Student and Instructor Ratings in Geographic Information Systems: A Comparative Analysis
Abstract
1. Introduction
1.1. Teaching of Geographic Information Systems
1.2. New Rating Techniques: Student Peer Assessment
1.3. Current Practice in Peer Rating Assessment
2. Method
2.1. Course Presentation and Activities
2.2. Implementation of Student Peer Evaluation
2.2.1. Indications for the Evaluation of the Activities: Rubrics
- A map element is missing.
- Lack of visibility of a map layer.
- The hierarchy in the legend is not properly established.
- The coordinate grid has intervals not properly established.
- Intervals in a legend item are not properly set.
- The graphical scale is not properly customized.
- Misspelling in the legend, titles, or labels.
- Difficulty in the legibility of a map element.
- The land use data are not a single layer, i.e., there are several layers for the different categories: buildings, arboretum, paths, etc. (six points).
- There are gaps and/or overlaps between the land use layer polygons (one error, one point; two to five errors, two points; six to ten errors, three points; eleven to fifteen errors, four points; sixteen to twenty errors, five points; more than twenty errors, six points).
- Poor digitizing accuracy, according to the measured difference in meters when zooming in on the screen, between the digitized feature and the orthophoto image (three to five meters, two points; five to ten meters, four points; more than ten meters; five points).
- Lack of categories or information in the table (identification of ten to eight categories; one point; seven to four categories, two points; fewer than four categories, three points; for every five features without data in the attribute table, one point, up to three).
- The limits of the study area are not properly digitized (one point).
- Lack of connectivity in areas of the road layer (two points).
- More than ten missing features (one point).
- The existence of other complementary layers (e.g., a point layer) (one point added).
2.2.2. Final Rating
- The rating assigned to each student is the average of the three grades given by the students who assess their work.
- If the instructor’s rating coincides with the student’s rating, that rating will be assigned.
- If the instructor’s rating is higher than the student’s rating, the average of the two ratings is assigned as the grade.
- If the instructor’s rating is lower than the student’s rating, the average of the two ratings is assigned as the grade.
- If there is a significant discrepancy between the two grades, the instructor’s rating is assigned.
- Any student who gives an equal rating to the instructor’s ±1.0 points when grading the other students’ work will obtain one extra point in his/her final grade.
2.3. Statistical Analysis
3. Results
4. Discussion and Conclusions
Author Contributions
Funding
Institutional Review Board Statement
Informed Consent Statement
Data Availability Statement
Acknowledgments
Conflicts of Interest
References
- Kerski, J.J. The role of GIS in Digital Earth education. Int. J. Digit. Earth 2008, 1, 326–346. [Google Scholar] [CrossRef]
- Artvinli, E. The Contribution of Geographic Information Systems (GIS) to Geography Education and Secondary School Students’ Attitudes Related to GIS. Educ. Sci. Theory Pract. 2010, 10, 1277–1292. [Google Scholar]
- Burrough, P.A. Principles of Geographic Information Systems for Land Resources Assessment; Clarendon: Hong Kong, China, 1986. [Google Scholar]
- Heywood, I.; Cornelius, S.; Carver, S. An Introduction to Geographical Information Systems; Prentice Hall: Hoboken, NJ, USA, 2002. [Google Scholar]
