Increasing Requests for Information by Preschoolers with and without Language-Based Disabilities
Abstract
1. Introduction
2. Materials and Methods
2.1. Experiment 1
2.1.1. Participants
2.1.2. Setting and Materials
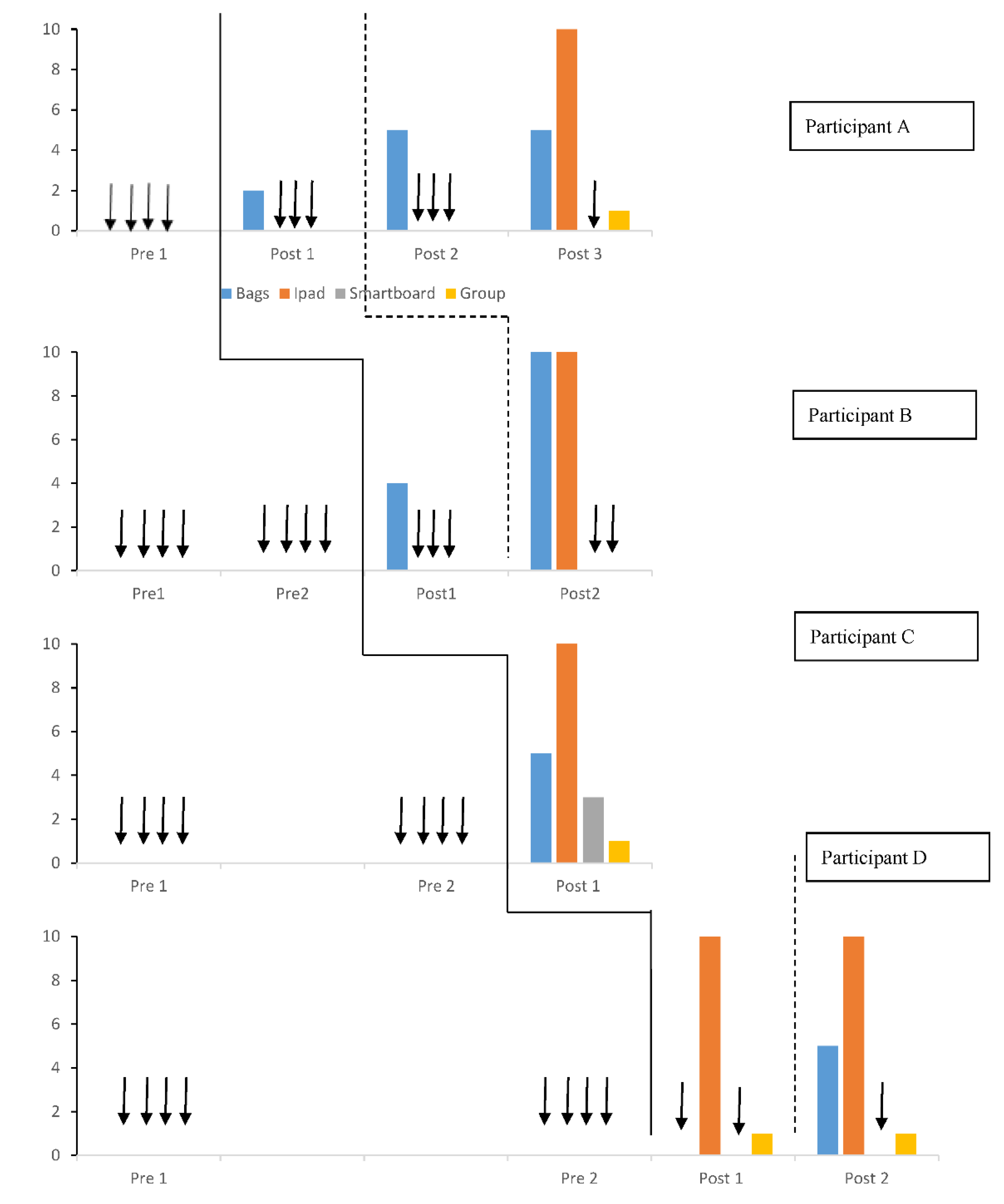
- (a)
- Pictures on iPad. This condition took place in an empty room in the school. There was no table or chair placed in the room. The experimenter and the participant sat on the floor. The experimenter presented the pictures to the participants on an iPad using a pre-installed Keynote app. The probe set included 30 pictures in total, 15 for the experimenter and 15 for the participant. Out of the 15 pictures used, 5 were known to the participants (e.g., dinosaur, book, bed), and 10 were unknown. The participant had ten total opportunities to request unknown information (please see Table 2).
