Providing Access to Reading Comprehension for Greek Secondary Students with Mild Intellectual Disabilities
Abstract
1. Introduction
1.1. Easy to Read Language Supports Students with ID
1.2. Previous Research
1.3. Purpose of Current Study and Research Questions
2. Materials and Methods
2.1. Experimental Design
2.2. Participants and Setting
2.3. Intervention and Assessment Materials
2.4. Variables and Data Collection
2.5. Procedures
2.5.1. Baseline
2.5.2. EtR Intervention
2.5.3. Maintenance
2.6. Interobserver Agreement
2.7. Social Validity
3. Results
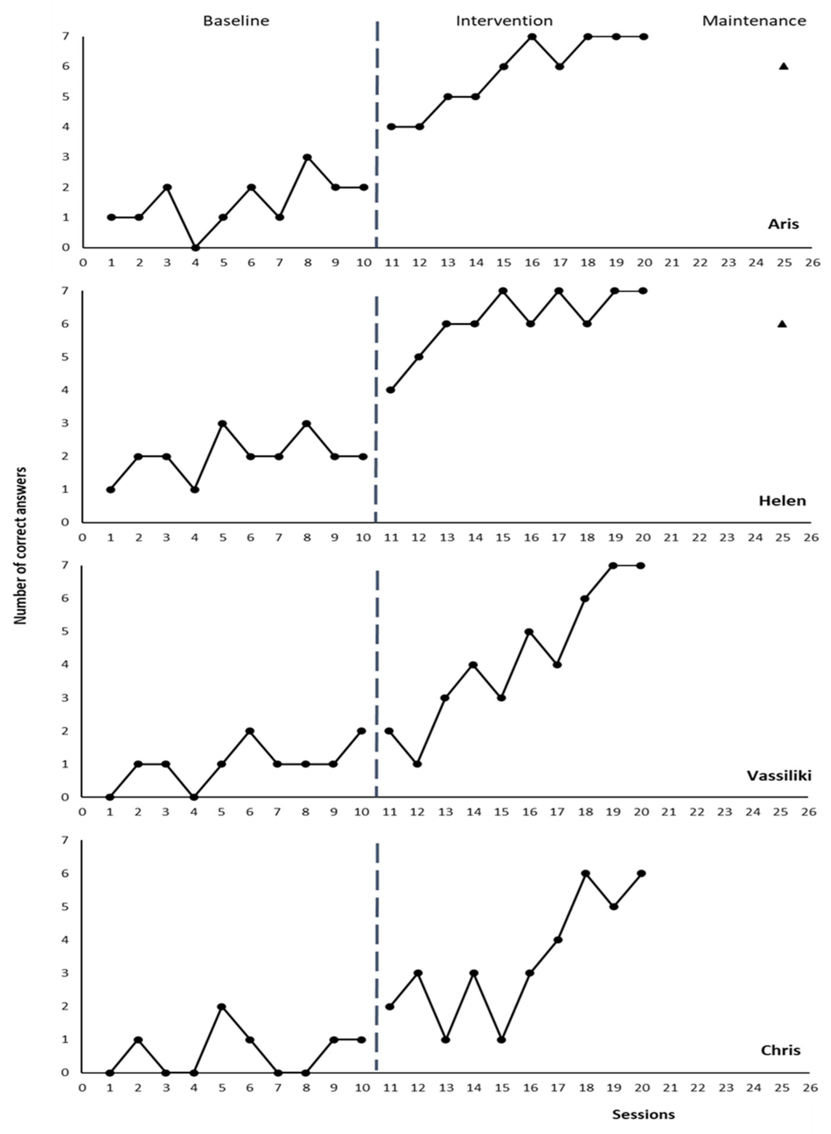
3.1. Visual Analysis of Reading Comprehension Assessment Results
3.2. Social Validity
4. Discussion and Conclusions
Author Contributions
Funding
Informed Consent Statement
Data Availability Statement
Acknowledgments
Conflicts of Interest
References
- No Child Left Behind Act; Pub. L. No 107–110, 115 Stat. 1425, U.S.C.; Washington, DC, USA, §§ 6301; 2001.
