Exploring Students’ Mathematical Reasoning Behavior in Junior High Schools: A Grounded Theory
Abstract
1. Introduction
2. Theoretical Framework
2.1. Mathematical Reasoning
- Recognizing reasoning and proof as essential aspects of mathematics.
- Constructing and finding mathematical conjectures.
- Developing and assessing arguments.
- Choosing and using various types of reasoning and methods of proof.
2.2. Meta-Reasoning
2.3. Affective Aspect in Mathematical Reasoning
2.4. Mathematical Reasoning Behavior
3. Materials and Methods
3.1. Selection of Subjects
3.2. Tasks
3.3. Data Analysis
4. Results
4.1. Student with Imitative Reasoning Behavior (IS)
4.1.1. Drawing Logical Conclusions
4.1.2. Constructing and Testing Conjectures
4.1.3. Composing Valid Arguments
4.1.4. Monitoring and Control Metacognitive
4.1.5. Self-Confidence
4.2. Student with Algorithmic Reasoning Behavior (AS)
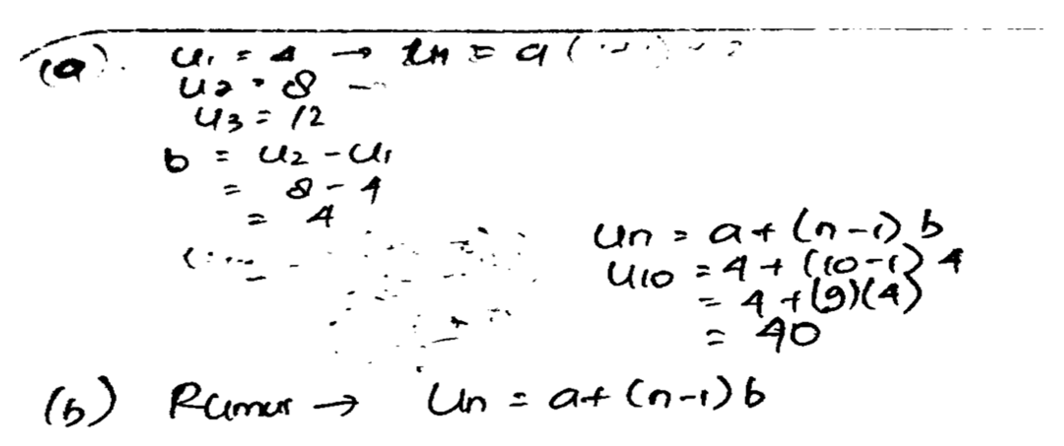
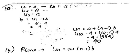
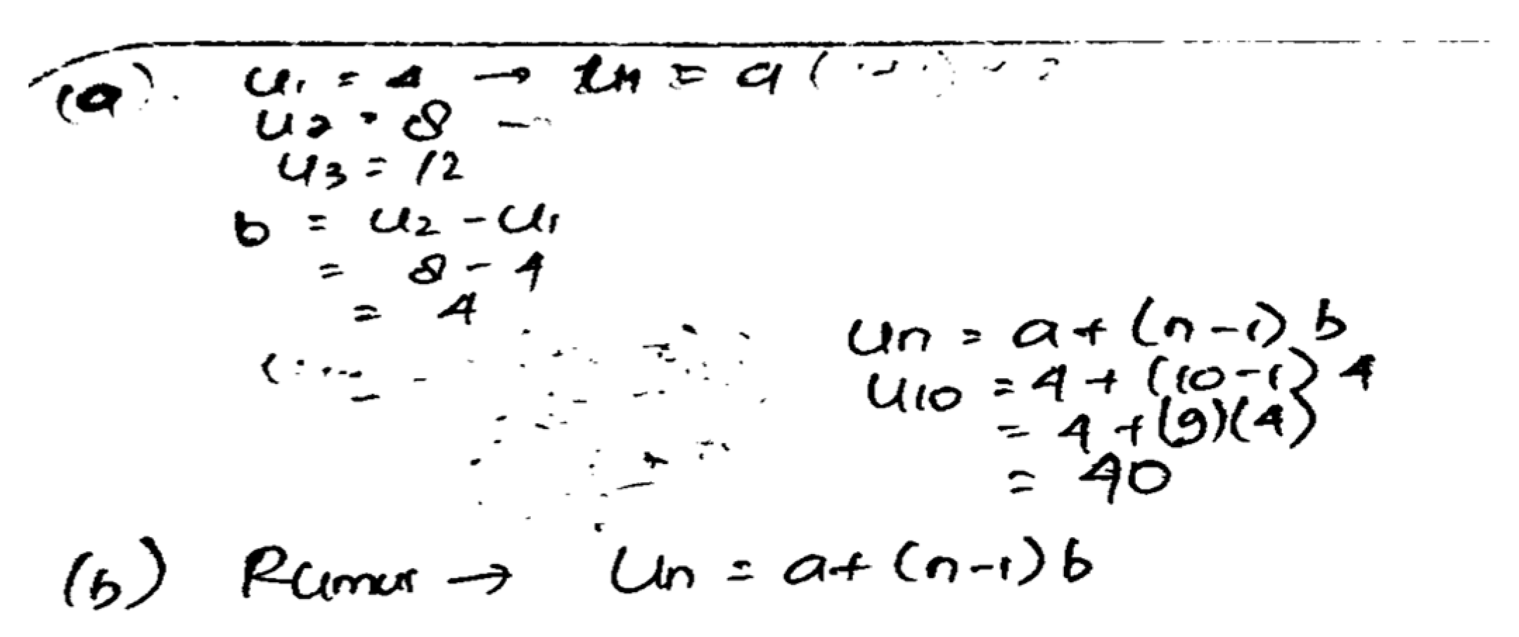
4.2.1. Drawing Logical Conclusions
4.2.2. Constructing and Testing Conjectures