- (b)
- Pictures on Smartboard. This condition took place in the classroom. The Smartboard (197 × 128 cm) was installed against the wall and connected to the teacher’s desktop. The teacher’s desk was placed next to the Smartboard. Several students’ tables and chairs were set facing the Smartboard screen. There were three total opportunities for requests for information (please see Table 3).
- (c)
- Individual Show and Tell. This condition took place in the same room that tested for Pictures on iPad. The experimenter prepared five recyclable grocery bags with different colors. Each bag included four known objects (e.g., toy star, toy pig, ball, toy plane) and one unknown object and was presented twice. There were 10 total opportunities for requests for information (please see Table 4).
- (d)
- Group Show and Tell. The participant and three other peers sat around a big horseshoe-shaped table used for group instruction and lunch/snack time. The experimenter sat in the middle of the table and presented the bags to the students. Each student received a bag with four known and one unknown objects. All stimuli used were different from the ones used in the individual setting (please see Table 5).
2.1.3. Dependent Variable and Response Definition
2.1.4. Procedure
2.1.5. Interobserver Agreement and Procedure Integrity
2.2. Experiment 2
2.2.1. Participants
2.2.2. Setting and Materials
2.2.3. Dependent Variable
2.2.4. Design
2.2.5. Procedure
2.2.6. Interobserver Agreement
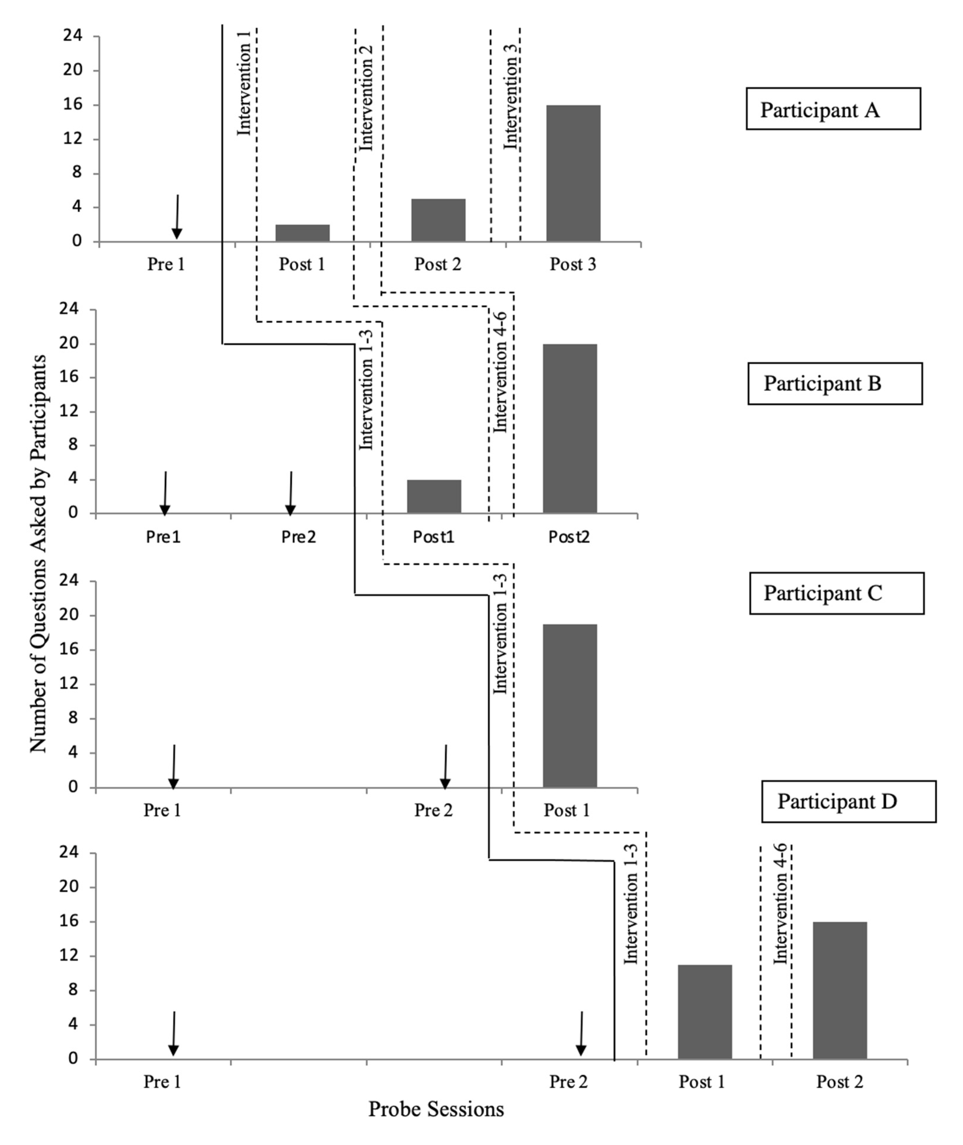
3. Results
3.1. Results from Experiment 1
3.2. Results from Experiment 2
4. Discussion
Author Contributions
Funding
Institutional Review Board Statement
Informed Consent Statement
Data Availability Statement
Conflicts of Interest
References
- Skinner, B.F. An operant analysis of problem solving. Behav. Brain Sci. 1984, 7, 583–613. [Google Scholar] [CrossRef]
- Bondy, A.S.; Erickson, M.T. Comparison of modeling and reinforcement procedures in increasing question-asking of mildly retarded children. J. Appl. Behav. Anal. 1976, 9, 108. [Google Scholar] [CrossRef] [PubMed]
- Brown, R. The development of wh questions in child speech. J. Verbal Learn. Behav. 1968, 7, 279–290. [Google Scholar] [CrossRef]
- Landa, R.K.; Hansen, B.; Shillingsburg, M.A. Teaching mands for information using ‘when’ to children with autism. J. Appl. Behav. Anal. 2017, 50, 538–551. [Google Scholar] [CrossRef] [PubMed]
- Sundburg, M.L.; Loeb, M.; Hale, L.; Eigenheer, P. Contriving establishing operations to teach mands for information. Anal. Verbal Behav. 2002, 18, 15–29. [Google Scholar] [CrossRef] [PubMed]
