [CrossRef]
- Norrix, L. W., Plante, E., Vance, R., & Boliek, C. A. (2007). Auditory–visual integration for speech by children with and without specific language impairment. Journal of Speech, Language, and Hearing Research, 50(6), 1639–1651. [Google Scholar] [CrossRef]
- Oh, S., & Lewis, C. (2008). Korean preschoolers’ advanced inhibitory control and its relation to other executive skills and mental state understanding. Child Development, 79(1), 80–99. [Google Scholar] [CrossRef]
- Park, G.-G., & Lee, K.-H. (2003). Effects of the inter-stimulus intervals and the athletic experience on psychological refractory period. Korean Journal of Sports Science, 12(2), 245–254. [Google Scholar]
- Pashler, H. (1994). Dual-task interference in simple tasks: Data and theory. Psychological Bulletin, 116(2), 220–244. [Google Scholar] [CrossRef]
- Piaget, J., & Cook, M. (1952). The origins of intelligence in children. International Universities Press. [Google Scholar]
- Rammsayer, T. H. (2014). The effects of type of interval, sensory modality, base duration, and psychophysical task on the discrimination of brief time intervals. Attention, Perception, & Psychophysics, 76, 1185–1196. [Google Scholar]
- Reck, S. G., & Hund, A. M. (2011). Sustained attention and age predict inhibitory control during early childhood. Journal of Experimental Child Psychology, 108(3), 504–512. [Google Scholar] [CrossRef]
- Riby, L. M., Perfect, T. J., & Stollery, B. T. (2004). The effects of age and task domain on dual task performance: A meta-analysis. European Journal of Cognitive Psychology, 16(6), 863–891. [Google Scholar] [CrossRef]
- Robinson, C. W., & Sloutsky, V. M. (2004). Auditory dominance and its change in the course of development. Child Development, 75(5), 1387–1401. [Google Scholar] [CrossRef] [PubMed]
- Robinson, C. W., & Sloutsky, V. M. (2010). Development of cross-modal processing. Wiley Interdisciplinary Reviews: Cognitive Science, 1(1), 135–141. [Google Scholar] [CrossRef] [PubMed]
- Ruff, H. A., & Lawson, K. R. (1990). Development of sustained, focused attention in young children during free play. Developmental Psychology, 26(1), 85–93. [Google Scholar] [CrossRef]
- Simons, D. J. (2000). Attentional capture and inattentional blindness. Trends in Cognitive Sciences, 4(4), 147–155. [Google Scholar] [CrossRef]
- Simpson, A., & Riggs, K. J. (2005). Inhibitory and working memory demands of the day–night task in children. British Journal of Developmental Psychology, 23(3), 471–486. [Google Scholar] [CrossRef]
- Sloutsky, V. M., & Napolitano, A. C. (2003). Is a picture worth a thousand words? Preference for auditory modality in young children. Child Development, 74(3), 822–833. [Google Scholar] [CrossRef]
- Song, E.-S. (1995). Effects of the length of inter-stimulus intervals, number of stimulus-response alternatives, sport experience and sex on the psychological refractory period. Korean Journal of Sport Psychology, 6(2), 1–16. [Google Scholar]
- Song, H., & Jinyu, A. (2017). The relationship between executive functions and IQ in Korean children and the comparison with Chinese children. Applied Neuropsychology: Child, 6(2), 158–165. [Google Scholar] [CrossRef]
