Cognitive Learning about Waste Management: How Relevance and Interest Influence Long-Term Knowledge
Abstract
1. Introduction
1.1. Teaching Methods as Triggers for Knowledge Acquisition
- Scientific inquiry. This part considers different working methods that scientists use to study natural phenomena and explain findings. In our case, the students built a functional model of an incineration plant, did text-guided parts and integrated their solutions to solve the waste problem.
- Inquiry learning. This is a learning process organized collaboratively with small scientific investigations on various questions, interactive communication and explanations to peers. In our module, students worked collaboratively in pairs, small groups or as a whole class in order to investigate the technological parts of an incineration plant, the circular flow of waste or how to reduce the waste.
- Inquiry teaching. According to Anderson [15], a central aspect of learning is to investigate, but not to gloss over. According to NSES, the consideration of real-life issues in order to expand knowledge is a central element of good teaching. The teacher in our study acted in the role of a supporter, not as a mere supervisor.
1.2. Social Form: Cooperative Learning
1.3. Interest and Relevance as Components of Motivation
1.4. Focus of the Study
2. Procedures and Methods
2.1. Participants
2.2. Intervention Design
2.3. Test Design and Instruments
2.4. Statistical Analysis
3. Results
3.1. Item Difficulties
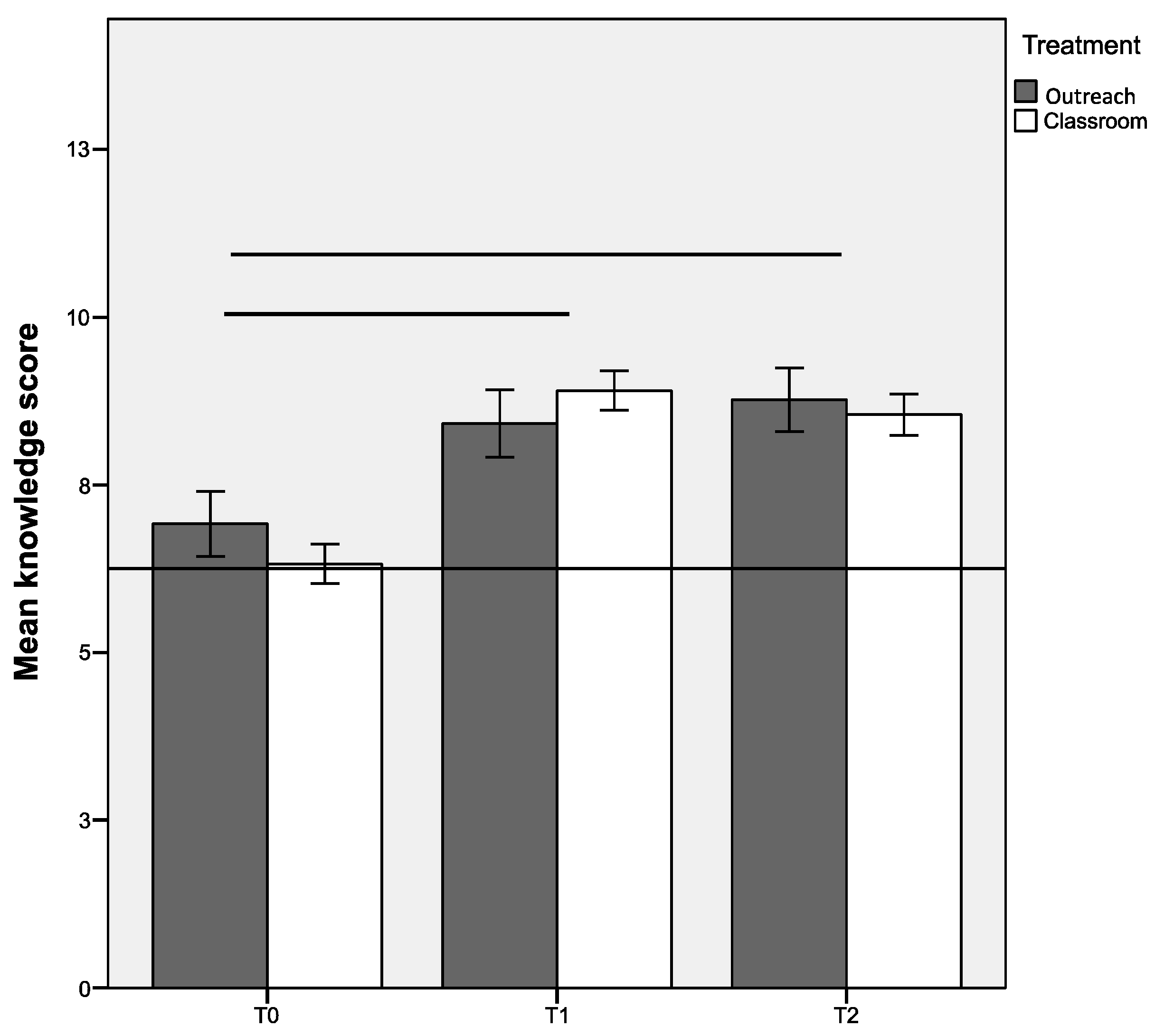
3.2. Knowledge Acquisition in and beyond Intervention
3.3. Semantic Differential Scores
3.4. Correlation between Semantic Differential and Knowledge Acquisition
4. Discussion
4.1. Cognitive Learning Context
4.2. Interest and Relevance
4.3. Long-Term Knowledge
4.4. Limitations of the Study
5. Conclusions
Author Contributions
Funding
Acknowledgments
Conflicts of Interest
References
- Cialdini, R.B.; Reno, R.R.; Kallgren, C.A. A Focus Theory of Normative Conduct: Recycling the Concept of Norms to Reduce Littering in Public Places. J. Personal. Soc. Psychol. 1990, 58, 1015. [Google Scholar] [CrossRef]
- De Kort, Y.A.W.; Mccalley, L.T.; Midden, C.J.H. Persuasive Trash Cans Activation of Littering Norms by Design. Environ. Behav. 2008, 40, 870–891. [Google Scholar] [CrossRef]
- Cialdini, R.B. Crafting Normative Messages to Protect the Environment Social Psychology Crafting Normative Messages to Protect. Curr. Dir. Psychol. Sci. 2003, 12, 105–109. [Google Scholar] [CrossRef]
- Schultz, P.W.; Bator, R.J.; Large, L.B.; Bruni, C.M.; Tabanico, J.J. Littering in Context: Personal and Environmental Predictors of Littering Behavior. Environ. Behav. 2013, 45, 35–59. [Google Scholar] [CrossRef]
- Hasan, S.E. Public Awareness Is Key to Successful Waste Management. J. Environ. Sci. Heal. Part A Toxic/Hazard. Subst. Environ. Eng. 2004, 39, 483–492. [Google Scholar] [CrossRef] [PubMed]
- Grodzińska-Jurczak, M.; Bartosiewicz, A.; Twardowska, A.; Ballantyne, R. Evaluating the impact of a school waste education programme upon students’ parents’ and teachers’ environmental knowledge, attitudes and behaviour. Int. Res. Geogr. Environ. Educ. 2003, 12, 106–122. [Google Scholar] [CrossRef]