- Shillingsburg, M.A.; Gayman, C.M.; Walton, W. Using textual prompts to teach mands for information using “Who”? Anal. Verbal Behav. 2016, 3, 1–14. [Google Scholar] [CrossRef][Green Version]
- Shillingsburg, M.A.; Valentino, A.L. Teaching a child with autism to mand for information using “How”. Anal. Verbal Behav. 2011, 27, 179–184. [Google Scholar] [CrossRef] [PubMed]
- Shillingsburg, M.A.; Valentino, A.L.; Bowen, C.N.; Bradley, D.; Zavatkay, D. Teaching children with autism to request information. Res. Autism Spectr. Disord. 2011, 5, 670–679. [Google Scholar] [CrossRef]
- Marion, C.; Martin, G.L.; Yu, C.T.; Buhler, C.; Kerr, D.; Claeys, A. Teaching children with autism spectrum disorder to mand for information using “which”? J. Appl. Behav. Anal. 2012, 45, 865–870. [Google Scholar] [CrossRef]
- Michael, J. Establishing operations and the mand. Anal. Verbal Behav. 1988, 6, 3–9. [Google Scholar] [CrossRef]
- Williams, G.; Donley, C.R.; Keller, J.W. Teaching children with autism to ask questions about hidden objects. J. Appl. Behav. Anal. 2000, 33, 627–630. [Google Scholar] [CrossRef] [PubMed]
- Michael, J. Establishing operations. Behav. Anal. 1993, 16, 191–206. [Google Scholar] [CrossRef] [PubMed]
- Laraway, S.; Snycerski, S.; Michael, J.; Poling, A. Motivating operations and terms to describe them: Some further refinements. J. Appl. Behav. Anal. 2003, 36, 407–414. [Google Scholar] [CrossRef] [PubMed]
- Loewenstein, G. The psychology of curiosity: A review and reinterpretation. Psychol. Bull. 1994, 116, 75–98. [Google Scholar] [CrossRef]
- Liquin, E.G.; Lombrozo, T. Explanation seeking curiosity in children. Curr. Opin. Behav. Sci. 2020, 35, 14–20. [Google Scholar] [CrossRef]
- Shillingsburg, M.A.; Frampton, S.; Wymer, S.A.; Bartlett, B. Preliminary procedure for teaching children with autism to mand for social information. Behav. Anal. Pract. 2018, 11, 34–38. [Google Scholar] [CrossRef]
- Shillingsburg, M.A.; Marya, V.; Bartlett, B.L.; Thompson, T.M. Teaching mands for information using speech generating devices: A replication and extension. J. Appl. Behav. Anal. 2019, 52, 756–771. [Google Scholar] [CrossRef]
- Greer, R.D.; Du, L. Identification and establishment of reinforcers that make the development of complex social language possible. Int. J. Behav. Anal. Autism Disord. 2015, 1, 13–34. [Google Scholar]
- Hayes, S.; Barnes-Homes, D.; Roche, B. Relational Frame Theory: A Post Skinnerian of Human Language and Cognition; Kluwer/Academic Plenum: New York, NY, USA, 2001. [Google Scholar]
- Greer, R.D.; Stolfi, L.; Chavez-Brown, M.; Rivera-Valdez, C. The emergence of the listener to speaker component of naming in children as a function of multiple exemplar instruction. Anal. Verbal Behav. 2005, 21, 123–134. [Google Scholar] [CrossRef]