- Spitzer, H., Desimone, R., & Moran, J. (1988). Increased attention enhances both behavioral and neuronal performance. Science, 240(4850), 338–340. [Google Scholar] [CrossRef] [PubMed]
- Steinmetz, P. N., Roy, A., Fitzgerald, P. J., Hsiao, S. S., Johnson, K. O., & Niebur, E. (2000). Attention modulates synchronized neuronal firing in primate somatosensory cortex. Nature, 404(6774), 187–190. [Google Scholar] [CrossRef]
- Thompson, P. M., Giedd, J. N., Woods, R. P., MacDonald, D., Evans, A. C., & Toga, A. W. (2000). Growth patterns in the developing brain detected by using continuum mechanical tensor maps. Nature, 404(6774), 190–193. [Google Scholar] [CrossRef] [PubMed]
- Ulrich, R., & Miller, J. (2008). Response grouping in the psychological refractory period (PRP) paradigm: Models and contamination effects. Cognitive Psychology, 57(2), 75–121. [Google Scholar] [CrossRef]
- Van Selst, M., & Jolicoeur, P. (1994). Can mental rotation occur before the dual-task bottleneck? Journal of Experimental Psychology: Human Perception and Performance, 20(4), 905–921. [Google Scholar] [CrossRef]
- Welford, A. T. (1952). The psychological refractory period and the timing of high-speed performance—A review and a theory. British Journal of Psychology, 43(1), 2. [Google Scholar] [CrossRef]
- Williams, J., Rickert, V., Hogan, J., Zolten, A. J., Satz, P., D’Elia, L. F., Asarnow, R. F., Zaucha, K., & Light, R. (1995). Children’s color trails. Archives of Clinical Neuropsychology, 10(3), 211–223. [Google Scholar] [CrossRef]






| Subtasks | Difficulty of Task 1 | Task 1 | Task 2 |
|---|---|---|---|
| V–A dual-tasks | Low | Shape Response | Sound Discrimination 2 |
| High | Shape Discrimination | Sound Discrimination 2 | |
| A–V dual-tasks | Low | Sound Response 1 | Color Discrimination |
| High | Sound Discrimination 1 | Color Discrimination |
| Task | Min | Max | M (SD) |
|---|---|---|---|
| CCTT-1 | 0.27 | 1.62 | 0.70 (0.27) |
| CCTT-2 | 0.67 | 3.67 | 1.46 (0.53) |
| Total CCTT | 1.13 | 5.28 | 2.16 (0.74) |
| PRP in V–A dual-tasking | ||||||
| Low Task 1 Difficulty | High Task 1 Difficulty | |||||
| (SOA) 250 ms | 500 ms | 800 ms | 250 ms | 500 ms | 800 ms | |
| Attention and Executive Function | 0.15 | 0.19 | 0.02 | 0.22 | 0.14 | 0.11 |
| PRP in A–V dual-tasking | ||||||
| Low Task 1 Difficulty | High Task 1 Difficulty | |||||
| (SOA) 250 ms | 500 ms | 800 ms | 250 ms | 500 ms | 800 ms | |
| Attention and Executive Function | 0.35 ** | 0.33 ** | 0.30 * | 0.22 | 0.16 | 0.25 * |
| Factor | RT1 | RT2 | PRP | |||||||||
|---|---|---|---|---|---|---|---|---|---|---|---|---|
| SS | df | MS | F | SS | df | MS | F | SS | df | MS | F | |
| SOA (A) | 0.69 | 1.64 | 0.42 | 32.95 *** | 0.27 | 2 | 0.14 | 10.40 *** | 0.27 | 2 | 0.14 | 10.46 *** |
| Task1 Difficulty (B) | 1.17 | 1 | 1.17 | 29.94 *** | 1.31 | 1 | 1.31 | 35.67 *** | 1.31 | 1 | 1.31 | 36.10 *** |
| A × B | 0.03 | 2 | 0.01 | 1.41 | 0.14 | 2 | 0.07 | 6.67 ** | 0.14 | 2 | 0.07 | 6.56 ** |
| Error (A) | 1.42 | 136 | 0.01 | 1.77 | 136 | 0.01 | 1.77 | 136 | 0.01 | |||
| Error (B) | 2.65 | 68 | 0.04 | 2.50 | 68 | 0.04 | 2.47 | 68 | 0.04 | |||
| Error (A × B) | 1.24 | 136 | 0.01 | 1.47 | 136 | 0.01 | 1.47 | 136 | 0.01 | |||
| Task 1 Difficulty | SOA | RT2 (s) | PRP (s) | ||
|---|---|---|---|---|---|
| M (SD) | F | M (SD) | F | ||
