Short-Term and Long-Term Effects of COVID-19 and Remote Learning: Experiences of Parents Supporting Children with Mathematical Learning Disabilities in Israel
Abstract
1. Introduction
1.1. Mathematical Disability (MD)
1.2. Environmental Perspectives on Distance Learning during COVID-19
1.3. The Present Study
2. Methods
2.1. Participants
2.2. Tools
2.2.1. Domain-General and Domain-Specific General Tasks
Math Fluency Test
KeyMath III Test
2.2.2. Non-Standardized Basic Numerical Tasks
Simple Operations RTs
Comparison of Symbolic Numerals
Comparison of Non-Symbolic Numerals
2.2.3. Domain General Abilities
Vocabulary
Visuospatial Short-Term and Working Memory
Verbal Short-Term and Working Memory
Inhibition
Processing Speed
Raven
Parent’s Survey
3. Results
3.1. Preliminary Analysis
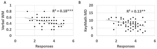
3.2. Main Analysis
4. Discussion
Educational Implications
5. Conclusions
Author Contributions
Funding
Institutional Review Board Statement
Informed Consent Statement
Data Availability Statement
Conflicts of Interest
References
- Shahar, G.; Aharonson-Daniel, L.; Greenberg, D.; Shalev, H.; Malone, P.S.; Tendler, A.; Grotto, I.; Davidovitch, N. Changes in General and Virus-Specific Anxiety during the Spread of COVID-19 in Israel: A 7-Wave Longitudinal Study. Am. J. Epidemiol. 2022, 191, 49–62. [Google Scholar] [CrossRef] [PubMed]
- Kaufman-Shriqui, V.; Navarro, D.A.; Raz, O.; Boaz, M. Dietary changes and anxiety during the coronavirus pandemic: A multinational survey. Eur. J. Clin. Nutr. 2022, 76, 84–92. [Google Scholar] [CrossRef] [PubMed]
- Lee, J. Mental health effects of school closures during COVID-19. Lancet Child Adolesc. Health 2020, 4, 421. [Google Scholar] [CrossRef] [PubMed]
- Buonsenso, D.; Roland, D.; De Rose, C.; Vásquez-Hoyos, P.; Ramly, B.; Chakakala-Chaziya, J.N.; Alasdair, M.; Sebastián, G.-D. Schools closures during the COVID-19 pandemic: A catastrophic global situation. Pediatr. Infect. Dis. J. 2021, 40, e146–e150. [Google Scholar] [CrossRef] [PubMed]
- Siegler, R.S. Magnitude knowledge: The common core of numerical development. Dev. Sci. 2016, 19, 341–361. [Google Scholar] [CrossRef]
- Haverty, L. The Importance of Basic Number Knowledge to Advanced Mathematical Problem-Solving; Carnegie Mellon University: Pittsburgh, PA, USA, 1999. [Google Scholar]
- Szűcs, D. Chapter 11—Subtypes and Comorbidity in Mathematical Learning Disabilities: Multidimensional Study of Verbal and Visual Memory Processes Is Key to Understanding, in Progress in Brain Research; Marinella, C., Wim, F., Eds.; Elsevier: Amsterdam, The Netherlands, 2016; pp. 277–304. [Google Scholar]
- Henik, A.; Rubinsten, O.; Ashkenazi, S. The “where” and “what” in developmental dyscalculia. Clin. Neuropsychol. 2011, 25, 989–1008. [Google Scholar] [CrossRef]
- Butterworth, B.; Varma, S.; Laurillard, D. Dyscalculia: From brain to education. Science 2011, 332, 1049–1053. [Google Scholar] [CrossRef]
- Colvin, M.; Reesman, J.; Glen, T. The impact of COVID-19 related educational disruption on children and adolescents: An interim data summary and commentary on ten considerations for neuropsychological practice. Clin. Neuropsychol. 2022, 36, 45–71. [Google Scholar] [CrossRef]
- Kuhfeld, M.; Soland, J.; Lewis, K.; Ruzek, E.; Johnson, A. The COVID-19 school year: Learning and recovery across 2020–2021. Aera Open 2022, 8, 23328584221099306. [Google Scholar] [CrossRef]
- Maldonado, J.; De Witte, K. The effect of school closures on standardised student test outcomes. Br. Educ. Res. J. 2022, 48, 49–94. [Google Scholar] [CrossRef]
- Zierer, K. Effects of pandemic-related school closures on pupils’ performance and learning in selected countries: A rapid review. Educ. Sci. 2021, 11, 252. [Google Scholar] [CrossRef]