- Horne, P.J.; Lowe, C.F. On the origins of naming and other symbolic behavior. J. Exp. Anal. Behav. 1996, 65, 185–241. [Google Scholar] [CrossRef]
- Jirout, J.; Klahr, D. Children’s scientific curiosity: In search of an operational definition of an elusive concept. Dev. Rev. 2012, 33, 125–160. [Google Scholar] [CrossRef]
- Jirout, J. A Study of Preschool Children’s Exploratory Curiosity and Question Asking Behavior. Unpublished Doctoral Dissertation, Carnegie Mellon University, Pittsburgh, PA, USA, 2011. [Google Scholar]
- Liquin, E.G.; Lombrozo, T. A functional approach to explanation-seeking curiosity. Cogn. Psychol. 2020, 119, 101276. [Google Scholar] [CrossRef] [PubMed]
- Mills, C.M.; Sands, K.R.; Rowles, S.P.; Campbell, I.L. “I want to know more!”: Children are sensitive to explanation quality when exploring new information. Cogn. Sci. 2019, 43, e12706. [Google Scholar] [CrossRef] [PubMed]
- Pierce, K.; Schreibman, L. Increasing complex social behaviors in children with Autism.: Effects of peer-implemented pivotal response training. J. Appl. Behav. Anal. 1995, 28, 285–295. [Google Scholar] [CrossRef] [PubMed]
- Strain, P.S.; Odom, S.L. Peer social initiations: Effective intervention for social skills development of exceptional children. Except. Child. 1986, 52, 543–551. [Google Scholar] [CrossRef] [PubMed]
- Utley, C.A.; Mortweet, S.L.; Greenwood, C.R. Peer-mediated instruction and interventions. Focus Except. Child. 1997, 29, 1–23. [Google Scholar]
- Greer, R.D.; Dorow, L.; Williams, G.; McCorkle, N.; Asnes, R. Peer-mediated procedures to induce swallowing and food acceptance in young children. J. Appl. Behav. Anal. 1991, 24, 783–790. [Google Scholar] [CrossRef]
- Nirgudkar, A.; Speckman, J. The effects of a peer-competitive contingency on food acceptance and consumption in young children with autism. In Proceedings of the 29th Annual Convention for the Association for Behavior Analysis, San Fransisco, CA, USA, 24 May 2003. [Google Scholar]
- Helou, Y.J.; Lai, J.; Sterkin, V.L. The effects of writer immersion and the responses of a peer reader on teaching the function of writing with middle school studies. J. Early Intensive Behav. Interv. 2007, 4, 483–499. [Google Scholar] [CrossRef][Green Version]
- Robbins, J. Problem solving, reasoning, and analytical thinking in a classroom environment. Behav. Anal. Today 2011, 12, 40–47. [Google Scholar] [CrossRef]
- Mothers Asked Nearly 300 Questions a Day, Study Finds. In The Telegraph. Available online: http://www.co.uk (accessed on 28 March 2013).
