Next Article in Journal
A Systematic Review of Engineering Students in Intercultural Teamwork: Characteristics, Challenges, and Coping Strategies
Next Article in Special Issue
Autistic Adult Knowledge of the Americans with Disabilities Act and Employment-Related Rights
Previous Article in Journal
Makerspaces and Making Data: Learning from Pre-Service Teachers’ STEM Experiences in a Community Makerspace
 
 
Font Type:
Arial Georgia Verdana
Font Size:
Aa Aa Aa
Line Spacing:
Column Width:
Background:
Article

Using Pyramidal Training to Address Challenging Behavior in an Early Childhood Education Classroom

Department of Educational Psychology, University of Texas at San Antonio, San Antonio, TX 78207, USA
*
Author to whom correspondence should be addressed.
Educ. Sci. 2023, 13(6), 539; https://doi.org/10.3390/educsci13060539
Submission received: 25 March 2023 / Revised: 8 May 2023 / Accepted: 15 May 2023 / Published: 24 May 2023
(This article belongs to the Special Issue Advances in Educational Interventions for Autistic Individuals)

Abstract

Challenging behavior exhibited by students in a school setting is one of the most significant obstructions to student learning. These behaviors often warrant specialized interventions delivered by educators in the presence of typically developing peers; however, the availability of personnel to prepare educators to implement said interventions is limited. One viable solution may be to leverage a pyramidal training model in which training is provided in tiers, allowing for more individuals to be trained within a shorter period. In the current study, one researcher utilized pyramidal training to prepare four educators to implement functional communication training without extinction to decrease aggression toward peers for one student in an inclusionary early childhood education setting. With written instruction only (similar to what a teacher might receive as part of a behavior intervention plan), all educators implemented the intervention with low fidelity (M = 15% steps completed correctly). Post-intervention, all educators were able to implement the intervention with the trainer at or above 80% fidelity, and skills improved to 100% fidelity during in situ training with the student. For the student, aggression was completely decreased to zero levels, and functional communication responses increased. Moreover, all results were maintained after the holiday break without additional training. Implications for research and practice will be discussed.

1. Introduction

Challenging behaviors displayed in a public school setting is among the most significant obstructions to all student learning [1]. Teachers frequently cite aggression, non-compliance, and property destruction as the most common of these behaviors [2]. While challenging behavior exists among many school-aged children, these behaviors are even more frequent for students with disabilities [3]. To address the negative impact challenging behavior has on learning, the Individuals with Disabilities Education Act—IDEA (2004) [4] requires educators to implement research-based behavior intervention plans (BIP) for students who qualify for special education. However, after the plan is developed, teachers are oftentimes expected to implement the plan and take data without any formal training or additional resources [5].
Early childhood education teachers who serve students with disabilities often lack the necessary training and education required to adequately approach challenging behavior [6], but frequently serve as the front line for behavioral and mental health intervention efforts [7]. While the process of becoming qualified to teach early childhood special education differs across states and territories in the United States of America [8], there are national professional standards set forth by the Division for Early Childhood (DEC) and the National Association for the Education of Young Children (NAEYC). Briefly, these standards cover areas related to curriculum, partnering with educators and families, using assessments and data to inform intervention, and ongoing evaluation of professionalism and ethical practices [9]. Notably, standard 6.4 states that educators must “proactively plan and implement function-based interventions to prevent and address challenging behaviors [9]; however, previous research has found that teacher preparation programs often fail to prepare educators to do so [10]. As a result, many teachers enter the classroom with a feeling of unpreparedness or low self-efficacy to work with children who may have a disability and engage in challenging behavior. In fact, in a survey of over 500 early childhood educators, challenging behavior was reported to be the highest area of training need [11]. Unfortunately, barriers such as a lack of resources and lack of administrator or staff support [12] prevent educators from receiving adequate training and inhibit their ability to implement interventions. Therefore, innovative training models, such as pyramidal training [13], that are effective and efficient in preparing educators to implement function-based interventions are warranted.
Pyramidal training is a method that utilizes a professional trainer/expert to teach a skill or set of skills to one or more individuals, who then continue to teach the same skill to other individuals [13,14,15]. This method of teaching accelerates training as it is provided in tiers, allowing for more individuals to be trained within a shorter period of time. Pyramidal training has been utilized within educational settings to train educators on various assessment methods such as preference assessments [16] and functional analyses (e.g., [17]) as well as intervention strategies [18]. For instance, Andzik and Schafer (2020) used pyramidal training combined with behavior skills training (BST; [19]) to teach four special education pre-service teachers how to coach four general education pre-service teachers to increase opportunities to initiate (OTI) for students with complex communication needs. All participants acquired the skill, and results were maintained with high levels of fidelity one year later. In all of these studies, behavior skills training was used to teach interventionists the target skill.
BST comprises four components: instruction, modeling, rehearsal, and feedback [20]. Instruction begins by having the trainer/expert provide written and verbal instructions to the learner on a specific target skill. Next, the trainer models, or physically acts out, the correct behavior for the learner. The third component, rehearsal, requires the learner to practice the skill being taught through role play either with the trainer or another individual. Lastly, the trainer uses written procedures to take data on the steps performed correctly and incorrectly by the learner and provides them with feedback. BST has been utilized to train a variety of individuals, such as teachers, caregivers, and children, on behavioral interventions (e.g., [14]). While there are many research-based behavioral interventions, those that specifically match the source or function of reinforcement for challenging behavior are considered the gold standard [21]. Related to the current study, Hogan et al. (2015) [22] used BST to teach four staff members to implement BIPs for two students with autism comprising differential reinforcement of alternative behavior (DRA) and extinction procedures.
DRA is a function-based intervention that teaches an individual to engage in appropriate, alternative behavior that results in access to the same reinforcer that maintains challenging behavior while reinforcement for challenging behavior is either minimized or withheld [23]. When reinforcement for challenging behavior is withheld in a DRA arrangement, an extinction contingency is in effect [24]. While previous research has shown that DRA with extinction is effective at decreasing challenging behavior [25], implementing this procedure in the school setting poses many challenges. For instance, it may be difficult to withhold the source of reinforcement leading to poor treatment fidelity [26]. Failure to withhold reinforcement inadvertently strengthens the relationship between challenging behavior and the maintaining consequence due to the intermittent schedule of reinforcement [27]. Additionally, there are well-documented side effects to extinction, such as a temporary increase in the frequency, duration, or magnitude of challenging behavior (i.e., extinction burst) or an overall increase in aggression (i.e., extinction-induced aggression; [28]). As such, school settings are ripe for the use of reinforcement-based approaches without extinction.
One way to implement DRA without extinction is by reinforcer parameter manipulations (see [29], for a review). Parameter manipulations include changing the quality, magnitude, or immediacy of the reinforcer provided for a target response. Quality is associated with an individual’s relative preference toward stimuli or the relative efficacy of the consequence event [30]. Magnitude is often considered to be the size or quantity of the reinforcer [31]. Immediacy refers to the amount of time, or delay, in which the consequence is delivered [32]. In a DRA without extinction arrangement, greater reinforcement is provided for the alternative behavior along at least one dimension (quality, magnitude, immediacy), whereas reinforcement is still provided for challenging behavior, but to a lesser degree. These arrangements have been shown to be effective at decreasing challenging behavior maintained by both negative and positive reinforcement contingencies.
Previous research has utilized reinforcer parameter manipulations in school settings to decrease challenging behavior maintained by social negative reinforcement (i.e., escape). For instance, Boyle et al. (2023) [33] used functional communication training (FCT; a type of DRA; [34]) without extinction to reduce elopement for one child in a preschool setting, and Andzik et al. (2022) used a token economy to decrease escape-maintained challenging behavior (i.e., aggression, elopement, property destruction) for three students in a public-school setting. Boyle et al. manipulated the magnitude of a tangible reinforcer to reduce elopement. Specifically, contingent on a communication response, the participant was given 30 s access to a highly preferred item, and contingent on elopement, the participant was given 3 s access to the item and then prompted to return to their seat. Andzik et al. manipulated the quality and magnitude of a reinforcer to decrease elopement without extinction by providing a 30 s break contingent on elopement, but a token to be exchanged for a longer break with a preferred item (i.e., six tokens equaled a 1 min break) was contingent on communication. In both studies, elopement maintained by social negative reinforcement decreased without the use of extinction.
For behavior maintained by social positive reinforcement, the use of DRA and reinforcer parameter manipulations have shown to be effective at decreasing challenging behavior [30,35,36]. For instance, Athens and Vollmer (2010) manipulated reinforcer quality, magnitude, and immediacy either in isolation or in combination with a DRA arrangement and were successful at decreasing challenging behavior for seven participants. These procedures have been replicated and extended by later articles (e.g., [35,36]) and shown similar effects. Taken together, previous research supports the use of parameter manipulations to implement DRA without extinction; however, these methods have not yet been evaluated with natural change agents (i.e., educators) as the interventionist. Thus, the purpose of the current study was to utilize pyramidal training to coach four educators to implement DRA without extinction to decrease challenging behavior maintained by social positive reinforcement for a student in an early childhood education classroom.