- Individuals With Disabilities Education Improvement Act; 20 U.S.C. §1400, H.R. 1350; U.S. Department of Education: Washington, DC, USA, 2004.
- Afacan, K.; Wilkerson, K.L.; Ruppar, A.L. Multicomponent Reading Interventions for Students with Intellectual Disability. Remedial Spec. Educ. 2017, 39, 229–242. [Google Scholar] [CrossRef]
- Browder, D.M.; Wakeman, S.Y.; Spooner, F.; Ahlgrim-Delzell, L.; Algozzine, B. Research on Reading Instruction for Individuals With Significant Cognitive Disabilities. Except. Child. 2006, 72, 392–408. [Google Scholar] [CrossRef]
- Saletta, M.; Kaldenberg, E.; Rivera, K.; Wood, A. Do Illustrations Promote Reading Comprehension in Adults with Intellectual or Developmental Disabilities? Educ. Train. Autism Dev. Disabil. 2019, 54, 225–236. [Google Scholar]
- Lundberg, I.; Reichenberg, M. Developing Reading Comprehension Among Students with Mild Intellectual Disabilities: An Intervention Study. Scand. J. Educ. Res. 2013, 57, 89–100. [Google Scholar] [CrossRef]
- Fleury, V.P.; Hedges, S.; Hume, K.; Browder, D.M.; Thompson, J.L.; Fallin, K.; El Zein, F.; Reutebuch, C.K.; Vaughn, S. Addressing the academic needs of adolescents with autism spectrum disorders in secondary education. Remedial Spec. Educ. 2014, 35, 68–79. [Google Scholar] [CrossRef]
- Hudson, M.E.; Browder, D.; Wakeman, S. Helping Students with Moderate and Severe Intellectual Disability Access Grade-Level Text. Teach. Except. Child. 2013, 45, 14–23. [Google Scholar] [CrossRef]
- Browder, D.; Ahlgrim-Delzell, L.; Spooner, F.; Mims, P.J.; Baker, J.N. Using Time Delay to Teach Literacy to Students with Severe Developmental Disabilities. Counc. Rev. 2009, 75, 343–364. [Google Scholar] [CrossRef]
- Browder, D.M.; Trela, K.; Jimenez, B. Training Teachers to Follow a Task Analysis to Engage Middle School Students With Moderate and Severe Developmental Disabilities in Grade-Appropriate Literature. Focus Autism Other Dev. Disabil. 2007, 22, 206–219. [Google Scholar] [CrossRef]
- Vollenwyder, B.; Schneider, A.; Krueger, E.; Brühlmann, F.; Opwis, K.; Mekler, E.D. How to Use Plain and Easy-to-Read Language for a Positive User Experience on Websites. In Computers Helping People with Special Needs; Miesenberger, K., Kouroupetroglou, G., Eds.; Lecture Notes in Computer Science; Springer: Cham, Switzerland, 2018; Volume 10896, pp. 514–522. [Google Scholar]
- Tronbacke, B. Guidelines for Easy-to-Read Materials; International Federation of Library Association and Institutions: The Hague, The Netherlands, 1997. [Google Scholar]
- Freyhoff, G.; Hess, G.; Kerr, L.; Menzel, E.; Tronbacke, B.; Van der Veken, K. Make It Simple, European Guidelines for the Production of Easy-to-Read Information for People with Learning Disability; ILSMH European Association: Brussels, Belgium, 1998. [Google Scholar]
- Nomura, M.; Nielsen, G.S.; Tronbacke, B.I.; International Federation of Library Associations and Institutions. Guidelines for Easy-to-Read Materials/rev; International Federation of Library Association and Institutions: The Hague, The Netherlands, 2010. [Google Scholar]
- Strydom, A.; Forster, M.; Wilkie, B.M.; Edwards, C.; Hall, I.S. Patient information leaflets for people with learning disabilities who take psychiatric medication. Br. J. Learn. Disabil. 2001, 29, 72–76. [Google Scholar] [CrossRef]