- Post, T.; Walma vander Molen, J.H. Development and validation of a questionnaire to measure primary school children’s images of and attitudes towards curiosity (the CIAC questionnaires). Motiv. Emot. 2018, 43, 159–178. [Google Scholar] [CrossRef]
- Cooper, J.O.; Heron, T.E.; Heward, W.L. Applied Behavior Analysis; Pearson Education, Inc.: Hoboken, NJ, USA, 2007; p. 622. [Google Scholar]
- Greer, R.D. International Curriculum and Inventory of Repertoires for Children from Pre-School through Kindergarten, 6th ed.; Fred, S., Ed.; Keller School and CABAS®: Yonkers, NY, USA, 2014. [Google Scholar]
- Waddington, E.M.; Reed, P. The impact of using the “Preschool Inventory of Repertoires for Kindergarten” (PIRK®) on school outcomes for children with Autistic Spectrum Disorders. Res. Autism Spectr. Disord. 2009, 3, 809–827. [Google Scholar] [CrossRef]
- Greer, R.D.; Ross, D.E. Verbal Behavior Analysis: Inducing and Expanding Complex Communication in Children Severe Language Delays; Allyn & Bacon: Boston, MA, USA, 2008. [Google Scholar]
- Zimmerman, I.; Steiner, V.; Pond, R. Preschool Language Scale, (PLS-4), 4th ed.; Pearson: San Antonio, TX, USA, 2002. [Google Scholar]
- Zimmerman, I.L.; Steiner, V.G.; Pond, R.E. Preschool Language Scale, (PLS-5), 5th ed.; Pearson: San Antonio, TX, USA, 2011. [Google Scholar]
- Wechsler, D. Wechsler Preschool & Primary Scales of Intelligence–III (WPPSI-III); Pearson: San Antonio, TX, USA, 2002. [Google Scholar]
- Boehm, A.E. Boehm Test of Basic Concepts-3: Preschool; The Psychological Corporation: San Antonio, TX, USA, 2001. [Google Scholar]
- Greer, R.D.; Speckman, J. The integration of speaker and listener responses: A theory of verbal development. Psychol. Rec. 2009, 59, 449–488. [Google Scholar] [CrossRef]
- Greer, R.D.; Singer-Dudek, J.; Gautreaux, G. Observational learning. Int. J. Psychol. 2006, 41, 486–499. [Google Scholar] [CrossRef]
- Singer-Dudek, J.; Choi, J.; Lyons, L. The Effects of an Observational Intervention on the Emergence of Two Types of Observational Learning. Eur. J. Behav. Anal. 2013, 14, 329–347. [Google Scholar] [CrossRef]
- Skinner, B.F. Verbal Behavior; Copley Publishing Group and the B. F. Skinner Foundation: Acton, MA, USA, 1957. [Google Scholar]
- Donley, C.R.; Greer, R.D. Setting events controlling social verbal exchanges between students with developmental delays. J. Behav. Educ. 1993, 3, 387–401. [Google Scholar] [CrossRef]
- Lodhi, S.; Greer, R.D. The speaker as listener. J. Exp. Anal. Behav. 1989, 51, 353–360. [Google Scholar] [CrossRef] [PubMed]
- The New York State Education Department. Prekindergarten Foundation for the Common Core. 2012. Available online: http://www.p12.nysed.gov/ciai/common_core_standards/pdfdocs/nyslsprek.pdf (accessed on 13 February 2020).