- Petretto, D.; Carta, S.M.; Cataudella, S.; Masala, I.; Mascia, M.L.; Penna, M.P.; Piras, P.; Pistis, I.; Masala, C. The Use of Distance Learning and E-learning in Students with Learning Disabilities: A Review on the Effects and some Hint of Analysis on the Use during COVID-19 Outbreak. Clin. Pract. Epidemiol. Ment. Health CP EMH 2021, 17, 92. [Google Scholar] [CrossRef] [PubMed]
- Kadarisma, G.; Juandi, D. Mathematics Learning for Students with Special Needs during the COVID-19 Pandemic. In Journal of Physics: Conference Series; IOP Publishing: Bristol, UK, 2021. [Google Scholar]
- Poletti, M. Hey teachers! Do not leave them kids alone! Envisioning schools during and after the coronavirus (COVID-19) pandemic. Trends Neurosci. Educ. 2020, 20, 100140. [Google Scholar] [CrossRef] [PubMed]
- Schuck, R.K.; Lambert, R. “Am I doing enough?” Special educators’ experiences with emergency remote teaching in Spring 2020. Educ. Sci. 2020, 10, 320. [Google Scholar] [CrossRef]
- Sorensen, T. Special Education in Idaho Virtual Schools: An Analysis of the Efficacy of Service Delivery; Northwest Nazarene University: Nampa, ID, USA, 2019; p. 236. [Google Scholar]
- Serianni, B.A.; Coy, K. Doing the math: Supporting students with disabilities in online courses. Teach. Except. Child. 2014, 46, 102–109. [Google Scholar] [CrossRef]
- Finardi, G.; Paleari, F.G.; Fincham, F. Parenting a child with learning disabilities: Mothers’ self-forgiveness, well-being, and parental behaviors. J. Child Fam. Stud. 2022, 31, 2454–2471. [Google Scholar] [CrossRef]
- Dyson, L. Children with Learning Disabilities Within the Family Context: A Comparison with Siblings in Global Self–Concept, Academic Self–Perception, and Social Competence. Learn. Disabil. Res. Pract. 2003, 18, 1–9. [Google Scholar] [CrossRef]
- Geary, D.C. A componential analysis of an early learning deficit in mathematics. J. Exp. Child Psychol. 1990, 49, 363–383. [Google Scholar] [CrossRef]
- Geary, D.C. Mathematics and Learning Disabilities. J. Learn. Disabil. 2004, 37, 4–15. [Google Scholar] [CrossRef]
- Geary, D.C.; Hoard, M.K.; Byrd-Craven, J.; Nugent, L.; Numtee, C. Cognitive mechanisms underlying achievement deficits in children with mathematical learning disability. Child Dev. 2007, 78, 1343–1359. [Google Scholar] [CrossRef]
- Geary, D.; Hoard, M.K.; Nugent, L.; Byrd-Craven, J. Development of Number Line Representations in Children With Mathematical Learning Disability. Dev. Neuropsychol. 2008, 33, 277–299. [Google Scholar] [CrossRef] [PubMed]
- Rotzer, S.; Loenneker, T.; Kucian, K.; Martin, E.; Klaver, P.; von Aster, M. Dysfunctional neural network of spatial working memory contributes to developmental dyscalculia. Neuropsychologia 2009, 47, 2859–2865. [Google Scholar] [CrossRef] [PubMed]
- Geary, D.C.; Brown, S.C.; Samaranayake, V.A. Cognitive addition: A short longitudinal study of strategy choice and speed-of-processing differences in normal and mathematically disabled children. Dev. Psychol. 1991, 27, 787–797. [Google Scholar] [CrossRef]
- Geary, D.C.; Hamson, C.O.; Hoard, M.K. Numerical and arithmetical cognition: A longitudinal study of process and concept deficits in children with learning disability. J. Exp. Child Psychol. 2000, 77, 236–263. [Google Scholar] [CrossRef]
- Parsons, S.; Bynner, J. Numeracy and employment. Educ. Train. 1997, 39, 43–51. [Google Scholar] [CrossRef]
- Bruine de Bruin, W.; Slovic, P. Low numeracy is associated with poor financial well-being around the world. PLoS ONE 2021, 16, e0260378. [Google Scholar] [CrossRef]