4.2.3. Composing Valid Arguments
4.2.4. Monitoring and Control Metacognitive
4.2.5. Self-Confidence
4.3. Student with Semi-Creative Reasoning Behavior (SS)
4.3.1. Drawing Logical Conclusions
4.3.2. Constructing and Testing Conjectures
4.3.3. Composing Valid Arguments
4.3.4. Monitoring and Control Metacognitive
4.3.5. Self-Confidence
4.4. Student with Creative Reasoning Behavior (CS)
4.4.1. Drawing Logical Conclusions
4.4.2. Constructing and Testing Conjectures
4.4.3. Composing Valid Arguments
4.4.4. Monitoring and Control Metacognitive
4.4.5. Self-Confidence
5. Discussion
5.1. Drawing Logical Conclusions
5.2. Constructs and Tests Conjectures
5.3. Constructing Valid Arguments
5.4. Monitoring and Control Metacognitive
5.4.1. Metacognitive Monitoring
5.4.2. Metacognitive Control
5.5. Self-Confidence
6. Conclusions
7. Limitations and Future Research
Author Contributions
Funding
Institutional Review Board Statement
Informed Consent Statement
Data Availability Statement
Acknowledgments
Conflicts of Interest
Appendix A
| No | Problems | 
|---|---|
| 1. | Matchsticks are arranged in the following way.  