- Longley, P.A.; Goodchild, M.F.; MacGuire, D.J.; Rhind, D.W. Geographical Information Systems: Principles, Techniques, Applications, and Management; Wiley and Sons: Hoboken, NJ, USA, 1999. [Google Scholar]
- Sikder, I.U. Knowledge-based spatial decision support systems: An assessment of environmental adaptability of crops. Expert Syst. Appl. 2009, 36, 5341–5347. [Google Scholar] [CrossRef]
- Rodriguez-Bachiller, A.; Glasson, J. Expert Systems and GIS for Impact Assessment; Taylor and Francis: Abingdon, UK, 2004. [Google Scholar]
- Monzón, A.; López, E.; Ortega, E. Has HSR improved territorial cohesion in Spain? An accessibility analysis of the first 25 years: 1990–2015. Eur. Plan. Stud. 2019, 27, 513–532. [Google Scholar] [CrossRef]
- Ortega, E.; Martín, B.; De Isidro, Á.; Cuevas-Wizner, R. Street walking quality of the ‘Centro’ district, Madrid. J. Maps 2020, 16, 184–194. [Google Scholar] [CrossRef]
- Santé-Riveira, I.; Crecente-Maseda, R.; Miranda-Barrós, D. GIS-based planning support system for rural landuse allocation. Comput. Electron. Agric. 2008, 63, 257–273. [Google Scholar] [CrossRef]
- Martín, B.; Ortega, E.; Martino, P.; Otero, I. Inferring landscape change from differences in landscape character between the current and a reference situation. Ecol. Indic. 2018, 90, 584–593. [Google Scholar] [CrossRef]
- Schulze, W.; Kanwischer, D.; Reudenbach, C. Essential competences for GIS learning in higher education: A synthesis of international curricular documents in the GISandT domain. J. Geogr. High. Educ. 2013, 37, 257–275. [Google Scholar] [CrossRef]
- Mkhongi, F.A.; Musakwa, W. Perspectives of GIS education in high schools: An evaluation of uMgungundlovu district, KwaZulu-Natal, South Africa. Educ. Sci. 2020, 10, 131. [Google Scholar] [CrossRef]
- Lee, J.; Bednarz, R. Effect of GIS Learning on Spatial Thinking. J. Geogr. High. Educ. 2009, 33, 183–198. [Google Scholar] [CrossRef]
- Demirci, A.; Kocaman, S. Türkiye’de coğrafya mezunlarının CBS ile ilgili alanlarda istihdam edilebilme durumlarının değerlendirilmesi [Evaluation of the employability of geography graduates in GIS-related fields in Turkey]. Marmara Coğraf. Derg. 2007, 16, 65–92. [Google Scholar]
- Radinsky, J.; Hospelhorn, E.; Melendez, J.W.; Riel, J.; Washington, S. Teaching American migrations with GIS census web maps: A modified “backwards design” approach in middle-school and college classrooms. J. Soc. Stud. Res. 2014, 38, 143–158. [Google Scholar] [CrossRef]
- Marsh, M.J.; Golledge, R.G.; Battersby, S.E. Geospatial concept understanding and recognition in G6–College Students: A preliminary argument for minimal GIS. Ann. Assoc. Am. Geogr. 2009, 97, 696–712. [Google Scholar] [CrossRef]
- Johansson, T. GIS in Instructor Education—Facilitating GIS Applications in Secondary School Geography. In Proceedings of the ScanGIS’2003, The 9th Scandinavian Research Conference on Geographical Information Science, Espoo, Finland, 4–6 June 2003. [Google Scholar]
- Fernández-March, A. Metodologías activas para la formación de competencias [Active methodologies for skills training]. Educ. Siglo XXI 2006, 24, 35–56. [Google Scholar]
- Rodríguez-Jaume, M.J. Espacio Europeo de Educación Superior y Metodologías Docentes Activas: Dossier de Trabajo [European Higher Education Area and Active Teaching Methodologies: Work Dossier]; Universidad de Alicante: Alicante, Spain, 2009. [Google Scholar]
- Castejón, F.J.; Santos, M.L. Percepciones y dificultades en el empleo de metodologías participativas y evaluación formativa en el Grado de Ciencias de la Actividad Física [Perceptions and difficulties in the use of participatory methodologies and formative assessment in the Degree of Physical Activity Sciences]. Rev. Electrón. Interuniv. Form. Profr. 2011, 14, 117–126. [Google Scholar]