- Ballantyne, R.; Fien, J.; Packer, J. School Environmental Education Programme Impacts upon Student and Family Learning: A case study analysis. Environ. Educ. Res. 2001, 7, 23–37. [Google Scholar] [CrossRef]
- Evans, S.M.; Gill, M.E.; Marchant, J. Schoolchildren as educators: The indirect influence of environmental education in schools on parents’ attitudes towards the environment. J. Biol. Educ. 1996, 30, 243–248. [Google Scholar] [CrossRef]
- Gallagher, J.; Wheeler, C.; McDonough, M.; Namfa, B. Sustainable Environmental Education for a Sustainable Environment: Lessons from Thailand for Other Nations. Water Air Soil Pollut. 2000, 123, 489–503. [Google Scholar] [CrossRef]
- Hartley, B.L.; Thompson, R.C.; Pahl, S. Marine litter education boosts children’s understanding and self-reported actions. Mar. Pollut. Bull. 2015, 90, 209–217. [Google Scholar] [CrossRef]
- Mishra, P.; Koehler, M.J. Technological Pedagogical Content Knowledge: A Framework for Teacher Knowledge. Teach. Coll. Rec. 2006, 108, 1017–1054. [Google Scholar] [CrossRef]
- Shulman, L.S. Those Who Understand: Knowledge Growth in Teaching. Educ. Res. 1986, 15, 4–14. [Google Scholar] [CrossRef]
- Bildungsrat Beschlüsse der Kultusministerkonferenz. Bildungsstandards im Fach Biologie für den Mittleren Schulabschluss; Luchterhand: Munich, Germany, 2004. [Google Scholar]
- Bybee, R.W. Scientific Inquiry And Science Teaching. Sci. Inq. Nat. Sci. 2007, 1–14. [Google Scholar] [CrossRef]
- Anderson, R. Reforming Science Teaching: What Research Says About Inquiry. J. Sci. Teacher Educ. 2002, 13, 1–12. [Google Scholar] [CrossRef]
- Sofoklis, S.A.; Rodger, R.W.; Bogner, F.X. PATHWAYS–A Case of Large-Scale Implementation of Evidence-Based Practice in Scientific Inquiry-Based Science Education. Int. J. High. Educ. 2017, 6, 8. [Google Scholar] [CrossRef]
- Resnick, L.B. Learning in School and out. Educ. Res. 1987, 16, 13. [Google Scholar] [CrossRef]
- Harring, M.; Witte, M.D.; Burger, T. Informelles Lernen–Eine Einführung, 2. Auflage; Beltz Juventa in der Verlagsgruppe Beltz: Weilheim Basel, Germany, 2018; ISBN 978-3-7799-3134-8. [Google Scholar]
- Gerber, B.L.; Marek, E.A.; Cavallo, A.M.L. Development of an informal learning opportunities assay. Int. J. Sci. Educ. 2001, 23, 569–587. [Google Scholar] [CrossRef]
- Eshach, H. Bridging in-school and out-of-school learning: Formal, non-formal, and informal education. J. Sci. Educ. Technol. 2007, 16, 171–190. [Google Scholar] [CrossRef]
- Vennix, J.; den Brok, P.; Taconis, R. Perceptions of STEM-based outreach learning activities in secondary education. Learn. Environ. Res. 2017, 20, 21–46. [Google Scholar] [CrossRef]
- Deci, E.L.; Ryan, R.M. Intrinsic Motivation and Self-Determination in Human Behavior; Plenum Press: New York, NY, USA, 1985. [Google Scholar]
- Laursen, S.; Liston, C.; Thiry, H.; Graf, J. What good is a scientist in the classroom? Participant outcomes and program design features for a short-duration science outreach intervention in K--12 classrooms. CBE-Life Sci. Educ. 2007, 6, 49–64. [Google Scholar] [CrossRef]