 | 
| 2. | Arrange the numbers 1, 2, 3, 4, 5, 6, 7, 8, 9 in the following circles so the sum of the numbers along each line of four is 23!  | 
| 3. | Consider 31 = 3, 32 = 9, 33 = 27, 34 = 81, 35 = 243, 36 = 729, 37 = 2187, 38 = 6561. Perhaps the ones digits of these numbers form a pattern that can be used to predict the ones digit of 399. Find the ones digit in 399! | 
References
- Dawkins, P.C.; Cook, J.P. Guiding reinvention of conventional tools of mathematical logic: Students’ reasoning about mathematical disjunctions. Educ. Stud. Math. 2017, 94, 241–256. [Google Scholar] [CrossRef]
- Bronkhorst, H.; Roorda, G.; Suhre, C.; Goedhart, M. Logical Reasoning in Formal and Everyday Reasoning Tasks. Int. J. Sci. Math. Educ. 2020, 18, 1673–1694. [Google Scholar] [CrossRef]
- Barnes, A. Perseverance in mathematical reasoning: The role of children’s conative focus in the productive interplay between cognition and affect. Res. Math. Educ. 2019, 21, 271–294. [Google Scholar] [CrossRef]
- Barnes, A. Enjoyment in learning mathematics: Its role as a potential barrier to children’s perseverance in mathematical reasoning. Educ. Stud. Math. 2020, 106, 45–63. [Google Scholar] [CrossRef]
- Schmidt FT, C.; Lindner, C.; Etzel, J.M.; Retelsdorf, J. Self-Control Outdoes Fluid Reasoning in Explaining Vocational and Academic Performance—But Does It? Front. Psychol. 2020, 11, 757. [Google Scholar] [CrossRef]
- Zaini, A.H.; Retnawati, H. What Difficulties that Students Working in Mathematical Reasoning Questions? J. Phys. Conf. Ser. 2019, 1397, 1–9. [Google Scholar] [CrossRef]
- Andrews-Larson, C.; Johnson, E.; Peterson, V.; Keller, R. Doing math with mathematicians to support pedagogical reasoning about inquiry-oriented instruction. J. Math. Teach. Educ. 2021, 24, 127–154. [Google Scholar] [CrossRef]
- Sumpter, L. Grade 9 Students’ Reasoning about Division of Fractions: What Are their Arguments Anchored in? In Students’ and Teachers’ Values, Attitudes, Feelings and Beliefs in Mathematics Classrooms; Palmér, H.J., Skott, J., Eds.; Springer: Cham, Switzerland, 2018; pp. 135–143. [Google Scholar] [CrossRef]
- Buckley, J.; Seery, N.; Canty, D. Investigating the use of spatial reasoning strategies in geometric problem solving. Int. J. Technol. Des. Educ. 2019, 29, 341–362. [Google Scholar] [CrossRef]
- Stein, M.K.; Grover, B.W.; Henningsen, M. Building student capacity for mathematical thinking and reasoning: An analysis of mathematical tasks used in reform classrooms. Am. Educ. Res. J. 1996, 33, 455–488. [Google Scholar] [CrossRef]
- Medová, J.; Bulková, K.; Čeretková, S. Relations between Generalization, Reasoning and Combinatorial Thinking in Solving Mathematical Open-Ended Problems within Mathematical Contest. Mathematics 2020, 8, 2257. [Google Scholar] [CrossRef]
- Lim, K.H.; Buendía, G.; Kim, O.-K.; Cordero, F.; Kasmer, L. The role of prediction in the teaching and learning of mathematics. Int. J. Math. Educ. Sci. Technol. 2010, 41, 595–608. [Google Scholar] [CrossRef]
- Store, J.C. Grounded theory of productive practices for algebraic thinking. Investig. Math. Learn. 2018, 10, 9–32. [Google Scholar] [CrossRef]
- Kilpatrick, J.; Swafford, J.; Findell, B. Adding It Up: Helping Children Learn Mathematics; National Academy Press: Washington, DC, USA, 2001. [Google Scholar]