- Chouinard, M.M. Children’s questions: A mechanism for cognitive development. Monogr. Soc. Res. Child Dev. 2007, 72. [Google Scholar] [CrossRef]
- Kreitler, S.; Kreitler, H.; Zigler, E. Cognitive Orientation and Curiosity. Br. J. Psychol. 1974, 65, 43–52. [Google Scholar] [CrossRef]
- Minuchin, P. Correlates of curiosity and exploratory behavior in preschool disadvantaged children. Child Dev. 1971, 42, 939–950. [Google Scholar] [CrossRef]
- Mendel, G. Children’s preferences for differing degrees of novelty. Child Dev. 1965, 36, 453–465. [Google Scholar] [CrossRef]
- Henderson, B.; Moore, S.G. Children’s responses to objects differing in novelty in relation to level of curiosity and adult behavior. Child Dev. 1980, 51, 457–465. [Google Scholar] [CrossRef]


| Participant | Gender | Age | Diagnosis | Relevant Standard Test Scores |
|---|---|---|---|---|
| 1 | M | 3 years 8 months | ASD | PSL-5 (12/20/12) Expressive Communication SS 87, 19 percentile |
| 2 | M | 4 years 1 month | ASD | PSL-5 (04/15/13) Expressive Communication SS 90, 25 percentile |
| 3(B) | M | 3 years 7 months | ASD | PSL-5 (01/28/13) Expressive Communication SS 70 WPPSI-III (01/28/13) Verbal IQ SS 77 |
| 4 | M | 4 years 4 months | ASD | PSL-4 (04/27/12) Expressive Communication SS 73 WPPSI-III (05/01/12) Verbal IQ SS 77 |
| 5 | M | 4 years | ASD | PSL-5 (10/11/12) Expressive Communication SS 72, 3 percentile |
| 6 | M | 3 years 9 months | N/A | Boehm Test of Basic Concepts 90% correct, 62 percentile |
| 7(C) | F | 4 years 6 months | N/A | N/A |
| 8 | F | 3 years 4 months | N/A | N/A |
| 9 | F | 3 years 9 months | N/A | Boehm Test of Basic Concepts98% correct, 94 percentile |
| 10 | M | 4 years 1 month | ASD | PSL-5 (08/06/12) Expressive Communication SS 65 WPPSI-III (10/18/12) Verbal IQ SS 84 |
| 11(D) | F | 3 years 1 month | N/A | N/A |
| 13 | M | 4 years 4 months | ASD | PSL-5 (01/02/13) Expressive Communication SS 97 |
| 14 | M | 4 years 9 months | ASD | PSL-5 (01/07/13) Expressive Communication SS 78 |
| 15 | M | 4 years 11 months | ASD | PSL-5 (12/14/12) Expressive Communication SS 103 |
| 16 | M | 4 years 4 months | ASD | PSL-5 (06/08/12) Expressive Communication SS 90, 25 percentile |
| 17(A) | M | 4 years 9 months | ASD | PSL-5 (01/27/13) Expressive Communication 2.6–3.0 (age equivalent) |
| 18 | F | 4 years 5 months | N/A | |
| 19 | F | 4 years 7 months | N/A |
| Experimenter | Participant | |
|---|---|---|
| 1 | Truck | Dinosaur |
| 2 | Toilet brush | Cable drop |
| 3 | Boots | Door jack |
| 4 | Radio | Trivet |
| 5 | Telephone | Spaghetti measure |
| 6 | Star | Cable tie |
| 7 | Soap pump | Book |
| 8 | Clock | Pig |
| 9 | Woody | Mosquito incense |
| 10 | Tree | Signal tower |
| 11 | Car | Tap wrench |
| 12 | Cat/Kitten | Massage ball |
| 13 | Pinch mit | Flower |
| 14 | Mini saucer | Bed |
| 15 | Hamburger | Plumbing brush |
| 1 | 2 | 3 | |
|---|---|---|---|
| Novel Stimulus | Melted milk container | Fuzzy angel | Ancient ghost |
| Bag | Set 1 | Set 2 | ||
|---|---|---|---|---|
| Novel Stimulus | Contrived Name | Novel Stimulus | Contrived Name | |
| Yellow | Cookie cutter | Bek | Mental ruler | Berfect |
| Pink | Dog toy | Tata | LED mouthpiece | Forry |
| Blue | Spinner | Mig | Lip whistles | Zery |
| Green | Strainer | Ziz | Hair curler | Zummer |
| Orange | Note holder | Oot | Massage sponge | Cweet |
| Familiar Stimuli | Unfamiliar Stimuli | |||||
|---|---|---|---|---|---|---|