- Slavin, R.E. Cooperative learning in elementary schools. Educ. 3-13 2015, 43, 5–14. [Google Scholar] [CrossRef]
- Fröhlich, G.; Sellmann, D.; Bogner, F.X. The influence of situational emotions on the intention for sustainable consumer behaviour in a student-centred intervention. Environ. Educ. Res. 2013, 19, 747–764. [Google Scholar] [CrossRef]
- Schmid, S.; Bogner, F.X. Effects of Students’ Effort Scores in a Structured Inquiry Unit on Long-Term Recall Abilities of Content Knowledge. Educ. Res. Int. 2015, 2015, 826734. [Google Scholar] [CrossRef]
- Sturm, H.; Bogner, F.X. Learning at workstations in two different environments: A museum and a classroom. Stud. Educ. Eval. 2010, 36, 14–19. [Google Scholar] [CrossRef]
- Sturm, H.; Bogner, F.X. Student-oriented versus teacher-centred: The effect of learning at workstations about birds and bird flight on cognitive achievement and motivation. Int. J. Sci. Educ. 2008, 30, 941–959. [Google Scholar] [CrossRef]
- Schaal, S.; Bogner, F.X. Human visual perception—Learning at workstations. J. Biol. Educ. 2005, 40, 32–37. [Google Scholar] [CrossRef]
- Rohrbeck, C.A.; Ginsburg-Block, M.D.; Fantuzzo, J.W.; Miller, T.R. Peer-assisted learning interventions with elementary school students: A meta-analytic review. J. Educ. Psychol. 2003, 95, 240–257. [Google Scholar] [CrossRef]
- Vygotsky, L.S. Mind In Society: Development of Higher Psychological Processes; Cole, M., John-Steiner, V., Scribner, S., Spouberman, E., Eds.; Harvard UP: Cambridge, MA, USA, 1978. [Google Scholar]
- Piaget, J.; Gabain, M. The Language and Thought of the Child; K. Paul, Trench, Trubner & Co., Ltd.: London, UK; Harcourt Brace & Company, Inc.: New York, NY, USA, 1926. [Google Scholar]
- Johnson, R.T.; Johnson, D.W. An Overview of Cooperative Learning. In Creativity and Collaborative Learning; Thousand, J., Villa, A., Nevin, A., Eds.; Brookes Press: Baltimore, MD, USA, 1994; pp. 1–21. [Google Scholar]
- Bilgin, I. The Effects of Hands-on Activities Incorporating a Cooperative Learning Approach on Eight Grade Students’ Science Process Skills and Attitudes Toward Science. J. Balt. Sci. Educ. 2006, 5, 15–25. [Google Scholar]
- Marth, M.; Bogner, F.X. Does the issue of bionics within a student-centered module generate long-term knowledge? Stud. Educ. Eval. 2017, 55, 117–124. [Google Scholar] [CrossRef]
- Kyndt, E.; Raes, E.; Lismont, B.; Timmers, F.; Cascallar, E.; Dochy, F. A meta-analysis of the effects of face-to-face cooperative learning. Do recent studies falsify or verify earlier findings? Educ. Res. Rev. 2013, 10, 133–149. [Google Scholar] [CrossRef]
- Palmer, D.H. Student Interest Generated During an Inquiry Skills Lesson. J. Res. Sci. Teach. 2009, 46, 147–165. [Google Scholar] [CrossRef]
- Hidi, S.; Renninger, K.A. The Four-Phase Model of Interest Development. Educ. Psychol. 2006, 41, 111–127. [Google Scholar] [CrossRef]
- Faulstich, P.; Grotlüschen, A. Erfahrung und Interesse beim Lernen—Konfrontationen der Konzepte von Klaus Holzkamp und John Dewey. Forum Krit. Psychol. 2006, 50, 56–71. [Google Scholar]
- Renninger, K.A.; Hidi, S.; Krapp, A. The role of interest in learning and development. In Proceedings of the A Matter of Interest; Schraw, G., Ed.; Lawrence Erlbaum: Mahwah, NJ, USA, 1994; p. 461. [Google Scholar]