2. Methods

This research study utilizes a multiple baseline across participants (i.e., educators) design to demonstrate experimental control. The researcher (i.e., expert trainer, primary investigator) used BST and pyramidal training to coach educators in behavior-analytic interventions to measure the effects on procedural fidelity, the primary dependent variable. For the student participant, secondary measures include the effectiveness of FCT without extinction for the reduction in challenging behavior and effect on appropriate behavior.

2.1. Participants and Setting

Prior to beginning the study, the researcher met with the educators and caregivers to obtain written consent for research procedures. Participants included four educators and one student. All teacher participants were referred to as Educator (1, 2, 3, and 4), respectively, and the student was given a pseudonym, Jorge, to keep their personal information confidential. Educator 1 was a 50-year-old white female with 5.5 years of teaching experience. In this study, Educator 1 served as an early childhood special education teacher. Educator 2 was an early childhood general education paraprofessional. She was a 60-year-old white female with 25 years of experience working as a paraprofessional. Educators 3 and 4 were both special education paraprofessionals. Educator 3 was a 61-year-old, non-white Hispanic female with 12 years of experience working as a paraprofessional. Educator 4 was a 25-year-old non-white Hispanic female with an undergraduate degree in criminal justice but no independent teaching experience prior to this school year. The student participant, Jorge, was a 5-year-old non-white Hispanic male who qualified for receiving special education services through the Autism eligibility criteria. His teacher referred him for this study due to challenging behavior in the form of aggression. His primary method of communication was vocal verbal communication, with one- and two-word utterances, and his parents reported him to be bilingual in both English and Spanish.
The study took place in an early childhood special education (ECSE) pre-kindergarten inclusion classroom in a large suburban neighborhood school. The student body was 52.1% White, 40.1% Hispanic/Latino, 2.5% Black, 1.4% Asian or Asian/Pacific Islander, 0.2% American Indian or Alaska Native, and 0.1% Native Hawaiian or Pacific Islander. The classroom had a total of 22 students, ten students enrolled in the pre-kindergarten program and 12 students in the ESCE program. Disabilities for students in the ESCE program included Down syndrome, autism, spina bifida, deaf, blind, and noncategorical early childhood. The classroom had one teacher, and three paraprofessionals, leaving the average ratio of students to staff at 1:5. The classroom held a large group area (carpet/calendar), four small group tables, and five centers (i.e., library, dramatic play, blocks/cars, sensory table, and art). All sessions, including baseline, intervention, and maintenance, took place in the ECSE classroom on the elementary school campus. The researcher obtained approval from both the university’s institutional review board (IRB) and the school district to gain access to the campus and perform the study.

2.2. General Procedures

The study included two primary interventions, one focusing on the educators and the other on the student. Researchers employed a multiple baseline across participants (i.e., educators) design to evaluate the effects of utilizing BST with pyramidal training on educators’ implementation (i.e., treatment integrity) of the FCT without extinction intervention. All initial BST training sessions took place before or after school at the convenience of the educators. Sessions were held three times a week on average and averaged 30 min in length. For Jorge, the researcher measured the effectiveness of FCT without extinction on challenging behavior and appropriate behavior using an A-B design.