- Antón, M.A. Docencia Universitaria: Concepciones y Evaluación de los Aprendizajes. Estudio de Casos [Conceptions and Assessment of Learning. Case Study. Estudio de Casos]. Ph.D. Thesis, Universidad de Burgos, Burgos, Spain, 2012. [Google Scholar]
- San Martín Gutiérrez, S.; Torres, N.J.; Sánchez-Beato, E.J. La evaluación del alumnado universitario en el Espacio Europeo de Educación Superior [The assessment of university students in the European Higher Education Area]. Aula Abierta 2016, 44, 7–14. [Google Scholar] [CrossRef]
- Double, K.S.; McGrane, J.A.; Hopfenbeck, T.N. The impact of peer assessment on academic performance: A meta-analysis of control group studies. Educ. Psychol. Rev. 2020, 32, 481–509. [Google Scholar] [CrossRef]
- Brown, S.; Pickforf, R. Evaluación de Habilidades y Competencias en Educación Superior [Assessment of Skills and Competences in Higher Education]; Narcea: Asturias, Spain, 2013. [Google Scholar]
- Panadero, E.; Alqassab, M. An empirical review of anonymity effects in peer assessment, peer feedback, peer review, peer evaluation and peer grading. Assess. Eval. High. Educ. 2019, 44, 1253–1278. [Google Scholar] [CrossRef]
- Zmuda, A. Springing into active learning. Educ. Leadersh. 2008, 66, 38–42. [Google Scholar]
- Rodríguez-Esteban, M.A.; Frechilla-Alonso, M.A.; Sáez-Pérez, M.P. Implementación de la evaluación por pares como herramienta de aprendizaje en grupos numerosos. Experiencia docente entre universidades [Implementation of peer assessment as a learning tool in large groups. Inter-university teaching experience. Experiencia docente entre universidades]. Adv. Build. Educ. 2018, 2, 66–82. [Google Scholar] [CrossRef]
- Blanco, C.; Sánchez, P. Aplicando Evaluación por Pares: Análisis y Comparativa de distintas Técnicas [Applying Peer Evaluation: Analysis and Comparison of different Techniques]. In Proceedings of the Actas Simposio-Taller Jenui 2012, Ciudad Real, Spain, 1–8 July 2012. [Google Scholar]
- Bernabé Valero, G.; Blasco Magraner, S. Actas de XI Jornadas de Redes de Investigación en Docencia Universitaria: Retos de Futuro en la Enseñanza Superior: Docencia e Investigación para Alcanzar la Excelencia Académica; Universidad de Alicante: Alicante, Spain, 2013; pp. 2057–2069. [Google Scholar]
- Sanmartí, N. 10 Ideas Clave: Evaluar para Aprender [Key Ideas: Evaluate to Learn]; Graó: Castellón, Spain, 2007. [Google Scholar]
- Ibarra, M.; Rodríguez, G.; Gómez, R. La evaluación entre iguales: Beneficios y estrategias para su práctica en la universidad [Peer evaluation: Benefits and strategies for its practice at the university]. Rev. Educ. 2012, 359, 206–231. [Google Scholar]
- Bautista-Cerro, M.J.; Murga-Menoyo, M.A. La evaluación por pares: Una técnica para el desarrollo de competencias cívicas (autonomía y responsabilidad) en contextos formativos no presenciales. Estudio de caso [Peer evaluation: A technique for the development of civic competencies (autonomy and responsibility) in non-face-to-face training contexts. Case study]. In XII Congreso Internacional de Teoría de la Educación (CITE2011) [XII International Congress of Educational Theory (CITE2011)]; Universitat de Barcelona: Barcelona, Spain, 2011. [Google Scholar]
- Arruabarrena, R.; Sánchez, A.; Blanco, J.M.; Vadillo, J.A.; Usandizaga, I. Integration of good practices of active methodologies with the reuse of student-generated content. Int. J. Educ. Technol. High. Educ. 2019, 16, 10. [Google Scholar] [CrossRef]