- Hidi, S. Interest and Its Contribution as a Mental Resource for Learning. Rev. Educ. Res. 1990, 60, 549–571. [Google Scholar] [CrossRef]
- Renninger, K.A.; Wozniak, R.H. Effect of Interest on Attentional Shift, Recognition, and Recall in Young Children. Dev. Psychol. 1985, 21, 624–632. [Google Scholar] [CrossRef]
- Randler, C.; Hummel, E.; Gläser-Zikuda, M.; Vollmer, C.; Bogner, F.X.; Mayring, P. Reliability and validation of a short scale to measure situational emotions in science education. Int. J. Environ. Sci. Educ. 2011, 6, 359–370. [Google Scholar]
- Randler, C.; Bogner, F.X. Pupils’ interest before, during, and after a curriculum dealing with ecological topics and its relationship with achievement. Educ. Res. Eval. 2007, 13, 463–478. [Google Scholar] [CrossRef]
- Hidi, S. Interest: A unique motivational variable. Educ. Res. Rev. 2006, 1, 69–82. [Google Scholar] [CrossRef]
- Mitchell, M. Situational Interest: Its Multifaceted Structure in the Secondary School Mathematics Classroom. J. Educ. Psychol. 1993, 85, 424–436. [Google Scholar] [CrossRef]
- Keller, J.M. Motivational design of instruction. Instr. Des. Theor. Model. An Overv. Their Curr. Status 1983, 1, 383–434. [Google Scholar]
- Frymier, A.B.; Shulman, G.M. “What’s in it for me?”: Increasing content relevance to enhance students’ motivation. Commun. Educ. 1995, 44, 40–50. [Google Scholar] [CrossRef]
- Gilman, R.; Anderman, E.M. Motivation and its relevance to school psychology: An introduction to the special issue. J. Sch. Psychol. 2006, 44, 325–329. [Google Scholar] [CrossRef]
- Albrecht, J.R.; Karabenick, S.A. Relevance for Learning and Motivation in Education. J. Exp. Educ. 2018, 86, 1–10. [Google Scholar] [CrossRef]
- Alexander, P.A. The Relevance of Relevance for Learning and Performance. J. Exp. Educ. 2018, 86, 124–135. [Google Scholar] [CrossRef]
- National Research Council. Engaging Schools: Fostering High School Students; Motivation to Learn; The National Academies Press: Washington, DC, USA, 2004. [Google Scholar] [CrossRef]
- Newby, T.J. Classroom Motivation: Strategies of First-Year Teachers. J. Educ. Psychol. 1991, 83, 195–200. [Google Scholar] [CrossRef]
- Hill, R.J. The Measurement of Meaning. Am. Sociol. Rev. 1958, 23, 227–228. [Google Scholar] [CrossRef]
- Schönfelder, M.L.; Bogner, F.X. Individual perception of bees: Between perceived danger and willingness to protect. PLoS ONE 2017, 12, e0180168. [Google Scholar] [CrossRef]
- Osgood, C.E.; May, W.H.; Miron, M.S.; Miron, M.S. Cross-Cultural Universals of Affective Meaning; University of Illinois Press: Urbana, IL, USA, 1975; Volume 1. [Google Scholar]
- Osgood, C.E. Studies on the generality of affective meaning systems. Am. Psychol. 1962, 17, 10–28. [Google Scholar] [CrossRef]
- Schiefele, U. Interest, Learning, and Motivation. Educ. Psychol. 1991, 26, 299–323. [Google Scholar]
- Field, A. Discovering Statistics using IBM SPSS Statistics, 4th ed.; Carmichael, M., Ed.; Sage Publications: London, UK; Los Angeles, CA, USA; New Dehli, India; Singapore; Washington, DC, USA, 2013. [Google Scholar] [CrossRef]