2.3. Response Definition and Measurement

There were three dependent measures in the current study: student aggression and functional communication responses, and educator treatment integrity. Researchers defined aggression as any forceful contact between Jorge and another person, which included hitting, kicking, and pinching. The functional communication response (FCR) was defined as picking up a picture card and handing it to the educator. The rationale for using picture exchange [15] was two-fold. First, although the student’s primary means of communication was vocal utterances, the word “toys” was difficult for him to pronounce and for others to understand. As such, picture exchange allowed all educators to understand and reinforce this request. Second, introducing picture exchange allowed for other communication responses to be taught at a later time and reinforced in a shorter amount of time, given vocal utterances were often misunderstood or not reinforced in the classroom environment. Each session consisted of 10 opportunities for either student challenging behavior or communication to occur, and as such, challenging behavior and communication responses are reported as % of opportunities. An opportunity (i.e., trial) was defined as the implementer presenting the evocative situation (i.e., removing preferred item) and waiting for either target response to occur. The termination of one trial (i.e., delivery of reinforcer for specified amount of time) initiates the next trial.
Educator treatment integrity was defined as the number of intervention steps implemented correctly based on the FCT without extinction treatment fidelity checklist and reported as the percentage of steps implemented correctly. The number of steps implemented correctly was divided by the total number of steps and multiplied by 100 to obtain the treatment integrity percentage for each educator participant.

2.4. Materials

Materials included tangible stimuli used as reinforcers, a picture exchange card for student communication, stimulus cards for the stimulus magnitude preference assessment, the social validity questionnaire (based on the questionnaire published in [37]), and paper datasheets and pens for data collection. The tangible stimuli used as reinforcers in the FCT evaluation included play doh and stickers. The picture exchange card was a laminated 6 cm × 10 cm card with a picture of various toys and the word “toys” printed on it. The stimulus cards for the stimulus magnitude preference assessment were the same as the communication card, but the stimulus card associated with the larger stimulus magnitude value increased by 1 cm each session. The stimulus card associated with the 5 s magnitude remained the same.

2.5. Interobserver Agreement

Interobserver agreement (IOA) was collected for all dependent variables and for at least 33% of sessions within each condition for each participant. Reliability for Jorge’s aggression and FCRs was attained for 50% of sessions, and the resulting IOA score was 97% (range, 96–100%). For educator coaching fidelity, scored interval IOA was measured, and the resulting score was 96% (range, 81–100%) of steps implemented correctly.

2.6. Coaching Fidelity

Coaching fidelity was collected for the researcher and educators while coaching the next tier of interventionists using a researcher-developed task analysis of the coaching procedures (see Table 1). The coaching procedures were used as a tool to help participants train others on how to implement the intervention. Coaching fidelity is reported as the percentage of coaching procedures implemented correctly divided by the total number of steps and then multiplied by 100. Across participants, coaching fidelity averaged 89% of steps correctly completed (range, 79–94%).
Table 1. Coaching Procedures for Pyramidal Training.
Table 1. Coaching Procedures for Pyramidal Training.
StepProcedure
1Give rationale for the use of FCT without extinction as an intervention.
2Provide verbal and written instructions for the intervention (see Table 2).
3Demonstrate the FCT procedures by modeling it for the educator.
4Check for understanding by asking questions.
5Answer all questions asked.
6Provide educator with all materials needed to implement the intervention.
7Have participant rehearse the FCT steps using role-play with the coach and various scenarios including both instances of aggression and communication.
8Monitor and observe the participant while they rehearse.
9Mark steps completed correctly and incorrectly on FCT steps data sheet.
10Give feedback; provide praise for all steps completed correctly and discuss missed or incorrect steps.
11Ask participant to provide feedback on their own performance.
12Check for understanding by asking if there are any questions.
13Answer all questions asked.
14Repeat steps 7–13 until participant has reached mastery criterion.
Table 2. Treatment Integrity for FCT without Extinction Intervention.
Table 2. Treatment Integrity for FCT without Extinction Intervention.
StepProcedure
1Educator presents evocative situation to initiate a trial (i.e., remove preferred item).
2Contingent on challenging behavior, the educator provides the student with access to the low-quality item (playdoh) for a small magnitude (5 s).
Contingent on a communication response, the educator provides the student with access to the high-quality item (stickers) for a large magnitude (20 s).
The educator terminates the sessions after 10 instances of either challenging behavior or communication has occurred.

2.7. Preintervention Assessments

Prior to designing the FCT without extinction intervention, a functional behavior assessment (FBA) was conducted to determine the function of Jorge’s aggression. First, the functional analysis screening tool (FAST; [38]) was completed with all educators and Jorge’s caregiver. Then, a trial-based functional analysis [39] was conducted in the classroom setting, with the researcher serving as lead implementer. Results demonstrated that Jorge engages in aggression to access tangible items (i.e., stickers, toys). Thus, the FCR that was taught during FCT was picture exchange for highly preferred items (“toys”). Data are available upon request.
Prior to implementing pyramidal training with the educators on FCT without extinction, the researcher performed preference assessments to determine which reinforcers to use in the treatment evaluation with the student as well as the appropriate parameter values for the magnitude manipulation. Additionally, given that aggression was the target behavior, the researcher and educators mutually agreed that quality and magnitude manipulations would be the most feasible and acceptable FCT arrangement to implement (i.e., delay was likely to result in additional instances of aggression). The researcher conducted a paired stimulus preference assessment [40] with the student to identify the items to be used as the high-quality and low-quality reinforcers. High quality was defined as a stimulus chosen on at least 60% of trials, while low-quality was defined as a stimulus chosen on less than 40% of trials. Results from the preference assessment demonstrated that stickers were high-quality, and playdoh was a low-quality reinforcer.
A stimulus magnitude preference assessment was conducted to determine the high and low magnitude values to be used in the FCT contingency [36]. Sessions followed the procedures outlined in MacNaul (2020) and were similar to a paired stimulus preference assessment arrangement [40]. Sessions terminated when Jorge allocated 100% of responses to the larger magnitude response option. This occurred when the options were 20 s and 5 s; therefore, 20 s access was used as the high-magnitude value, whereas 5 s access was used as the low-magnitude value.

2.8. Intervention Procedures

This study is composed of two interventions: one for educator training, and the other for the student’s challenging behavior. The educator-level intervention includes BST and pyramidal training for proper implementation of FCT procedures (i.e., treatment integrity). The student-level intervention evaluated the impact of FCT without extinction on levels of aggression and FCRs.