- Gerber, P.J.; Ginsberg, R.; Reiff, H.B. Identifying alterable patterns in employment success for highly successful adults with learning disabilities. J. Learn. Disabil. 1992, 25, 475–487. [Google Scholar] [CrossRef]
- Gerber, P.J. The impact of learning disabilities on adulthood: A review of the evidenced-based literature for research and practice in adult education. J. Learn. Disabil. 2012, 45, 31–46. [Google Scholar] [CrossRef]
- Rotem, A.; Henik, A. Multiplication facts and number sense in children with mathematics learning disabilities and typical achievers. Cogn. Dev. 2020, 54, 100866. [Google Scholar] [CrossRef]
- Ashkenazi, S.; Mark-Zigdon, N.; Henik, A. Do subitizing deficits in developmental dyscalculia involve pattern recognition weakness? Dev. Sci. 2013, 16, 35–46. [Google Scholar] [CrossRef]
- Silverman, S.; Ashkenazi, S. The differential relationship between visual and spatial working memory in children’s mathematics performance. Trends Neurosci. Educ. 2022, 29, 100188. [Google Scholar] [CrossRef] [PubMed]
- Ashkenazi, S.; Blum-Cahana, I.Y. The role of inhibition and speed of processing in mathematics. Appl. Cogn. Psychol. 2023, 37, 111–124. [Google Scholar] [CrossRef]
- Jubran, S.M.; Al Fayez, M.Q.; Abueita, J.D. Teachers’ Perspectives of the Sudden Shift towards Online Learning: Challenges and Future Lessons. J. Lang. Teach. Res. 2023, 14, 239–248. [Google Scholar] [CrossRef]
- Godwin, K.; Kaur, F.; Sonnenschein, S. Teaching and Learning during a Global Pandemic: Perspectives from Elementary School Teachers and Parents. Educ. Sci. 2023, 13, 426. [Google Scholar] [CrossRef]
- Sonnenschein, S.; Stites, M.L.; Grossman, J.A.; Galczyk, S.H. “It Just Does Not Work”: Parents’ Views about Distance Learning for Young Children with Special Needs. In The Impact of COVID-19 on Early Childhood Education and Care: International Perspectives, Challenges, and Responses; Springer: Berlin/Heidelberg, Germany, 2022; pp. 253–273. [Google Scholar]
- Sonnenschein, S.; Stites, M.L.; Grossman, J.A.; Galczyk, S.H. “This will likely affect his entire life”: Parents’ views of special education services during COVID-19. Int. J. Educ. Res. 2022, 112, 101941. [Google Scholar] [CrossRef]
- Stites, M.; Sonneschein, S.; Galczyk, S. Preschool parents’ views of distance learning during COVID-19. Early Educ. Dev. 2021, 32, 923–939. [Google Scholar] [CrossRef]
- Rababah, A.; Khlaifat, D.; Abdelfattah, F.; Busaad, Y.; Alqaryouti, I.; AlAwamleh, A. The impact of COVID-19 on parents of children with disability: Educational needs and challenges. Int. J. Instr. 2022, 15, 701–722. [Google Scholar] [CrossRef]
- Herwin, H.; Dahalan, S. Technological integration factors in parental involvement during distance learning. Int. J. Inf. Educ. Technol. 2022, 12, 637–642. [Google Scholar] [CrossRef]
- Daniela, L.; Rubene, Z.; Rūdolfa, A. Parents’ perspectives on remote learning in the pandemic context. Sustainability 2021, 13, 3640. [Google Scholar] [CrossRef]
- Connolly, A.J. KeyMath-3 Diagnostic Assessment; Pearson: London, UK, 1998. [Google Scholar]
- Silverman, S.; Ashkenazi, S. The Unique Role of Spatial Working Memory for Mathematics Performance. J. Numer. Cogn. 2022, 8, 226–243. [Google Scholar] [CrossRef]
- Engzell, P.; Frey, A.; Verhagen, M.D. Learning loss due to school closures during the COVID-19 pandemic. Proc. Natl. Acad. Sci. USA 2021, 118, e2022376118. [Google Scholar] [CrossRef] [PubMed]
- Organisation for Economic Co-Operation and Development. Learning Remotely When Schools Close: How Well Are Students and Schools Prepared? Insights from PISA; OECD Publishing: Paris, France, 2020. [Google Scholar]
- Ashkenazi, S.; Hasson, S. Dissociations between short and long-term effects of Corona closures: The case of math fluency. Cognitive Dev. Under review.