- Hurtado, B.; Jones, L.; Burniston, F. Is easy read information really easier to read? J. Intel. Disabil. Res. 2014, 58, 822–829. [Google Scholar] [CrossRef]
- Fajardo, I.; Ávila, V.; Ferrer, A.; Tavares, G.; Gómez, M.; Hernández, A. Easy-to-read texts for students with intellectual disability: Linguistic factors affecting comprehension. J. Appl. Res. Intellect. Disabil. 2014, 27, 212–225. [Google Scholar] [CrossRef] [PubMed]
- Yavena, V. Easy-read Documents as a Gold Standard for Evaluation of Text Simplification Output. In Proceedings of the Student Research Workshop Associated with RANLP 2015, Hissar, Bulgaria, 7–9 September 2015; pp. 30–36. [Google Scholar]
- Sutherland, R.J.; Isherwood, T. The Evidence for Easy-Read for People With Intellectual Disabilities: A Systematic Literature Review. J. Policy Pract. Intellect. Disabil. 2016, 13, 297–310. [Google Scholar] [CrossRef]
- Crossley, S.A.; Dufty, D.F.; McCarthy, P.M.; McNamara, D.S. Toward a new readability: A mixed model approach. Proc. Annu. Meet. Cogn. Sci. Soc. 2007, 29, 197–202. [Google Scholar]
- Callus, A.-N.; Cauchi, D. Ensuring meaningful access to easy-to-read information: A case study. Br. J. Learn. Disabil. 2020, 48, 124–131. [Google Scholar] [CrossRef]
- Horner, R.H.; Carr, E.G.; Halle, J.; McGee, G.; Odom, S.; Wolery, M. The Use of Single-Subject Research to Identify Evidence-Based Practice in Special Education. Except. Child. 2005, 71, 165–179. [Google Scholar] [CrossRef]
- Gast, D.; Ledford, J. Single Case Design Methodology: Applications in Special Education and Behavioral Sciences; Gast, D., Ledford, J., Eds.; Routledge: New York, NY, USA, 2014. [Google Scholar]
- Scruggs, T.E.; Mastropieri, M.A.; Casto, G. The quantitative synthesis of single-subject research: Methodology and validation. Remedial Spec. Educ. 1987, 8, 24–33. [Google Scholar] [CrossRef]
- Scruggs, T.E.; Mastropieri, M.A. How to Summarize Single-Participant Research: Ideas and Applications. Exceptionality 2001, 9, 227–244. [Google Scholar] [CrossRef]
- Bilgi, A.D.; Özmen, E.R. The effectiveness of modified multi-component cognitive strategy instruction in expository text comprehension of students with mild intellectual disabilities. Educ. Sci. Theory Pract. 2018, 18, 61–84. [Google Scholar] [CrossRef]
- Channell, M.M.; Loveall, S.J.; Conners, F.A. Strengths and weaknesses in reading skills of youth with intellectual disabilities. Res. Dev. Disabil. 2013, 34, 776–787. [Google Scholar] [CrossRef]
- Chinn, D. Talking to producers of Easy Read health information for people with intellectual disability: Production practices, textual features, and imagined audiences. J. Intellect. Dev. Disabil. 2019, 44, 410–420. [Google Scholar] [CrossRef]
- Sermier Dessemontet, R.; de Chambrier, A.F. The role of phonological awareness and letter-sound knowledge in the reading development of children with intellectual disabilities. Res. Dev. Disabil. 2015, 41, 1–12. [Google Scholar] [CrossRef] [PubMed]
- Karreman, J.; Van Der Geest, T.; Buursink, E. Accessible Website Content Guidelines for Users with Intellectual Disabilities. J. Appl. Res. Intellect. Disabil. 2007, 20, 510–518. [Google Scholar] [CrossRef]
- Leóna, J.A.; León-López, A. Reading performance in adults with intellectual and developmental disability (IDD) when they read different kinds of texts. Psych Russ. State Art 2019, 12, 148–158. [Google Scholar] [CrossRef]