2.8.1. Educator Baseline

During baseline, the researcher provided the participants with the written instruction for the FCT without extinction procedures. After reading the instructions, the researcher asked the participants to perform the FCT procedures with the researcher (acting as the student) to the best of their ability. The researcher provided no coaching or feedback in baseline; if educators asked for guidance, they were reminded that training would be provided in the next phase.

2.8.2. BST/Pyramidal Training

After baseline data were stable for Educator 1, the researcher coached Educator 1 in the student intervention procedures using BST [19]. Specifically, the researcher provided a rationale for the student intervention (e.g., why communication needed to be taught in order to reduce challenging behavior), as well as a verbal and written description of the intervention. The FCT treatment integrity checklist is provided in Table 2. The researcher then modeled the FCT procedure, provided an opportunity for Educator 1 to rehearse the FCT procedures with the researcher, and provided descriptive feedback on steps implemented correctly/incorrectly from the FCT checklist. These steps were repeated until Educator 1 reached 90% fidelity for all the steps of the FCT procedure while role-playing with the researcher. Once Educator 1 reached fidelity with the researcher, the researcher observed Educator 1 performing the intervention with the student. While the educator was implementing the intervention with the student, the researcher provided the educator with immediate corrective feedback (i.e., in situ coaching). Then, after each intervention session, the researcher provided praise for all steps performed correctly and feedback on the steps performed incorrectly. Additionally, the researcher provided the educators with a scored copy of the FCT treatment integrity checklist for their own visual reference. Then, trainee participants were given the opportunity to provide feedback to trainers as well as ask any questions about the procedure or session.
Once Educator 1 met mastery criteria for implementation with the student (at least 80% correct for three consecutive sessions). The researcher reviewed the BST coaching procedures with Educator 1. Then, Educator 1 provided coaching to Educator 2. While the educators were coaching the successive tier, the researcher collected data on coaching fidelity and provided feedback to the coaches. Once Educator 2 reached mastery criteria of implementing the intervention with the student, the same procedures were followed until all four educators had received coaching and reached mastery criteria.

2.8.3. Maintenance Phase

During the maintenance phase, the researcher observed the educators continuing to implement FCT without extinction with the student for one session; however, no additional coaching or feedback was provided. This served to evaluate whether the fidelity of implementation was maintained after the instructions and feedback were removed.

2.8.4. Student Baseline

Student baseline was taken by the researcher during the initial classroom observations in the natural environment. Thus, there were no programmed consequences for challenging behavior or appropriate behavior. Once baseline data were stable, the functional analysis was implemented to determine the function of the student’s documented challenging behaviors, followed by the preference assessments and FCT evaluation.

2.8.5. FCT without Extinction via Quality + Magnitude Manipulation

In the student’s treatment evaluation, reinforcement favored the FCR; the consequence provided for the FCR was access to a high-quality reinforcer (stickers) for a large magnitude (20 s). In contrast, challenging behavior was reinforced with a low-quality reinforcer (playdoh) at a small magnitude (5 s).

2.9. Social Validity

To evaluate the social validity of the pyramidal training package, the researcher conducted a social validity questionnaire with the educators. Questions were similar to Strohmeier et al. (2014) and included eight items about the behavior support plan and the training methods provided. Results for the social validity questionnaire indicated that all educators felt as though feedback was adequately provided, and they either strongly agreed (50% of responses) or agreed (50% of responses) that they felt comfortable training others to implement the intervention independently.