- Kaiser, H.F. A Second-generation Little Jiffy. Psychometrika 1970, 35, 401–415. [Google Scholar] [CrossRef]
- Bogner, F.X.; Fremerey, C. How outreach learning at authentic waste management environments interacts with cognitive knowledge dimensions. J. Wastemanag. Environ. Issues 2017, I, 1–10. [Google Scholar]
- Tennyson, R.D.; Rasch, M. Linking cognitive learning theory to instructional prescriptions. Instr. Sci. 1988, 17, 369–385. [Google Scholar] [CrossRef]
- Müller, F.H. Interesse und Lernen. ZfW 2006, 1, 48–62. [Google Scholar]
- Värlander, S. The role of students’ emotions in formal feedback situations. Teach. High. Educ. 2008, 13, 145–156. [Google Scholar] [CrossRef]
- Pekrun, R.; Goetz, T.; Daniels, L.M.; Stupnisky, R.H.; Perry, R.P. Boredom in Achievement Settings: Exploring Control-Value Antecedents and Performance Outcomes of a Neglected Emotion. J. Educ. Psychol. 2010, 102, 531–549. [Google Scholar] [CrossRef]
- Gibson, H.L.; Chase, C. Longitudinal Impact of an Inquiry-Based Science Program on Middle School Students’ Attitudes Toward Science. Sci. Educ. 2002, 86, 693–705. [Google Scholar] [CrossRef]
- Fremerey, C.; Bogner, F.X. Learning about Drinking Water: How Important are the Three Dimensions of Knowledge that Can Change Individual Behavior? Educ. Sci. 2014, 4, 213–228. [Google Scholar] [CrossRef]
- Bogner, F.X. The Influence of Short-Term Outdoor Ecology Education on Long-Term Variables of Environmental Perspective. J. Environ. Educ. 1998, 29, 17–29. [Google Scholar] [CrossRef]
- Fremerey, C.; Bogner, F.X. Cognitive learning in authentic environments in relation to green attitude preferences. Stud. Educ. Eval. 2015, 44, 9–15. [Google Scholar] [CrossRef]
- Johnson, B.; Manoli, C. The 2MEV Scale in the United States: A Measure of Children’s Environmental Attitudes Based on the Theory of Ecological Attitude. J. Environ. Educ. 2010, 42, 84–97. [Google Scholar] [CrossRef]
- Fančovičová, J.; Prokop, P. Plants have a chance: Outdoor educational programmes alter students’ knowledge and attitudes towards plants. Environ. Educ. Res. 2011, 17, 537–551. [Google Scholar] [CrossRef]
- Sellmann, D.; Bogner, F.X. Climate change education: quantitatively assessing the impact of a botanical garden as an informal learning environment. Environ. Educ. Res. 2013, 19, 415–429. [Google Scholar] [CrossRef]
- Stein, S.J.; Isaacs, G.; Andrews, T. Incorporating authentic learning experiences within a university course. Stud. High. Educ. 2004, 29, 239–258. [Google Scholar] [CrossRef]
- Sellmann, D.; Bogner, F.X. Effects of a 1-day environmental education intervention on environmental attitudes and connectedness with nature. Eur. J. Psychol. Educ. 2013, 28, 1077–1086. [Google Scholar] [CrossRef]
- Bissinger, K.; Bogner, F.X. Environmental literacy in practice: education on tropical rainforests and climate change. Environ. Dev. Sustain. 2018, 20, 2079–2094. [Google Scholar] [CrossRef]
- National Research Council. How People Learn: Brain, Mind, Experience, and School: Expanded Edition; The National Academies Press: Washington, DC, USA, 2000. [Google Scholar] [CrossRef]