- Glassner, A.; Schwarz, B.B. What stands and develops between creative and critical thinking? Argumentation? Think. Ski. Creat. 2007, 2, 10–18. [Google Scholar] [CrossRef]
- Tshabalala, F.L. Exploring How a Grade 7 Teacher Promotes Mathematical Reasoning in a Multilingual Mathematics Class of English Second Language Learners. In Language and Communication in Mathematics; Moschkovich, J., Wagner, D., Bose, A., Mendes, J., Schütte, M., Eds.; Springer International Publishing AG: Cham, Switzerland, 2018; pp. 249–261. [Google Scholar] [CrossRef]
- Zhang, D.; Qi, C. Reasoning and proof in eighth-grade mathematics textbooks in China. Int. J. Educ. Res. 2019, 98, 77–90. [Google Scholar] [CrossRef]
- Lai, M.Y.; Murray, S. Hong Kong Grade 6 Students’ Performance and Mathematical Reasoning in Decimals Tasks: Procedurally Based or Conceptually Based? Int. J. Sci. Math. Educ. 2014, 13, 123–149. [Google Scholar] [CrossRef]
- Hilton, A.; Hilton, G.; Dole, S.; Goos, M. Promoting middle school students’ proportional reasoning skills through an ongoing professional development programme for teachers. Educ. Stud. Math. 2016, 92, 193–219. [Google Scholar] [CrossRef]
- Fuentes, S.Q.; Crawford, L.; Angelo, H. Reasoning for all: An instructional model. Aust. Prim. Math. Classr. 2016, 22, 20–25. [Google Scholar]
- Cabello, V.M.; Moreira, P.M.; Morales, P.G. Elementary Students’ Reasoning in Drawn Explanations Based on a Scientific Theory. Educ. Sci. 2021, 11, 581. [Google Scholar] [CrossRef]
- NCTM. Principles and Standards for School Matematics; The National Council of Matematics, Inc.: Reston, VA, USA, 2000. [Google Scholar]
- Loong, E.; Vale, C.; Herbert, S.; Davidson, A. Developing a rubric for assessing mathematical reasoning: A design-based research study in primary classrooms. In Proceedings of the 41st Annual Conference of the Mathematics Education Research Group of Australasia, Auckland, New Zealand, 1–5 July 2018; pp. 503–510. [Google Scholar]
- Vale, C.; Widjaja, W.; Doig, B.; Groves, S. Anticipating students’ reasoning and planning prompts in structured problem-solving lessons. Math. Educ. Res. J. 2018, 31, 1–25. [Google Scholar] [CrossRef]
- Bozkuş, F.; Ayvaz, Ü. Middle School Mathematics Teachers’ Knowledge of Mathematical Reasoning. Eur. J. Educ. Stud. 2018, 4, 16–33. [Google Scholar] [CrossRef]
- Mastuti, A.G.; Abdillah, A.; Rijal, M. Teachers Promoting Mathematical Reasoning in Tasks. JTAM J. Teor. Dan Apl. Mat. 2022, 6, 371–385. [Google Scholar]
- Elena, L.; Moguel, S.; Landa, E.A.; Cabañas-Sánchez, G. Characterization of Inductive Reasoning in Middle School Mathematics Teachers in a Generalization Task. Int. Electron. J. Math. Educ. 2019, 14, 563–581. [Google Scholar]
- Rumsey, C.; Langrall, C.W. Promoting Mathematical Argumentation. Teach. Child. Math. 2016, 22, 412–419. [Google Scholar] [CrossRef]
- Temur, D.; Özsoy, G.; Turgut, S. Metacognitive instructional behaviours of preschool teachers in mathematical activities. ZDM 2019, 51, 655–666. [Google Scholar] [CrossRef]
- García, T.; Rodríguez, C.; González-Castro, P.; González-Pienda, J.A.; Torrance, M. Elementary students’ metacognitive processes and post-performance calibration on mathematical problem-solving tasks. Metacogn. Learn. 2015, 11, 139–170. [Google Scholar] [CrossRef]