- Luaces, O.; Díez, J.; Bahamonde, A. A peer assessment method to provide feedback, consistent grading and reduce students’ burden in massive teaching settings. Comput. Educ. 2018, 126, 283–295. [Google Scholar] [CrossRef]
- Andrade, H. Teaching with rubrics. Coll. Teach. 2005, 53, 27–31. [Google Scholar] [CrossRef]
- Purchase, H.; Hamer, J. Peer-review in practice: Eight years of Aropä. Assess. Eval. High. Educ. 2018, 43, 1146–1165. [Google Scholar] [CrossRef]
- Chang, C.C.; Tseng, K.H.; Lou, S.J. A comparative analysis of the consistency and difference among instructor assessment, student self-assessment and peer-assessment in a web-based portfolio assessment environment for high school students. Comput. Educ. 2012, 58, 303–320. [Google Scholar] [CrossRef]
- Jaime, A.; Blanco, J.M.; Domínguez, C.; Sánchez, A.; Heras, J.; Usandizaga, I. Spiral and project-based learning with peer assessment in a computer science project management course. J. Sci. Educ. Technol. 2016, 25, 439–449. [Google Scholar] [CrossRef]
- Monllor-Satoca, D.; Guillén, E.; Lana-Villarreal, T.; Bonete, P.; Gómez, R. La evaluación por pares (“peer review”) como método de enseñanza aprendizaje de la Química Física [Peer review as a teaching-learning method of Physical Chemistry]. In Jornadas de Redes de Investigación en Docencia Universitaria X. Alicante [Conference on Research Networks in University Teaching X. Alicante]; Tortosa, M.T., Álvarez, J.D., Pellín, N., Eds.; Editorial Universitat Politècnica de València: Valencia, Spain, 2012. [Google Scholar]
- Delgado, J.; Medina, N.; Becerra, M. La evaluación por pares. Una alternativa de evaluación entre estudiantes universitarios [Peer evaluation. An alternative evaluation among university students]. Rehuso Rev. Cienc. Humaníst. Soc. 2020, 5, 14–26. [Google Scholar]
- Loureiro, P.; Gomes, M.J. Online peer assessment for learning: Findings from higher education students. Educ. Sci. 2023, 13, 253. [Google Scholar] [CrossRef]
- Yalch, M.M.; Vitale, E.M.; Fordand, J.K. Benefits of Peer Review on Students’ Writing. Psychol. Learn. Teach. 2019, 18, 317–325. [Google Scholar] [CrossRef]
- Aston, K.J. ‘Why is this hard, to have critical thinking?’ Exploring the factors affecting critical thinking with international higher education students. Act. Learn. High. Educ. 2023. [Google Scholar] [CrossRef]
- Väyrynen, K.; Lutovac, S.; Kaasila, R. Reflection on peer reviewing as a pedagogical tool in higher education. Act. Learn. High. Educ. 2023, 24, 291–303. [Google Scholar] [CrossRef]
- Boud, D.; Cohen, R.; Sampson, J. Peer Learning and Assessment. Assess. Eval. High. Educ. 1999, 24, 413–426. [Google Scholar] [CrossRef]
- Li, H.; Xiong, Y.; Hunter, C.V.; Guo, X.; Tywoniw, R. Does peer assessment promote student learning? A meta-analysis. Assess. Eval. High. Educ. 2020, 45, 193–211. [Google Scholar] [CrossRef]
- Shishavan, H.B.; Jalili, M. Responding to student feedback: Individualising teamwork scores based on peer assessment. Int. J. Educ. Res. Open 2020, 1, 100019. [Google Scholar] [CrossRef]
- Gómez, M.; Quesada, V. Coevaluación o Evaluación Compartida en el Contexto Universitario: La Percepción del Alumnado de Primer Curso [Co-evaluation or Shared Evaluation in the University Context: The Perception of First Year Students]. Rev. Iberoam. Eval. Educ. 2017, 10, 9–30. [Google Scholar] [CrossRef][Green Version]
- Román-Calderón, J.P.; Robledo-Ardila, C.; Velez-Calle, A. Global virtual teams in education: Do peer assessments motivate student effort? Stud. Educ. Eval. 2021, 70, 101021. [Google Scholar] [CrossRef]
- Ion, G.; Díaz-Vicario, A.; Mercader, C. Making steps towards improved fairness in group work assessment: The role of students’ self- and peer-assessment. Act. Learn. High. Educ. 2023. [Google Scholar] [CrossRef]