| 1 | 2 | 3 | 4 | Novel Stimulus | Contrived Name | |
| Orange | Butterfly | Spinner | Star | Pig | Brillo | Gugi |
| Yellow | Dice | Giraffe | Leaf | Block | Green top | Mup |
| Pink | Flower | Ball | Slipper | Dinosaur | Silicon poacher | Pimmel |
| Blue | Snow | Plane | Ball | Turtle | Juicer | Tay |
| Set 1 | Set 2 | Set 3 | Set 4 | Set 5 | Set 6 | ||
|---|---|---|---|---|---|---|---|
| 1 | Peer | Helicopter | Buzz | Scissors | Book | Juice box | Cupcake |
| 2 | Participant | Diego | iPad | Lamp | Taxi | Bell | Mr. Potato Head |
| 3 | Peer (unknown) | Buddhas Hand | Flat bottle | Lamprey | Jiang Jun | Fermented bean curd | Transparent Shrimp |
| 4 | Participant (unknown) | Fiddlehead | Lithops | Heat pouch | Niao Qi | Mangosteen | Zhu Jie |
| 5 | Peer | Cauliflower | Iron | Ice-cream | Banana | Bathtub | Buzz |
| 6 | Participant | Woody | Fan | Elephant | Balloon | Sun | Sponge Bob |
| 7 | Peer (unknown) | Red gourd | Lotus Root | Pink Fairy Armadillo | Honeycomb Fungus | Java apple | Ya La |
| 8 | Participant (unknown) | Sea Urchin | Mushroomo | Honeycomb briquette | Sea Vootoo | Gang Fruit | Wild Yam |
| 9 | Peer | Eggplant | Dora | Tree | Pizza | Pig | Mac & Cheese |
| 10 | Participant | Computer | Butterfly | Tooth brush | Toilet | Tree | Mailbox |
| 11 | Peer (unknown) | Tota | Prickly pears | Kala Roma | Ya Ya | Dragon Eye | Cottontop tamarin |
| 12 | Participant (unknown) | Da Ping | Choko | Balloon plant | Spiky Seeds | Ginseng | Noni |
| 13 | Peer | Cupcake | Headphone | Giraffe | Lemon | Lollipop | Battery |
| 14 | Participant | Fish | Thomas | Bike | Tooth Brush | Hand | Frog |
| 15 | Peer (unknown) | Gac | Broken Machine | Bitter melon | Kivala | Moon cakes | Ring-tailed Mongoose |
| 16 | Participant (unknown) | Draft Lens | Wheat Stalls | Bleeding tooth fungus | Purple Melon | Roly-Poly | Bottle Gourd |
| 17 | Peer | Flag | Koala Bear | Blueberry | Train | Violin | Box |
| 18 | Participant | Horse | Dino | Candle | Boat | Foot | Cow |
| 19 | Peer (unknown) | White Radish | Welwitschia | Sand Dollar | Iron Mask | Tapir | Momordica charantia |
| 20 | Participant (unknown) | Venus Fly Traps | Copper hot water container | Hot Pot | Baoma | Totoro | Aardvark |
Publisher’s Note: MDPI stays neutral with regard to jurisdictional claims in published maps and institutional affiliations. |
© 2021 by the authors. Licensee MDPI, Basel, Switzerland. This article is an open access article distributed under the terms and conditions of the Creative Commons Attribution (CC BY) license (http://creativecommons.org/licenses/by/4.0/).
Share and Cite
Speckman, J.; Du, L.; Greer, R.D. Increasing Requests for Information by Preschoolers with and without Language-Based Disabilities. Educ. Sci. 2021, 11, 94. https://doi.org/10.3390/educsci11030094
Speckman J, Du L, Greer RD. Increasing Requests for Information by Preschoolers with and without Language-Based Disabilities. Education Sciences. 2021; 11(3):94. https://doi.org/10.3390/educsci11030094
Chicago/Turabian StyleSpeckman, JeanneMarie, Lin Du, and R. Douglas Greer. 2021. "Increasing Requests for Information by Preschoolers with and without Language-Based Disabilities" Education Sciences 11, no. 3: 94. https://doi.org/10.3390/educsci11030094
APA StyleSpeckman, J., Du, L., & Greer, R. D. (2021). Increasing Requests for Information by Preschoolers with and without Language-Based Disabilities. Education Sciences, 11(3), 94. https://doi.org/10.3390/educsci11030094