- Yang, K.-L. Structures of cognitive and metacognitive reading strategy use for reading comprehension of geometry proof. Educ. Stud. Math. 2011, 80, 307–326. [Google Scholar] [CrossRef]
- Mevarech, Z.; Fridkin, S. The effects of IMPROVE on mathematical knowledge, mathematical reasoning and meta-cognition. Metacogn. Learn. 2006, 1, 85–97. [Google Scholar] [CrossRef]
- Kapa, E. A Metacognitive Support during the Process of Problem Solving in a Computerized Environment. Educ. Stud. Math. 2001, 47, 317–336. [Google Scholar] [CrossRef]
- Tsai, P.-Y.; Yang, T.-T.; She, H.-C.; Chen, S.-C. Leveraging College Students’ Scientific Evidence-Based Reasoning Performance with Eye-Tracking-Supported Metacognition. J. Sci. Educ. Technol. 2019, 28, 613–627. [Google Scholar] [CrossRef]
- Ackerman, R.; Thompson, V.A. Meta-Reasoning: Monitoring and Control of Thinking and Reasoning. Trends Cogn. Sci. 2017, 21, 607–617. [Google Scholar] [CrossRef]
- Ackerman, R.; Thompson, V. Meta-Reasoning: Shedding Meta-Cognitive Light on Reasoning Research. In The Routledge International Handbook of Thinking and Reasoning; Ball, L.J., Thompson, V.A., Eds.; Routledge/Taylor & Francis Group: Abingdon, UK, 2020. [Google Scholar]
- Morsanyi, K.; Cheallaigh, N.N.; Ackerman, R. Mathematics anxiety and metacognitive processes: Proposal for a new line of inquiry. Psihol. Teme 2019, 28, 147–169. [Google Scholar] [CrossRef]
- Foster, C. Confidence and competence with mathematical procedures. Educ. Stud. Math. 2015, 91, 271–288. [Google Scholar] [CrossRef]
- Lithner, J. A research framework for creative and imitative reasoning. Educ. Stud. Math. 2007, 67, 255–276. [Google Scholar] [CrossRef]
- Lithner, J. Principles for designing mathematical tasks that enhance imitative and creative reasoning. ZDM 2017, 49, 937–949. [Google Scholar] [CrossRef]
- Lithner, J. Learning Mathematics by Creative or Imitative Reasoning. In Proceedings of the 12th International Congress on Mathematical Education, Seoul, Republic of Korea, 8–15 July 2012; pp. 1–18. [Google Scholar]
- Brookhart, S.M. How to Create and Use Rubrics for Formative Assessment and Grading; ASCD: Alexandria, VA, USA, 2013; Volume 148. [Google Scholar]
- Muir, T.; Beswick, K.; Williamson, J. ‘I’m not very good at solving problems’: An exploration of students’ problem solving behaviours. J. Math. Behav. 2008, 27, 228–241. [Google Scholar] [CrossRef]
- Harisman, Y.; Noto, M.S.; Hidayat, W. Investigation of Students’ Behavior in Mathematical Problem Solving. Infin. J. 2021, 10, 235. [Google Scholar] [CrossRef]
- Bergner, R.M. What is behavior? And so what? New Ideas Psychol. 2011, 29, 147–155. [Google Scholar] [CrossRef]
- Rohati, R.; Kusumah, Y.S.; Kusnandi, K. The development of analytical rubrics: An avenue to assess students’ mathematical reasoning behavior. Cypriot J. Educ. Sci. 2022, 17, 2553–2566. [Google Scholar] [CrossRef]
- Creswell, J.W. Research Design: Qualitative, Quantitative, and Mixed Methods Approaches; SAGE Publications Ltd.: Thousand Oaks, CA, USA, 2014. [Google Scholar]