3. Results

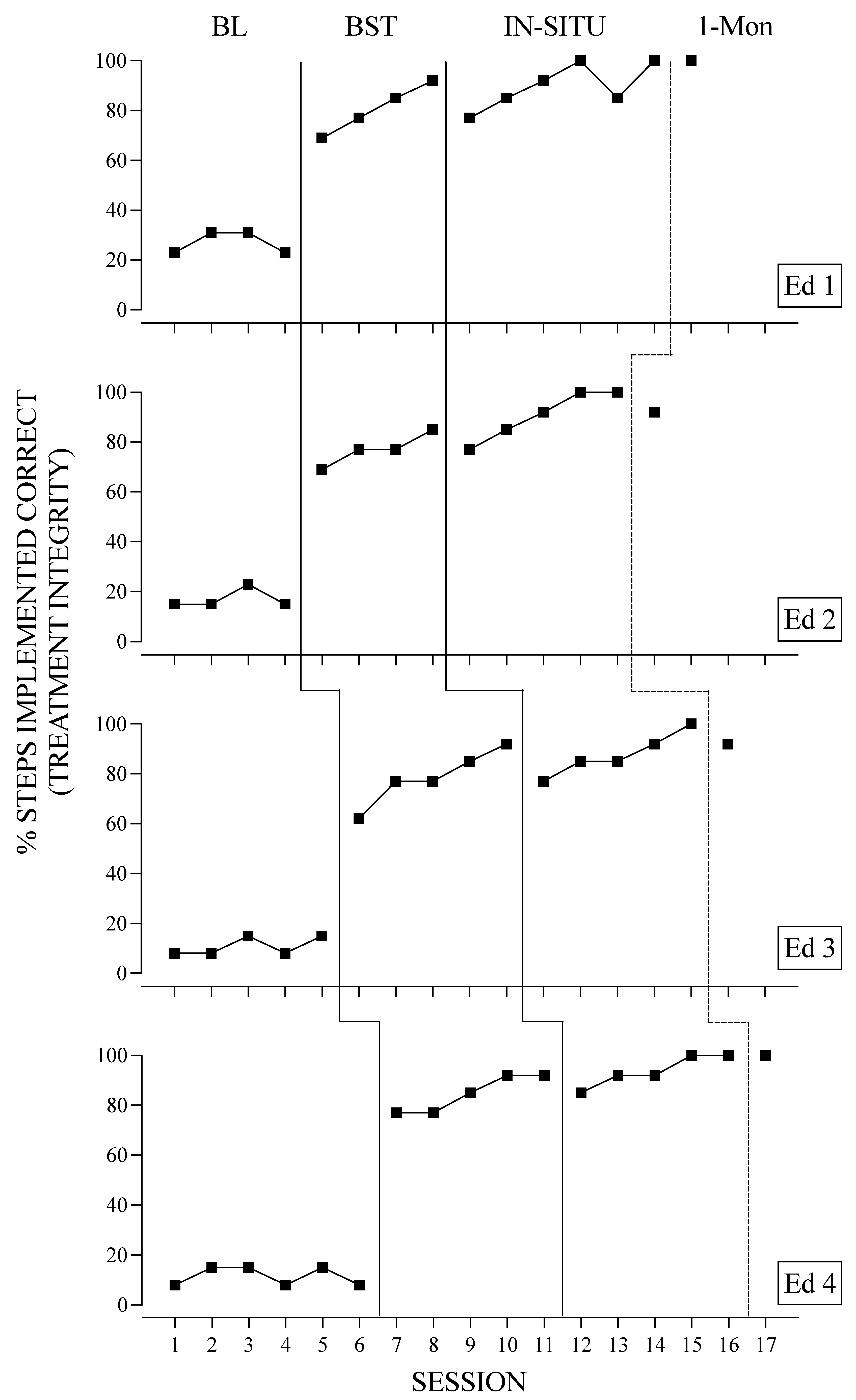
Figure 1 displays treatment integrity results for all educators; Educator 1 (Ed1; Top Panel), Educator 2 (Ed2; Second Panel), Educator 3 (Ed3; Third Panel), and Educator 4 (Ed4; Last Panel) across baseline, BST, and in situ experimental conditions. During baseline, educators’ performance was relatively low and stable, with an average of 17% of steps performed correctly (range, 8–23%). These results indicate that participants had no prior knowledge or training for the intervention procedures. Additionally, when provided with only written instruction on the intervention plan (see Table 2), each participant was still in need of additional coaching.
During BST, performance improved across all educators to an average of 80% of steps completed correctly (range, 62–92%), with an increasing trend observed as sessions progressed. Only one session resulted in a score below the 80% criterion (e.g., 62%; Educator 3), and all educators met mastery criterion (i.e., 80% across three sessions) within four BST sessions. Similar results were obtained during the in situ condition (i.e., implementation of the intervention with the student in the classroom environment). Specifically, all educators’ performance continued to improve, with an average of 91% of steps correctly completed within the four sessions (range, 77–100%). Moreover, all educators were able to implement the intervention with 100% fidelity in the final session of the in situ condition. Lastly, in the final phase of the intervention (1-month maintenance probe), educators’ performance maintained at high levels with an average of 96% (range, 92–100%) of steps implemented correctly.
Figure 2 displays the student treatment evaluation results and educator fidelity for in situ sessions. Baseline levels of challenging behavior were high, with instances occurring in an average of 80% (range, 80–100%) of trials. No communication responses were observed in baseline. Throughout intervention sessions communication responses occurred at high levels for an average of 87% (range, 70–100%) of trials, while challenging behavior remained low for an average of 13% (range, 0–30%) of trials. As each new educator was introduced, challenging behavior slightly increased but overall had a decreasing trend throughout the intervention condition. Overall, we observed correspondence between levels of treatment integrity and occurrences of the FCR. Additionally, when treatment integrity was high, the student’s challenging behavior demonstrates a decreasing trend with complete reduction to zero occurrences by session 28. The final phase, a 1-month probe session, conducted by each educator in order (E1–E4), respectively, shows the student maintained high levels of FCRs with an average of 97% (range, 90–100%) of trials per session.
In terms of efficiency of the training and intervention procedures, educators met mastery criteria for implementation of the intervention with the trainer in an average of 4.5 sessions (range, 4–5 sessions) and Jorge’s challenging behavior reduced to zero after 18 intervention sessions. Given that each session was approximately 30 min, each educator was trained on the intervention in approximately 2.5 h and the student’s behavior reduced after 9 h of intervention. Moreover, given that the researcher only provided coaching to Educator 1, who met the mastery criteria after four sessions, only 2 h of direct training was required on their behalf.