- Joh, J.; Plakans, L. Peer assessment in EFL teacher preparation: A longitudinal study of student perception. Lang. Teach. Res. 2021. [Google Scholar] [CrossRef]
- Rød, J.K.; Nubdal, M. Double-blind multiple peer reviews to change students’ reading behaviour and help them develop their writing skills. J. Geogr. High. Educ. 2022, 46, 284–303. [Google Scholar] [CrossRef]
- Chang, C.C.; Tseng, J.S. Student rating consistency in online peer assessment from the perspectives of individual and class. Stud. Educ. Eval. 2023, 79, 101306. [Google Scholar] [CrossRef]
- Vander Schee, B.A.; Stovall, T.; Andrews, D. Using cross-course peer grading with content expertise, anonymity, and perceived justice. Act. Learn. High. Educ. 2022. [Google Scholar] [CrossRef]
- Rotsaert, T.; Panadero, E.; Schellens, T. Anonymity as an instructional scaffold in peer assessment: Its effects on peer feedback quality and evolution in students’ perceptions about peer assessment skills. Eur. J. Psychol. Educ. 2018, 33, 75–99. [Google Scholar] [CrossRef]
- Wanner, T.; Palmer, E. Formative self-and peer assessment for improved student learning: The crucial factors of design, instructor participation and feedback. Assess. Eval. High. Educ. 2018, 43, 1032–1047. [Google Scholar] [CrossRef]
- Agrawal, A.; Rajapakse, D.C. Perceptions and practice of peer assessments: An empirical investigation. Int. J. Educ. Manag. 2018, 32, 975–989. [Google Scholar] [CrossRef]
- Marín García, J.A. Los alumnos y los profesores como evaluadores. Aplicación a la calificación de presentaciones orales [Students and teachers as evaluators. Application to the qualification of oral presentations]. Rev. Esp. Pedagog. 2009, 242, 79–98. [Google Scholar]
- Panadero, E.; Romero, M.; Strijbos, J.W. The impact of a rubric and friendship on peer assessment: Effects on construct validity, performance, and perceptions of fairness and comfort. Stud. Educ. Eval. 2013, 39, 195–203. [Google Scholar] [CrossRef]
- McMillan, A.; Solanelles, P.; Rogers, B. Bias in student evaluations: Are my peers out to get me? Stud. Educ. Eval. 2021, 70, 101032. [Google Scholar] [CrossRef]
- Barriopedro, M.; López, C.; Gómez, M.; Rivero, A. La coevaluación como estrategia para mejorar la dinámica del trabajo en grupo: Una experiencia en Ciencias del Deporte [Co-evaluation as a strategy to improve group work dynamics: An experience in Sports Sciences]. Rev. Complut. Educ. 2016, 27, 571–584. [Google Scholar] [CrossRef]
- Tavoletti, E.; Stephens, R.D.; Dong, L. The impact of peer evaluation on team effort, productivity, motivation and performance in global virtual teams. Team Perform. Manag. Int. J. 2019, 25, 334–347. [Google Scholar] [CrossRef]
- Raposo, M.; Martínez, M. Evaluación educativa utilizando rúbrica: Un desafío para docentes y estudiantes universitarios [Educational evaluation using rubric: A challenge for teachers and university students]. Educ. Educ. 2014, 17, 499–513. [Google Scholar] [CrossRef]
- Conde, M.; Sanchez-Gonzalez, L.; Matellan-Olivera, V.; Rodriguez-Lera, F.J. Application of Peer Review Techniques in Engineering Education. Int. J. Eng. Educ. 2017, 33, 918–926. [Google Scholar]
- GATE UPM. Sección Telenseñanza [Telelearning Section]. In Manual de Moodle 3.11 para el Profesor [Moodle 3.11 Teacher's Manual]; Universidad Politécnica de Madrid: Madrid, Spain, 2022. [Google Scholar]
- Biebrach, T. What Impact Has GIS Had on Geographical Education in Secondary Schools? 2007. Available online: www.geography.org.uk/download/GA_PRSSBiebrach.doc (accessed on 28 December 2023).