- Charmaz, K. Constructivist theory analysis of losing and regaining a valued self. In Five Ways of Doing Qualitative Analysis: Phenomenological Psychology, Grounded Theory, Discourse Analysis, Narrative Research, and Intuitive Inquiry; Wertz, F.J., Charmaz, K., McMullen, L.M., Josselson, R., Anderson, R., McSpadden, E., Eds.; Guilford Press: New York, NY, USA, 2011; pp. 165–204. [Google Scholar]
- Glaser, B.G.; Strauss, A.L. The Discovery Ofgrounded Theory: Strategies for Qualitative Research; Aldine; Sociology Press: Chicago, IL, USA, 1967. [Google Scholar]
- Octriana, I.; Putri, R.I.I.; Nurjannah, N. Penalaran Matematis Siswa Dalam Pembelajaran Pola Bilangan Menggunakan PMRI Dan LSLC. J. Pendidik. Mat. 2019, 13, 131–142. [Google Scholar] [CrossRef]
- Flegas, K.; Charalampos, L. Exploring Logical Reasoning and Mathematical Proof in Grade 6 Elementary School Students. Can. J. Sci. Math. Technol. Educ. 2013, 13, 70–89. [Google Scholar] [CrossRef]
- Rosita, N.T.; Sukestiyarno, Y.L.; Kartono; Mulyono. The Analysis of Students Mathematical Reasoning in Completing the Word Problem in SMPN 7 Sumedang. In Proceedings of the International Conference on Science and Education and Technology (ISET 2019), Semarang, Indonesia, 29 June 2019; Volume 443, pp. 115–119. [Google Scholar]
- NCTM. A Teacher’s Guide to Reasoning and Sense Making. Math. Teach. 2017, 111, 65. [Google Scholar] [CrossRef]
- Lannin, J.K.; Ellis, A.B.; Elliott, R. Developing Essential Understanding of Mathematical Reasoning for Teaching Mathematics in Prekindergarten-Grade 8; National Council of Teachers of Mathematics: Reston, VA, USA, 2011. [Google Scholar]
- Aaron, W.R.; Herbst, P.G. Teachers’ perceptions of students’ mathematical work while making conjectures: An examination of teacher discussions of an animated geometry classroom scenario. Int. J. STEM Educ. 2015, 2, 10. [Google Scholar] [CrossRef]
- Lesseig, K. Fostering Teacher Learning of Conjecturing, Generalising and Justifying through Mathematics Studio. Math. Teach. Educ. Dev. 2016, 18, 100–119. [Google Scholar]
- Riana, S.T.A.; Susanti, E.; Simarmata, R.H.; Nurhasanah, F. Conjecture in Completing Creative Problem-Solving Question as a Part of Development. In Proceedings of the 4th Sriwijaya University Learning and Education International Conference (SULE-IC 2020), Palembang, Indonesia, 24–26 October 2020; Volume 513, pp. 673–680. [Google Scholar]
- Coles, A.; Ahn, A. Developing algebraic activity through conjecturing about relationships. ZDM 2022, 54, 1229–1241. [Google Scholar] [CrossRef]
- Sidenvall, J.; Lithner, J.; Jäder, J. Students’ reasoning in mathematics textbook task-solving. Int. J. Math. Educ. Sci. Technol. 2014, 46, 533–552. [Google Scholar] [CrossRef]
- Liu, Y.; Manouchehri, A. Middle School Children’s Mathematical Reasoning and Proving Schemes. Investig. Math. Learn. 2013, 6, 18–40. [Google Scholar] [CrossRef]
- Stacey, K.; Vincent, J. Modes of reasoning in explanations in Australian eighth-grade mathematics textbooks. Educ. Stud. Math. 2009, 72, 271–288. [Google Scholar] [CrossRef]
- Glassner, A. Evaluating arguments in instruction: Theoretical and practical directions. Think. Ski. Creativity 2017, 24, 95–103. [Google Scholar] [CrossRef]
- Clark, C. The Impact of Confidence-Based Marking on Unit Exam Achievement in a High School Physical Science Course. 2020. Available online: https://scholarworks.uni.edu/grp/1449 (accessed on 15 December 2022).