4. Discussion

The results of the study indicated that after receiving BST, the educators were able to implement reinforcement-based intervention with the student with high levels of treatment integrity, ameliorating student challenging behavior. Moreover, the pyramidal training model enabled efficient allocation of resources, a necessary consideration in public school settings, as Educator 1 was the only participant who received training from the expert-trainer (i.e., researcher). This study extended the research on using pyramidal behavior skills training for educators to implement FCT without extinction for challenging behaviors in the early childhood inclusion classroom. It is similar to other studies which utilized DRA without extinction but also sheds new light on feasible coaching models for reinforcement-based interventions within the school setting.
The current study developed methods based on previous research but addressed several noted limitations. First, the current study demonstrated experimental control on the level of the educator using a multiple baseline across participants design while simultaneously tracking student behavior with an AB design. That is, experimental control was not demonstrated for the effect of FCT on student-level behavior. In contrast, previous studies that utilized a reversal design to evaluate FCT without extinction noted that replication of initial baseline responding was not achieved as the return to baseline did not result in the same levels of challenging behavior [30]. By demonstrating experimental control on behalf of the educators, a return to baseline was not required for the student.
Another difference to note is that in the current study, the student participant maintained high levels of communication responses across all treatment sessions, whereas in the evaluation of DRA without extinction by Kunnavatana et al. (2018) [35], not all participants maintained high levels of alternative behavior during the treatment evaluation. The authors propose that this may have been because the reinforcer parameters that were manipulated were not those that the participant was most sensitive to or, more importantly, because only one reinforcer parameter was manipulated. The results of the current study and those of previous research in which two or more reinforcer parameters were manipulated [30,41], suggest that when multiple parameters are manipulated in combination, the alternative response is likely to maintain at high levels. Therefore, identifying reinforcer parameters in which a participant is most and least sensitive to may not be necessary as long as two or more reinforcer parameters are manipulated simultaneously. Moreover, given the student’s challenging behavior was maintained by access to tangible items, the educators agreed that quality and magnitude manipulations would be the most feasible for the classroom setting (in lieu of relative parameter sensitivity assessments) which allowed for efficient treatment planning and intervention procedures that educators were able to implement with fidelity.
A major strength of the current study is the social validity of these procedures and outcomes. First, participants included educators of a variety of specialties and training backgrounds (special education teachers, general education teachers, and paraprofessionals), three of which had no formal training in behavior analysis. In contrast, the study conducted by Andzik and Schafer (2020) as well as Pence et al. (2014) each used a homogenous sample of pre-service and in-service teachers, all of whom had formal training in special education. Thus, the current study supports the use of pyramidal training models for educators of diverse backgrounds and prior training experiences. Second, this study was conducted using both student and educator participants from an early childhood public education classroom where environmental factors are constantly in flux. By comparison, previous studies were conducted on university campuses and secondary classrooms where the environment was more tightly controlled with a consistent schedule [18,42,43]. That is, the pyramidal training intervention was successful even though there were disruptions due to holidays and predetermined school breaks (i.e., winter break). Lastly, the overall time to train each educator and reduce student challenging behavior was minimal (9 h of training and 9 h of intervention) and only 2 h of direct coaching was required on behalf of the researcher. Given that the educator participants felt comfortable training others to implement the intervention independently, pyramidal training could serve as a viable model to prepare educators to implement other function-based interventions that prevent and address student challenging behavior [9].
We also extended previous research on BST and pyramidal training by coaching each educator to use fidelity checklists to deliver feedback to their trainee. Previous research on descriptive assessments for educator-implemented BST showed that they were likely to use instruction, modeling, and role play, but only half collected fidelity data to deliver feedback [44]. In the current study, the coach provided feedback to the educators using a fidelity checklist throughout all phases of the study, including the in situ condition with the student. Of note, one of the most common mistakes educators made while implementing the intervention with the student was to not withhold reinforcement or provide verbal reprimands when challenging behavior occurred. Teachers may be accustomed to providing putative consequences for challenging behavior, such as timeout, verbal reprimands, and/or withholding reinforcement for the student. However, by using fidelity checklists, coaches were able to provide descriptive feedback on steps each educator implemented correct and incorrect, resulting in therapeutic effects for the student behavior.
There are two main clinical implications for the current study. First is the reinforcement history between educators and the student, and second is the potential satiation of preferred tangible reinforcers. With respect to reinforcement history and treatment integrity, even with low levels of errors, students may still exhibit some challenging behaviors. Educators with previous histories of providing reinforcement for appropriate behaviors may influence the student’s response rate for new behaviors. For example, Educators 1 and 4 each saw challenging behavior decrease to zero levels, whereas Educators 2 and 3 did not (even though the intervention was implemented with high levels of treatment integrity). Therefore, the researcher should take into consideration pre-treatment histories of reinforcement between the educator and student and plan for additional training sessions with educators in which reinforcement histories are limited. Additionally, treatment integrity steps could include a set number of praise statements to be delivered in each session.
Another consideration is the potential for students to become satiated with preferred reinforcers and the need to introduce novel stimuli that are the same stimulus class (i.e., a different set of stickers) to ensure reinforcing effects of the consequence are maintained. Based on visual analysis of intervention data with the student for Educators 2 and 3, it was noted that although treatment integrity was high, challenging behaviors were still present. The researcher hypothesized the student may have been satiated on the preferred reinforcer. Thus, novel stimuli were introduced with Educator 4, resulting in a decrease in challenging behavior to zero levels. In future studies on FCT without extinction, it is imperative that the reinforcing value of the stimuli delivered are constantly monitored to ensure that the most relevant reinforcer is provided contingent on target behaviors.
There are a few limitations to the study that should be discussed; these include having one student participant and creating an individualized intervention plan. Both limitations do not allow the study to generalize to all populations. Specifically, one student participant does not allow for conclusions regarding the effectiveness of this intervention for all students. Although this study demonstrates that the BST and pyramidal training model was effective at improving implementation fidelity for a heterogeneous sample of educators, conclusions are limited for student outcomes. Future research should replicate these procedures with students of various ages, abilities, and communication repertoires to assess for external validity. Additionally, it is imperative that the FCT without extinction be individualized to each student. The FCT intervention in the current study was based off pre-assessments for the target student and as such, cannot be replicated exactly for other student participants. Therefore, future research may explore BST and pyramidal training models to prepare educators to develop similar yet individualized interventions for other students, using the process outlined in the current study as a framework.
In conclusion, this study demonstrates that using BST and pyramidal training models in a public education setting is effective at coaching a variety of educators to implement reinforcement-based interventions and improve student behavior. Thus, the results support and extend current research on FCT without extinction, including the use of stimulus preference assessments and stimulus magnitude sensitivity assessments to identify high and low-quality/magnitude reinforcers to manipulate during treatment planning. Additionally, this study notes the importance of continued research to address challenging behavior that may not be appropriate for extinction-based intervention packages or settings in which extinction is not feasible.

Author Contributions

Conceptualization, C.T. and H.M.; methodology, C.T.; validation, H.M. and C.T.; formal analysis, C.T.; investigation, C.T.; data curation, C.T.; writing—original draft preparation, C.T.; writing—review and editing, H.M.; supervision, H.M.; project administration, C.T. All authors have read and agreed to the published version of the manuscript.

Funding

This research received no external funding.

Institutional Review Board Statement

The study was conducted in accordance with the Declaration of Helsinki, and approved by the Institutional Review Board of University of Texas at San Antonio (IRB# FY20-21-112, approved 24 August 2021).

Informed Consent Statement

Informed consent was obtained from all subjects involved in the study.

Data Availability Statement

The data presented in this study are available on request from the corresponding author.

Conflicts of Interest

The authors declare no conflict of interest.