- Chinn, D. An empirical examination of the use of Easy Read health information in health consultations involving patients with intellectual disabilities. J. Appl. Res. Intellect. Disabil. 2020, 33, 232–247. [Google Scholar] [CrossRef]
- Poncelas, A.; Murphy, G. Accessible information for people with intellectual disabilities: Do symbols really help? J. Appl. Res. Intellect. Disabil. 2007, 20, 466–474. [Google Scholar] [CrossRef]
- Pothier, L.; Day, R.; Harris, C.; Pothier, D.D. Readability statistics of patient information leaflets in a Speech and Language Therapy Department. Int. J. Lang. Commun. Disord. 2008, 43, 712–722. [Google Scholar] [CrossRef]
- Salmi, P. Wayfinding design: Hidden barriers to universal access. Implications 2005, 5, 1–6. [Google Scholar]
- Trautendorfer, G.; Peböck, B.; Pühretmair, F.; Karlinger, M. Easy-to-Read enables Participatory Social Research. In DSAI 2016: Proceedings of the 7th International Conference on Software Development and Technologies for Enhancing Accessibility and Fighting Info-Exclusion, New York, NY, USA, 1–3 December 2016; Association for Computing Machinery: New York, NY, USA, 2016; pp. 194–199. [Google Scholar]
- Chinn, D.; Homeyard, C. Easy read and accessible information for people with intellectual disabilities: Is it worth it? A meta-narrative literature review. Health Expect. 2017, 20, 1189–1200. [Google Scholar] [CrossRef] [PubMed]
- Vannest, K.J.; Ninci, J. Evaluating intervention effects in single-case research designs. J. Couns. Dev. 2015, 93, 403–411. [Google Scholar] [CrossRef]
- Ledford, J.R.; Gast, D.L. Single Case Research Methodology, 3rd ed.; Routledge: New York, NY, USA, 2018. [Google Scholar]


| Student | Age | Gender | Ethnicity | Diagnosis | Level of Reading Skills |
|---|---|---|---|---|---|
| Aris | 15 | Male | Greek | MID | Very good |
| Helen | 15 | Female | Greek | MID | Adequate |
| Vassiliki | 16 | Female | Greek | MID | Very Low |
| Chris | 16 | Male | Greek | MID | Extremely low |
Publisher’s Note: MDPI stays neutral with regard to jurisdictional claims in published maps and institutional affiliations. |
© 2022 by the authors. Licensee MDPI, Basel, Switzerland. This article is an open access article distributed under the terms and conditions of the Creative Commons Attribution (CC BY) license (https://creativecommons.org/licenses/by/4.0/).
Share and Cite
Ladias, G.; Iatraki, G.; Soulis, S.-G. Providing Access to Reading Comprehension for Greek Secondary Students with Mild Intellectual Disabilities. Educ. Sci. 2022, 12, 921. https://doi.org/10.3390/educsci12120921
Ladias G, Iatraki G, Soulis S-G. Providing Access to Reading Comprehension for Greek Secondary Students with Mild Intellectual Disabilities. Education Sciences. 2022; 12(12):921. https://doi.org/10.3390/educsci12120921
Chicago/Turabian StyleLadias, Georgios, Georgia Iatraki, and Spyridon-Georgios Soulis. 2022. "Providing Access to Reading Comprehension for Greek Secondary Students with Mild Intellectual Disabilities" Education Sciences 12, no. 12: 921. https://doi.org/10.3390/educsci12120921
APA StyleLadias, G., Iatraki, G., & Soulis, S.-G. (2022). Providing Access to Reading Comprehension for Greek Secondary Students with Mild Intellectual Disabilities. Education Sciences, 12(12), 921. https://doi.org/10.3390/educsci12120921