- Daher, W.; Hashash, I. Mathematics Teachers’ Encouragement of Their Students’ Metacognitive Processes. Eur. J. Investig. Health Psychol. Educ. 2022, 12, 1272–1284. [Google Scholar] [CrossRef] [PubMed]
- Nelson, T.O. Psychology of Metamemory. In International Encyclopedia of the Social & Behavioral Sciences, 2nd ed.; Wright, J.D., Ed.; Elsevier Ltd.: Grand Rapids, MI, USA, 2001; Volume 1, pp. 9733–9738. [Google Scholar]
- Hargrove, R.A. Assessing the long-term impact of a metacognitive approach to creative skill development. Int. J. Technol. Des. Educ. 2012, 23, 489–517. [Google Scholar] [CrossRef]
- Gannaio, J.E. A Comparison of Verbal and Written Metacognitive Strategies Used by High School Students in a Language Arts Classroom. Doctoral Dissertation, Southeastern University, Lakeland, FL, USA, 2017. [Google Scholar]
- Pugalee, D.K. Writing, Mathematics, and Metacognition: Looking for Connections Through Students’ Work in Mathematical Problem Solving. Sch. Sci. Math. 2010, 101, 236–245. [Google Scholar] [CrossRef]
- Jia, X.; Li, W.; Cao, L. The Role of Metacognitive Components in Creative Thinking. Front. Psychol. 2019, 10, 2404. [Google Scholar] [CrossRef]
- Boaler, J. Mathematical Mindsets: Unleashing Students’ Potential through Creative Math, Inspiring Messages and Innovative Teaching; Jossey-Bass, A Wiley Brand: San Francisco, CA, USA, 2016. [Google Scholar]
- Boaler, J. The Elephant in the Classroom: Helping Children Learn and Love Maths; Souvenir Press: London, UK, 2009. [Google Scholar]
- Schoenfeld, A.H. Learning to Think Mathematically: Problem Solving, Metacognition, and Sense Making in Mathematics (Reprint). J. Educ. 2016, 196, 1–38. [Google Scholar] [CrossRef]
- Nufus, H.; Duskri, M.; Bahrun, B. Mathematical Creative Thinking and Student Self-Confidence in the Challenge-Based Learning Approach. J. Res. Adv. Math. Educ. 2018, 3, 57. [Google Scholar] [CrossRef]
- Inkeeree, H.K.; Fauzee, M.S.O.; Othman, M.K.H. The Effect of Students Confidence Level toward Mathematics Performance among Southern Thailand Primary School Children. Int. J. Acad. Res. Progress. Educ. Dev. 2017, 6, 20–34. [Google Scholar] [CrossRef]
- Aulia, R.; Rohati, R.; Marlina, M. View of the students’ self-confidence and their mathematical communication skills in solving problems. Edumatika J. Ris. Pendidik. Mat. 2021, 4, 90–102. [Google Scholar] [CrossRef]
- Hendriana, H.; Johanto, T.; Sumarmo, U. The role of problem-based learning to improve students’ mathematical problem-solving ability and self-confidence. J. Math. Educ. 2018, 9, 291–300. [Google Scholar] [CrossRef]















| Aspect | Indicator | Students’ Mathematical Reasoning Behavior | |||
|---|---|---|---|---|---|
| Imitative | Algorithmic | Semi-Creative | Creative | ||
| Cognitive | Drawing logical conclusions | Only capable of utilizing the information provided but not yet capable of selecting a set of rules to reach a logical conclusion. | Can deduce logical relationships between number sequences and object configuration sequences based on the pattern and object configuration sequences. | Able to utilize the information provided, choose several sets of rules, and arrive at a logical conclusion with the help of directions from the teacher. | Capable of utilizing the information provided and establishing their own rules to arrive at logical conclusions. | 
| Constructing and testing conjectures | Capable of utilizing known data but unable to choose a set of rules to construct and test conjectures. | Generate and test hypotheses by arranging numbers into a specified amount using the rules provided for number patterns problems. | Able to utilize the information provided, choose several sets of rules, and reach the preparation and testing of conjectures with the direction of the teacher. | Capable of utilizing available data and establishing their own rules to construct and test conjectures. | |
| Composing valid arguments | Only capable of utilizing the information provided, but not yet capable of selecting a set of rules to prepare valid arguments. | Can develop valid arguments on the material of number patterns and object configuration by explaining the strategy selected and implemented as well as the reasons it worked or not. | Able to utilize the information provided and be able to choose several suitable sets of rules and arrive at the preparation of valid arguments with directions from the teacher. | Capable of utilizing the information provided to develop their own set of rules to construct valid arguments. | |