- Goldschmidt, M.; Scharfenberg, F.J.; Bogner, F.X. Instructional efficiency of different discussion approaches in an outreach laboratory: Teacher-guided versus student-centered. J. Educ. Res. 2016, 109, 27–36. [Google Scholar] [CrossRef]
- Blumenfeld, P.C.; Soloway, E.; Marx, R.W.; Krajcik, J.S.; Guzdial, M.; Palincsar, A. Motivating Project-Based Learning: Sustaining the Doing, Supporting the Learning. Educ. Psychol. 1991, 26, 369–398. [Google Scholar]
- Graham, S.; Golan, S. Motivational Influences on Cognition: Task Involvement, Ego Involvement, and Depth of Information Processing. J. Educ. Psychol. 1991, 83, 187–194. [Google Scholar] [CrossRef]
- Johnson, D.W.; Johnson, R.T. Making Cooperative Learning Work. Theory Pract. 1999, 38, 67–73. [Google Scholar] [CrossRef]
- Mayer, R.E. Should There Be a Three-Strikes Rule against Pure Discovery Learning? The Case for Guided Methods of Instruction. Am. Psychol. 2004, 59, 14–19. [Google Scholar] [CrossRef]
- Poppenk, J.; Köhler, S.; Moscovitch, M. Revisiting the novelty effect: When familiarity, not novelty, enhances memory. J. Exp. Psychol. Learn. Mem. Cogn. 2010, 36, 1321–1330. [Google Scholar] [CrossRef]





| Example Questions | |
|---|---|
| W1_1 What is left when incinerating residual waste in the waste-to-energy plant?
| W1_17 A generator turns ...
|
| W1_3 The waste-to-energy plant supplies the people in the area with ...
| W1_16 Which transport packaging for your purchases generates the least amount of waste?
|
| Factor Loadings: Relevance | Factor Loadings: Interest | |
|---|---|---|
| worthless/worthy | 0.807 | |
| unimportant/important | 0.802 | |
| needless/ needed | 0.772 | |
| uncool/cool | 0.738 | |
| nasty/likeable | 0.701 | |
| uninteresting/interesting | 0.655 | |
| boring/fascinating | 0.600 |
| Semantic Differential: | Knowledge: | |||||
|---|---|---|---|---|---|---|
| Interest | Relevance | T0 | T1 | T2 | ||
| Interest | Sig. | <0.0001 | n.s. | n.s. | <0.0001 | |
| Corr. | 1 | 0.581 *** | 0.202 *** | |||
| Relevance | Sig. | <0.0001 | 1 | n.s. | n.s. | <0.0001 |
| Corr. | 0.581 *** | 0.255 *** | ||||
© 2020 by the authors. Licensee MDPI, Basel, Switzerland. This article is an open access article distributed under the terms and conditions of the Creative Commons Attribution (CC BY) license (http://creativecommons.org/licenses/by/4.0/).
Share and Cite
Stöckert, A.; Bogner, F.X. Cognitive Learning about Waste Management: How Relevance and Interest Influence Long-Term Knowledge. Educ. Sci. 2020, 10, 102. https://doi.org/10.3390/educsci10040102
Stöckert A, Bogner FX. Cognitive Learning about Waste Management: How Relevance and Interest Influence Long-Term Knowledge. Education Sciences. 2020; 10(4):102. https://doi.org/10.3390/educsci10040102
Chicago/Turabian StyleStöckert, Alexandra, and Franz X. Bogner. 2020. "Cognitive Learning about Waste Management: How Relevance and Interest Influence Long-Term Knowledge" Education Sciences 10, no. 4: 102. https://doi.org/10.3390/educsci10040102
APA StyleStöckert, A., & Bogner, F. X. (2020). Cognitive Learning about Waste Management: How Relevance and Interest Influence Long-Term Knowledge. Education Sciences, 10(4), 102. https://doi.org/10.3390/educsci10040102