- Serrano-Aguilera, J.J.; Tocino, A.; Fortes, S.; Martín, C.; Mercadé-Melé, P.; Moreno-Sáez, R.; Muñoz, A.; Palomo-Hierro, S.; Torres, A. Using Peer Review for Student Performance Enhancement: Experiences in a Multidisciplinary Higher Education Setting. Educ. Sci. 2021, 11, 71. [Google Scholar] [CrossRef]





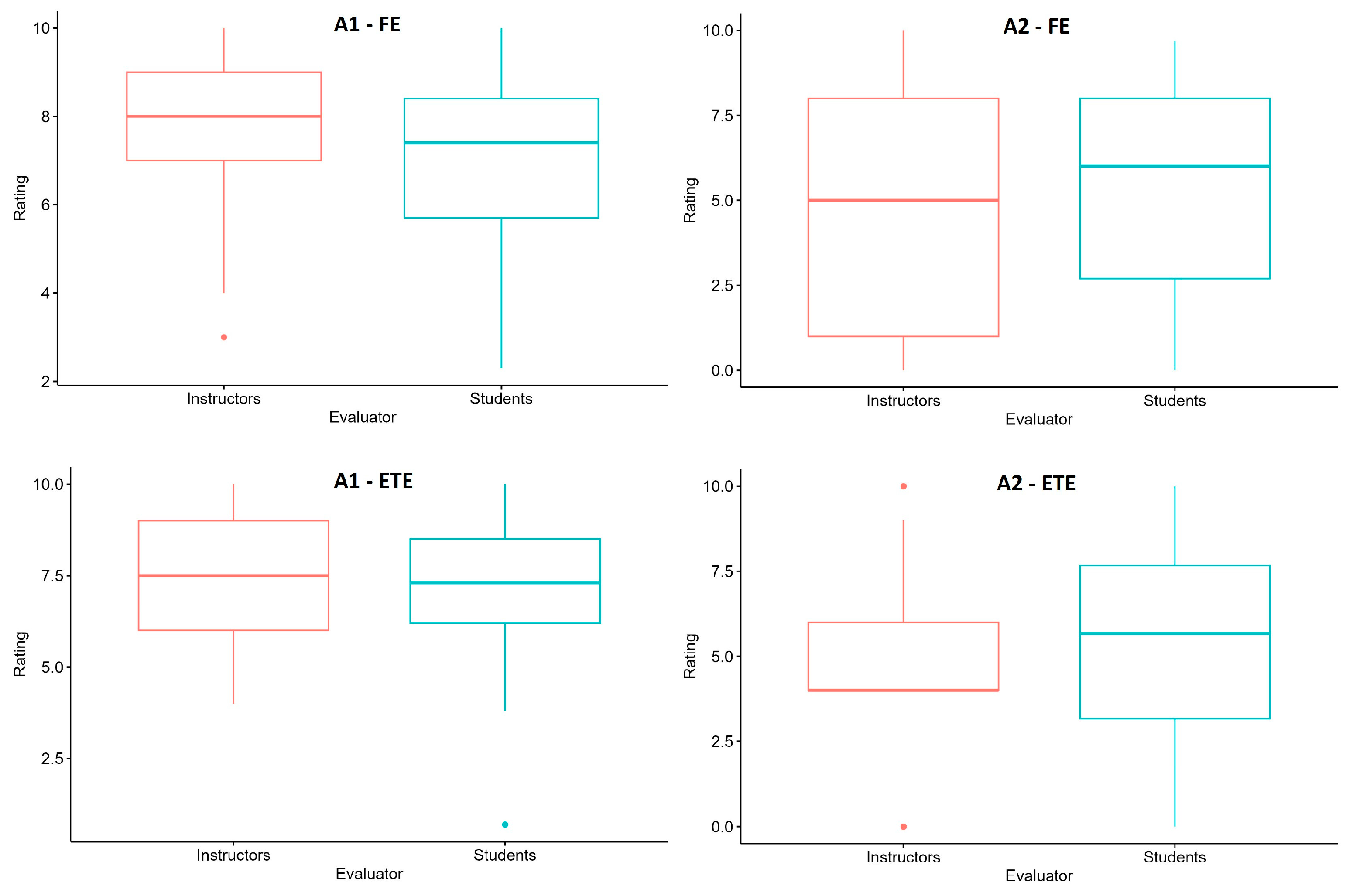
| A1 | ||||||
| Evaluator | n | Mean | s.d. | p-Value | ||
| All students | Students | 116 | 7.20 | 1.60 | 0.217 | No significant difference between means |
| Instructors | 116 | 7.36 | 1.84 | |||
| All students (rating > 5) | Students | 104 | 7.49 | 1.33 | 0.045 | |
| Instructors | 104 | 7.75 | 1.49 | |||
| FE Students | Students | 44 | 6.99 | 1.96 | 0.001 | |
| Instructors | 44 | 7.56 | 1.91 | |||
| ETE Students | Students | 72 | 7.24 | 1.54 | 0.860 | No significant difference between means |
| Instructors | 72 | 7.27 | 1.80 | |||
| A2 | ||||||
| Evaluator | n | Mean | s.d. | p-Value | ||
| All students | Students | 114 | 5.15 | 3.07 | 0.024 | |
| Instructors | 114 | 4.65 | 2.96 | |||
| All students (rating > 5) | Students | 55 | 7.05 | 2.03 | 0.786 | No significant difference between means |
| Instructors | 55 | 7.13 | 1.53 | |||
| FE Students | Students | 45 | 5.17 | 3.14 | 0.860 | No significant difference between means |
| Instructors | 45 | 4.72 | 3.38 | |||
| ETE Students | Students | 69 | 5.14 | 3.04 | 0.017 | |
| Instructors | 69 | 4.60 | 2.68 | |||