| Meta-reasoning | Metacognitive monitoring | Have a single rule or strategy to solve non-routine problems and adhere to the strategy even when all indicators show it is incorrect. | Have a single rule or strategy to solve non-routine problems but willing to try other rules or strategies to obtain the correct result. | Have more than one rule (strategy) in solving non-routine problems and have the desire to try other rules (strategies) and find the right solution, but must be guided by the teacher. | Capable of developing novel rules or strategies to resolve non-routine problems and obtain the desired results. | 
| Metacognitive Control (In writing) | Metacognitive control was not observed in writing during the compilation or assembly of the intermediate targets or rules used from the information provided in the questions. | Metacognitive control was observed in writing during the compilation or assembly of the intermediate targets, or the rules used but not up to the final target. | Metacognitive control has been seen in writing when compiling or arranging intermediate targets (rules used), as well as arriving at the final target with directions from the teacher. | Metacognitive control was demonstrated in writing during the process of compiling or assembling intermediate targets or the rules used and obtaining the final target. | |
| Metacognitive Control (In oral) | Capable of communicating thoughts and the results of the reasoning verbally only on a portion of the information provided. | Capable of communicating thoughts and outcome of reasoning verbally using several sets of rules selected but was unable to reach the correct conclusion on the final target. | Able to convey thoughts (results of their reasoning) verbally regarding several sets of rules they choose but are not able to make the correct conclusions on the final target with direction from the teacher. | Capable of communicating thoughts and the outcome of reasoning orally, coherently completely, and systematically, and provides correct conclusions regarding the final objective. | |
| Affective | Self- Confidence | Have self-confidence as indicated by the provision of answers quickly even when they are not sure the rules selected are correct or incorrect. | Frequently demonstrates self-confidence when solving mathematical reasoning problems but cannot reach the correct conclusions. | Often shows confidence in solving mathematical reasoning problems and can draw the correct conclusions with directions from the teacher. | Demonstrates self-confidence and makes sound judgments. | 
| Disclaimer/Publisher’s Note: The statements, opinions and data contained in all publications are solely those of the individual author(s) and contributor(s) and not of MDPI and/or the editor(s). MDPI and/or the editor(s) disclaim responsibility for any injury to people or property resulting from any ideas, methods, instructions or products referred to in the content. | 
© 2023 by the authors. Licensee MDPI, Basel, Switzerland. This article is an open access article distributed under the terms and conditions of the Creative Commons Attribution (CC BY) license (https://creativecommons.org/licenses/by/4.0/).
Share and Cite
Rohati, R.; Kusumah, Y.S.; Kusnandi, K. Exploring Students’ Mathematical Reasoning Behavior in Junior High Schools: A Grounded Theory. Educ. Sci. 2023, 13, 252. https://doi.org/10.3390/educsci13030252
Rohati R, Kusumah YS, Kusnandi K. Exploring Students’ Mathematical Reasoning Behavior in Junior High Schools: A Grounded Theory. Education Sciences. 2023; 13(3):252. https://doi.org/10.3390/educsci13030252
Chicago/Turabian StyleRohati, Rohati, Yaya S. Kusumah, and Kusnandi Kusnandi. 2023. "Exploring Students’ Mathematical Reasoning Behavior in Junior High Schools: A Grounded Theory" Education Sciences 13, no. 3: 252. https://doi.org/10.3390/educsci13030252
APA StyleRohati, R., Kusumah, Y. S., & Kusnandi, K. (2023). Exploring Students’ Mathematical Reasoning Behavior in Junior High Schools: A Grounded Theory. Education Sciences, 13(3), 252. https://doi.org/10.3390/educsci13030252
 
        






 
       