- Liang, Z.; Dong, P.; Zhou, Y.; Feng, S.; Zhang, Q. Whether verbal and visuospatial working memory play different roles in pupil’s mathematical abilities. Br. J. Educ. Psychol. 2022, 92, e12454. [Google Scholar] [CrossRef] [PubMed]
- Caviola, S.; Colling, L.J.; Mammarella, I.C.; Szűcs, D. Predictors of mathematics in primary school: Magnitude comparison, verbal and spatial working memory measures. Dev. Sci. 2020, 23, e12957. [Google Scholar] [CrossRef] [PubMed]
- Allen, K.; Giofrè, D.; Higgins, S.; Adams, J. Working memory predictors of written mathematics in 7- to 8-year-old children. Q. J. Exp. Psychol. 2020, 73, 239–248. [Google Scholar] [CrossRef] [PubMed]
- Bull, R.; Espy, K.A.; Wiebe, S.A. Short-term memory, working memory, and executive functioning in preschoolers: Longitudinal predictors of mathematical achievement at age 7 years. Dev. Neuropsychol. 2008, 33, 205–228. [Google Scholar] [CrossRef]
- Friso-Van den Bos, I.; van der Ven, S.H.; Kroesbergen, E.H.; van Luit, J.E. Working memory and mathematics in primary school children: A meta-analysis. Educ. Res. Rev. 2013, 10, 29–44. [Google Scholar] [CrossRef]
- Chen, C.; Liu, P.; Lu, S.; Li, S.; Zhang, C.; Zhou, X. Verbal but not visual-spatial working memory contributes to complex arithmetic calculation. Br. J. Dev. Psychol. 2023, 41, 385–399. [Google Scholar] [CrossRef]

| The Translated Question | TD (n = 50) | MD (n = 33) | ||||
|---|---|---|---|---|---|---|
| Mean | SD | Mean | SD | p | ||
| Q1 | The student was able to keep track of what was going on during class | 3.58 | 11.09 | 33.09 | 11.09 | 0.004 * |
| Q2 | The student was able to understand the teacher | 3.50 | 11.09 | 33.24 | 00.87 | 0.25 |
| Q3 | It was harder for the student to study in a virtual compared to a frontal class | 3.26 | 11.12 | 33.85 | 11.29 | 0.06 |
| Q4 | Digit learning aids, including short movies, helped the student understand the subject matter | 3.65 | 11.12 | 33.38 | 00.98 | 0.25 |
| Q5 | It was hard for the student to concentrate during virtual math class | 3.06 | 11.23 | 33.82 | 11.13 | 0.006 ** |
| Q6 | It was hard for the student to find symbols on the keyboard | 2.51 | 11.18 | 33.06 | 11.41 | 0.07 |
| Q7 | The student performed the tasks that were given to him/her on time | 3.88 | 11.24 | 33.42 | 11.09 | 0.09 |
| Q8 | The student had a hard time performing the online task by himself and without help from others | 2.95 | 11.26 | 44.00 | 11.06 | 0.001 ** |
| Q9 | The student always had a quiet and isolated environment during online learning | 3.38 | 11.26 | 33.27 | 11.35 | 0.71 |
| Q10 | The student always had the computer available for learning | 4.04 | 11.21 | 44.15 | 11.18 | 0.68 |
| Q11 | The student left the online lesson only when it ended | 4.33 | 00.77 | 44.15 | 11.23 | 0.43 |
| Q12 | The student used a mobile phone instead of the computer during learning | 2.16 | 11.35 | 11.94 | 11.34 | 0.47 |
| Q13 | The student had a stable connection to the interment during online classes | 3.90 | 00.95 | 33.94 | 11.20 | 0.87 |
| Q14 | The Corona period resulted in significant learning gaps for the student | 3.51 | 10.97 | 44.15 | 11.26 | 0.02 * |
| Factor 1 Loading (52.61%) | |