References

  1. Emerson, E.; Kiernan, C.; Alborz, A.; Reeves, D.; Mason, H.; Swarbrick, R.; Mason, L.; Hatton, C. The prevalence of challenging behaviors: A total population study. Res. Dev. Disabil. 2001, 22, 77–93. [Google Scholar] [CrossRef] [PubMed]
  2. Gilliam, W.S. Prekindergartners Left Behind: Expulsion Rates in State Pre-Kindergarten Systems; Foundation for Child Development: New York, NY, USA, 2005. [Google Scholar]
  3. Ritz, M.; Noltemeyer, A.; Davis, D.; Green, J. Behavior management in preschool classrooms: Insights revealed through systematic observation and interview. Psychol. Sch. 2014, 51, 181–197. [Google Scholar] [CrossRef]
  4. Individuals with Disabilities Education Act, 20 U.S.C. § 1400 et seq. 2004. Available online: https://sites.ed.gov/idea/statute-chapter-33/subchapter-i/1400 (accessed on 2 May 2021).
  5. Bambara, L.M.; Goh, A.; Kern, L.; Caskie, G. Perceived barriers and enablers to implementing individualized positive behavior interventions and supports in school settings. J. Posit. Behav. Interv. 2012, 14, 228–240. [Google Scholar] [CrossRef]
  6. Hamre, B.; Pianta, R.; Downer, J.; Mashburn, A. Teachers’ perceptions of conflict with young students: Looking beyond problem behaviors. Soc. Dev. 2008, 17, 115–136. [Google Scholar] [CrossRef]
  7. Oram, L.; Owens, S.; Maras, M. Functional behavior assessments and behavior intervention plans in rural schools: An exploration of the need, barriers, and recommendations. Prev. Sch. Fail. 2016, 60, 305–310. [Google Scholar] [CrossRef]
  8. Stayton, V.D.; Dietrich, S.L.; Smith, B.J.; Beth Bruder, M.; Mogro-Wilson, C.; Swigart, A. State certification requirements for early childhood special educators. Infants Young Child. 2009, 22, 4–12. [Google Scholar] [CrossRef]
  9. Early Childhood Personnel Center. Cross Walk of the Initial Practice-Based Professional Preparation Standards for Early Interventionists/Early Childhood Special Educators (2020) with the Professional Standards and Competencies for Early Childhood Educators (2020); University of Connecticut Center for Excellence in Developmental Disabilities: Farmington, CT, USA, 2020; Available online: https://ecpcta.org/ (accessed on 17 April 2023).
  10. Hyson, M.; Tomlinson, H.; Morris, C. Quality improvement in early childhood teacher education: Faculty perspectives and recommendations for the future. Early Child. Res. 2009, 11, n1. Available online: http://ecrp.uluc.edu/v11n1/hyson.htm (accessed on 17 April 2023).
  11. Hemmeter, M.L.; Corso, R.; Cheatham, G. Issues in addressing challenging behaviors in young children: A national survey of early childhood educators. In Proceedings of the Conference on Research Innovations in Early Intervention, San Diego, CA, USA, 15 February 2006. [Google Scholar]
  12. Pinkelman, S.E.; McIntosh, K.; Rasplica, C.K.; Berg, T.; Strickland-Cohen, M.K. Perceived enablers and barriers related to sustainability of school-wide positive behavioral interventions and supports. Behav. Disord. 2015, 40, 171–183. [Google Scholar] [CrossRef]
  13. Andzik, N.; Cannella-Malone, H.I. A review of the pyramidal training approach for practitioners working with individuals with disabilities. Behav. Modif. 2017, 41, 558–580. [Google Scholar] [CrossRef]
  14. Conklin, S.M.; Wallace, M.D. Pyramidal parent training using behavioral skills training: Training caregivers in the use of a differential reinforcement procedure. Behav. Interv. 2019, 34, 377–387. [Google Scholar] [CrossRef]
  15. Martocchio, N.; Rosales, R. An evaluation of pyramidal training to teach implementation of the picture exchange communication system. Behav. Interv. 2016, 31, 265–282. [Google Scholar] [CrossRef]
  16. Pence, S.T.; Peter, C.C.S.; Tetreault, A.S. Increasing accurate preference assessment implementation through pyramidal training. J. Appl. Behav. Anal. 2012, 45, 345–359. [Google Scholar] [CrossRef]
  17. Kunnavatana, S.S.; Bloom, S.E.; Samaha, A.L.; Lignugaris/Kraft, B.; Dayton, E.; Harris, S.K. Using a modified pyramidal training model to teach special education teachers to conduct trial-based functional analyses. Teach. Educ. Spec. Educ. 2013, 36, 267–285. [Google Scholar] [CrossRef]
  18. Andzik, N.R.; Schaefer, J.M. Pre-service teacher-delivered behavioral skills training: A pyramidal training approach. Behav. Interv. 2020, 35, 99–113. [Google Scholar] [CrossRef]
  19. Parsons, M.B.; Rollyson, J.H.; Reid, D.H. Teaching practitioners to conduct behavioral skills training: A pyramidal approach for training multiple human service staff. Behav. Anal. Pract. 2013, 6, 4–16. [Google Scholar] [CrossRef]
  20. Miltenberger, R.G. Behavior Modification: Principles and Procedures, 4th ed.; Thompson Wadsworth: Belmont, CA, USA, 2008. [Google Scholar]
  21. Hanley, G.P.; Iwata, B.A.; McCord, B.E. Functional analysis of problem behavior: A review. J. Appl. Behav. Anal. 2003, 36, 147–185. [Google Scholar] [CrossRef]
  22. Hogan, A.; Knez, N.; Kahng, S. Evaluating the use of behavioral skills training to improve school staffs’ implementation of behavior intervention plans. J. Behav. Educ. 2015, 24, 242–254. [Google Scholar] [CrossRef]
  23. Vollmer, T.R.; Peters, K.P.; Kronfli, F.R.; Lloveras, L.A.; Ibañez, V.F. On the definition of differential reinforcement of alternative behavior. J. Appl. Behav. Anal. 2020, 53, 1299–1303. [Google Scholar] [CrossRef] [PubMed]
  24. Iwata, B.A.; Pace, G.M.; Cowdery, G.E.; Miltenberger, R.G. What makes extinction work: An analysis of procedural form and function. J. Appl. Behav. Anal. 1994, 27, 131–144. [Google Scholar] [CrossRef] [PubMed]
  25. Gerow, S.; Davis, T.; Radhakrishnan, S.; Gregori, E.; Rivera, G. Functional communication training: The strength of evidence across disabilities. Except. Child. 2018, 85, 86–103. [Google Scholar] [CrossRef]