| Low | 250 ms | 1.30 (0.25) | 1.32 | 0.59 (0.24) | 1.32 |
| 500 ms | 1.24 (0.25) | 0.53 (0.24) | |||
| 800 ms | 1.16 (0.24) | 0.45 (0.22) | |||
| High | 250 ms | 1.76 (0.27) | 13.59 *** | 1.05 (0.27) | 13.58 *** |
| 500 ms | 1.57 (0.26) | 0.86 (0.26) | |||
| 800 ms | 1.42 (0.29) | 0.70 (0.30) | |||
| Factor | RT1 | RT2 | PRP | |||||||||
|---|---|---|---|---|---|---|---|---|---|---|---|---|
| SS | df | MS | F | SS | df | MS | F | SS | df | MS | F | |
| Modality order (A) | 1.19 | 1 | 1.19 | 8.10 ** | 0.78 | 1 | 0.78 | 3.90 (p = 0.052) | 1.29 | 1 | 1.29 | 4.31 * |
| A × SOA (B) | 0.22 | 2 | 0.11 | 4.56 * | 0.19 | 2 | 0.09 | 2.78 | 0.19 | 2 | 0.10 | 2.80 |
| A × Task 1 Difficulty (C) | 0.33 | 1 | 0.33 | 5.77 * | 0.37 | 1 | 0.37 | 6.18 * | 0.38 | 1 | 0.38 | 6.24 * |
| A × B × C | 0.04 | 2 | 0.02 | 0.82 | 0.00 | 2 | 0.00 | 0.06 | 0.00 | 2 | 0.00 | 0.05 |
| Error (A) | 9.95 | 68 | 0.15 | 13.61 | 68 | 0.20 | 20.37 | 68 | 0.30 | |||
| Error (A × B) | 3.24 | 136 | 0.02 | 4.57 | 136 | 0.03 | 4.61 | 136 | 0.03 | |||
| Error (A × C) | 3.85 | 68 | 0.06 | 4.11 | 68 | 0.06 | 4.10 | 68 | 0.06 | |||
| Task 1 Difficulty | Modality Order | RT1 (s) | RT2 (s) | PRP (s) | |||
|---|---|---|---|---|---|---|---|
| M (SD) | F | M (SD) | F | M (SD) | F | ||
| Low | V–A | 1.31 (0.26) | 13.63 *** | 1.35 (0.30) | 9.42 ** | 0.63 (0.27) | 10.03 ** |
| A–V | 1.11 (0.26) | 1.12 (0.24) | 0.42 (0.27) | ||||
| High | V–A | 1.55 (0.28) | 1.32 | 1.62 (0.30) | 0.26 | 0.90 (0.31) | 0.66 |
| A–V | 1.47 (0.31) | 1.55 (0.30) | 0.85 (0.33) | ||||
| SOA | Modality Order | RT1 (s) | |
|---|---|---|---|
| M (SD) | F | ||
| 250 ms | V–A | 1.26 (0.24) | 2.60 |
| A–V | 1.21 (0.25) | ||
| 500 ms | V–A | 1.42 (0.25) | 4.47 * |
| A–V | 1.28 (0.26) | ||
| 800 ms | V–A | 1.60 (0.28) | 12.21 ** |
| A–V | 1.38 (0.32) | ||
Disclaimer/Publisher’s Note: The statements, opinions and data contained in all publications are solely those of the individual author(s) and contributor(s) and not of MDPI and/or the editor(s). MDPI and/or the editor(s) disclaim responsibility for any injury to people or property resulting from any ideas, methods, instructions or products referred to in the content. |
© 2025 by the authors. Licensee MDPI, Basel, Switzerland. This article is an open access article distributed under the terms and conditions of the Creative Commons Attribution (CC BY) license (https://creativecommons.org/licenses/by/4.0/).
Share and Cite
Kim, B.; Yi, S.H. Audiovisual Dual-Tasking and the Characteristics of Concurrent Information Processing in Young Children. Educ. Sci. 2025, 15, 506. https://doi.org/10.3390/educsci15040506
Kim B, Yi SH. Audiovisual Dual-Tasking and the Characteristics of Concurrent Information Processing in Young Children. Education Sciences. 2025; 15(4):506. https://doi.org/10.3390/educsci15040506
Chicago/Turabian StyleKim, Bokyung, and Soon Hyung Yi. 2025. "Audiovisual Dual-Tasking and the Characteristics of Concurrent Information Processing in Young Children" Education Sciences 15, no. 4: 506. https://doi.org/10.3390/educsci15040506
APA StyleKim, B., & Yi, S. H. (2025). Audiovisual Dual-Tasking and the Characteristics of Concurrent Information Processing in Young Children. Education Sciences, 15(4), 506. https://doi.org/10.3390/educsci15040506