Disclaimer/Publisher’s Note: The statements, opinions and data contained in all publications are solely those of the individual author(s) and contributor(s) and not of MDPI and/or the editor(s). MDPI and/or the editor(s) disclaim responsibility for any injury to people or property resulting from any ideas, methods, instructions or products referred to in the content. |
© 2024 by the authors. Licensee MDPI, Basel, Switzerland. This article is an open access article distributed under the terms and conditions of the Creative Commons Attribution (CC BY) license (https://creativecommons.org/licenses/by/4.0/).
Share and Cite
Ortega, E.; Martín, B.; González-Ávila, S. Student and Instructor Ratings in Geographic Information Systems: A Comparative Analysis. Educ. Sci. 2024, 14, 98. https://doi.org/10.3390/educsci14010098
Ortega E, Martín B, González-Ávila S. Student and Instructor Ratings in Geographic Information Systems: A Comparative Analysis. Education Sciences. 2024; 14(1):98. https://doi.org/10.3390/educsci14010098
Chicago/Turabian StyleOrtega, Emilio, Belén Martín, and Sergio González-Ávila. 2024. "Student and Instructor Ratings in Geographic Information Systems: A Comparative Analysis" Education Sciences 14, no. 1: 98. https://doi.org/10.3390/educsci14010098
APA StyleOrtega, E., Martín, B., & González-Ávila, S. (2024). Student and Instructor Ratings in Geographic Information Systems: A Comparative Analysis. Education Sciences, 14(1), 98. https://doi.org/10.3390/educsci14010098