  26. Burt, J.L.; Pennington, R.C. A teacher’s guide to using extinction in school settings. Interv. Sch. Clin. 2017, 53, 107–113. [Google Scholar] [CrossRef]
  27. Lerman, D.C.; Iwata, B.A.; Shore, B.A.; Kahng, S.W. Responding maintained by intermittent reinforcement: Implications for the use of extinction with problem behavior in clinical settings. J. Appl. Behav. Anal. 1996, 29, 153–171. [Google Scholar] [CrossRef] [PubMed]
  28. Lerman, D.C.; Iwata, B.A.; Wallace, M.D. Side effects of extinction: Prevalence of bursting and aggression during the treatment of self-injurious behavior. J. Appl. Behav. Anal. 1999, 32, 1–8. [Google Scholar] [CrossRef] [PubMed]
  29. MacNaul, H.; Neely, L. Systematic review of differential reinforcement of alternative behavior without extinction for individuals with autism. Behav. Modif. 2018, 42, 398–421. [Google Scholar] [CrossRef]
  30. Athens, E.S.; Vollmer, T.R. An investigation of differential reinforcement of alternative behavior without extinction. J. Appl. Behav. Anal. 2010, 43, 569–589. [Google Scholar] [CrossRef] [PubMed]
  31. McComas, J.J.; Hartman, E.C.; Jimenez, A. Some effects of magnitude of reinforcement on persistence of responding. Psychol. Rec. 2008, 58, 517–528. [Google Scholar] [CrossRef]
  32. Horner, R.H.; Day, H.M. The effects of response efficiency on functionally equivalent competing behaviors. J. Appl. Behav. Anal. 1991, 24, 719–732. [Google Scholar] [CrossRef]
  33. Boyle, M.A.; Monaco, B.L.; Ebeling, L.M. Treating elopement without extinction in a preschool setting. Behav. Interv. 2023, 38, 268–282. [Google Scholar] [CrossRef]
  34. Carr, E.G.; Durand, V.M. Reducing behavior problems through functional communication training. J. Appl. Behav. Anal. 1985, 18, 111–126. [Google Scholar] [CrossRef]
  35. Kunnavatana, S.S.; Bloom, S.E.; Samaha, A.L.; Slocum, T.A.; Clay, C.J. Manipulating parameters of reinforcement to reduce problem behavior without extinction. J. Appl. Behav. Anal. 2018, 51, 283–302. [Google Scholar] [CrossRef]
  36. MacNaul, H.L. Differential Reinforcement without Extinction: An Assessment of Sensitivity to and Effects of Reinforcer Parameter Manipulations. Ph.D. Thesis, University of South Florida, Tampa, FL, USA, 2020. [Google Scholar]
  37. Strohmeier, C.; Mulé, C.; Luiselli, J. Social validity assessment of training methods to improve treatment integrity of special education service providers. Behav. Anal. Pract. 2014, 7, 15–20. [Google Scholar] [CrossRef] [PubMed]
  38. Iwata, B.A.; DeLeon, I.G.; Roscoe, E.M. Reliability and validity of the functional analysis screening tool. J. Appl. Behav. Anal. 2013, 46, 271–284. [Google Scholar] [CrossRef]
  39. Lambert, J.M.; Bloom, S.E.; Irvin, J. Trial-based functional analysis and functional communication training in an early childhood setting. J. Appl. Behav. Anal. 2012, 45, 579–584. [Google Scholar] [CrossRef]
  40. Fisher, W.; Piazza, C.C.; Bowman, L.G.; Hagopian, L.P.; Owens, J.C.; Slevin, I. A comparison of two approaches for identifying reinforcers for persons with severe and profound disabilities. J. Appl. Behav. Anal. 1992, 25, 491. [Google Scholar] [CrossRef] [PubMed]
  41. Andzik, N.; Smith, E.; Neef, N. Using a token economy to treat escape-maintained problem behavior without extinction. Behav. Modif. 2022, 46, 128–146. [Google Scholar] [CrossRef]
  42. Pence, S.T.; Peter, C.C.S.; Giles, F.A. Teacher acquisition of functional analysis methods using pyramidal training. J. Behav. Educ. 2014, 23, 132–149. [Google Scholar] [CrossRef]
  43. Shore, B.A.; Iwata, B.A.; Vollmer, T.R.; Lerman, D.C.; Zarcone, J.R. Pyramidal staff training in the extensions of treatment for severe behavior disorders. J. Appl. Behav. Anal. 1995, 28, 323–332. [Google Scholar] [CrossRef] [PubMed]
  44. Lerman, D.C.; Luck, K.M.; Smothermon, S.; Zey, B.A.; Custer, T.; Smith, L.D. Training of paraprofessionals by their classroom teachers: A descriptive evaluation of pyramidal training outcomes. J. Behav. Educ. 2020, 29, 675–698. [Google Scholar] [CrossRef]
Figure 1. Educator Coaching Results.
Figure 1. Educator Coaching Results.
Education 13 00539 g001
Figure 2. Student Treatment Evaluation Results with Educator Fidelity. Note. TI = treatment integrity. Sessions 24–27 were conducted by Educators 1–4, respectively.
Figure 2. Student Treatment Evaluation Results with Educator Fidelity. Note. TI = treatment integrity. Sessions 24–27 were conducted by Educators 1–4, respectively.
Education 13 00539 g002
Disclaimer/Publisher’s Note: The statements, opinions and data contained in all publications are solely those of the individual author(s) and contributor(s) and not of MDPI and/or the editor(s). MDPI and/or the editor(s) disclaim responsibility for any injury to people or property resulting from any ideas, methods, instructions or products referred to in the content.

Share and Cite

MDPI and ACS Style

Thompson, C.; MacNaul, H. Using Pyramidal Training to Address Challenging Behavior in an Early Childhood Education Classroom. Educ. Sci. 2023, 13, 539. https://doi.org/10.3390/educsci13060539

AMA Style

Thompson C, MacNaul H. Using Pyramidal Training to Address Challenging Behavior in an Early Childhood Education Classroom. Education Sciences. 2023; 13(6):539. https://doi.org/10.3390/educsci13060539

Chicago/Turabian Style

Thompson, Courtney, and Hannah MacNaul. 2023. "Using Pyramidal Training to Address Challenging Behavior in an Early Childhood Education Classroom" Education Sciences 13, no. 6: 539. https://doi.org/10.3390/educsci13060539

APA Style

Thompson, C., & MacNaul, H. (2023). Using Pyramidal Training to Address Challenging Behavior in an Early Childhood Education Classroom. Education Sciences, 13(6), 539. https://doi.org/10.3390/educsci13060539

Note that from the first issue of 2016, this journal uses article numbers instead of page numbers. See further details here.

Article Metrics

Back to TopTop