|---|---|
| Q3 | 0.80 |
| Q8 | 0.80 |
| Q5 | 0.73 |
| Q6 | 0.72 |
| Q14 | 0.67 |
| Q1 | −0.66 |
| TD (n = 50) | MD (n = 33) | p | Cohen’s d | |||
|---|---|---|---|---|---|---|
| Mean | SD | Mean | SD | |||
| Q1 | 3.58 | 1.01 | 3.09 | 1.10 | 0.04 * | −0.47 |
| Q3 | 3.26 | 1.43 | 3.85 | 1.28 | 0.06 | |
| Q5 | 3.06 | 1.25 | 3.82 | 1.13 | 0.006 ** | 0.64 |
| Q6 | 2.51 | 1.21 | 3.06 | 1.43 | 0.07 | |
| Q8 | 0.95 | 1.26 | 4.00 | 1.06 | 0.001 ** | 0.90 |
| Q14 | 0.51 | 1.34 | 4.15 | 1.03 | 0.02 * | 0.54 |
| Test | Correlation | Significant |
|---|---|---|
| Vocabulary | −0.01 | 0.92 |
| Visuospatial short-term memory | 0.05 | 0.97 |
| Visuospatial working memory | −0.05 | 0.72 |
| Verbal short-term memory | −0.01 | 0.95 |
| Verbal working memory | −0.43 | 0.001 |
| Inhibition | 0.13 | 0.25 |
| Processing speed | 0.12 | 0.38 |
| Revan | −0.19 | 0.13 |
| Test | Correlation | Sig |
|---|---|---|
| Numerical fluency (number of correctly solved addition and multiplication in 2 min) | −0.17 | 0.17 |
| Simple operation (accuracy) | −0.29 | 0.02 * |
| Comparison symbolic (RT) | −0.10 | 0.44 |
| Comparison non-symbolic (RT) | 0.10 | 0.43 |
| KeyMath addition and subtraction (number of correctly solved) | −0.26 | 0.04 * |
| KeyMath multiplication and division (number of correctly solved) | −0.35 | 0.004 ** |
| KeyMath estimation (number of correctly solved) | −0.29 | 0.02 * |
| KeyMath numeration (number of correctly solved) | −0.29 | 0.02 * |
Disclaimer/Publisher’s Note: The statements, opinions and data contained in all publications are solely those of the individual author(s) and contributor(s) and not of MDPI and/or the editor(s). MDPI and/or the editor(s) disclaim responsibility for any injury to people or property resulting from any ideas, methods, instructions or products referred to in the content. |
© 2024 by the authors. Licensee MDPI, Basel, Switzerland. This article is an open access article distributed under the terms and conditions of the Creative Commons Attribution (CC BY) license (https://creativecommons.org/licenses/by/4.0/).
Share and Cite
Ashkenazi, S.; Hassoun, S. Short-Term and Long-Term Effects of COVID-19 and Remote Learning: Experiences of Parents Supporting Children with Mathematical Learning Disabilities in Israel. Educ. Sci. 2024, 14, 995. https://doi.org/10.3390/educsci14090995
Ashkenazi S, Hassoun S. Short-Term and Long-Term Effects of COVID-19 and Remote Learning: Experiences of Parents Supporting Children with Mathematical Learning Disabilities in Israel. Education Sciences. 2024; 14(9):995. https://doi.org/10.3390/educsci14090995
Chicago/Turabian StyleAshkenazi, Sarit, and Sonia Hassoun. 2024. "Short-Term and Long-Term Effects of COVID-19 and Remote Learning: Experiences of Parents Supporting Children with Mathematical Learning Disabilities in Israel" Education Sciences 14, no. 9: 995. https://doi.org/10.3390/educsci14090995
APA StyleAshkenazi, S., & Hassoun, S. (2024). Short-Term and Long-Term Effects of COVID-19 and Remote Learning: Experiences of Parents Supporting Children with Mathematical Learning Disabilities in Israel. Education Sciences, 14(9), 995. https://doi.org/10.3390/educsci14090995

