CPEC’s Utility and Concerns under OBOR Initiative: A Pakistani Industrial Perspective
Abstract
:1. Introduction
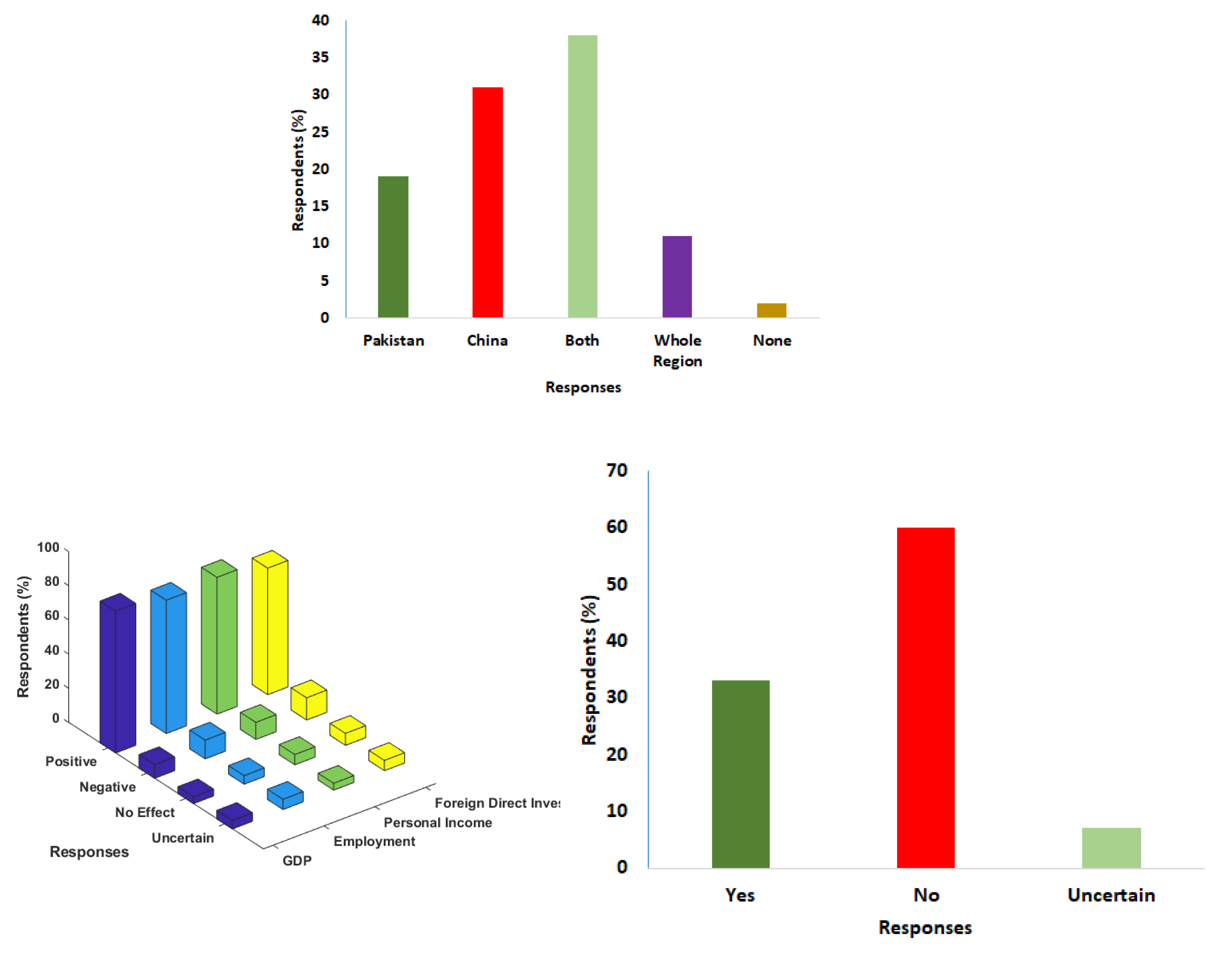
- CPEC’s beneficiaries China, Pakistan or both.
- Effects of CPEC on employment, GDP, foreign direct investment (FDI) and personal income in Pakistan.
- The concerns associated over Pakistan’s sovereignty.
2. Background & Literature Review
2.1. One Belt One Road
2.2. China Pakistan Economic Corridor
3. Methodology
3.1. Study Context
3.2. Data Collection
3.3. Data Analysis
4. Results
4.1. Concepts Comparison
4.2. Semantic Network Comparison
5. Discussion
- China has a strategic relationship with the Pakistan.
- In this era, no country can retain the land occupancy of any other country without legislation.
- China is building OBOR only for the purpose of trading, not for occupying the areas of other countries.
6. Conclusions
6.1. Recommendations
- Government officials must avoid political corruption.
- Nepotism is a root cause for downfall of any strategic planning.
- Giving and offering bribes to countrymen must be considered a serious crime.
- White-collar crime usually involves respectable and powerful people that can give birth to other crimes such as fraud, money embezzlement or money laundering.
6.2. Limitations and Future Direction
Author Contributions
Funding
Conflicts of Interest
References
- Abid, Massarrat, and Ayesha Ashfaq. 2015. Cpec: Challenges and opportunities for pakistan. Journal of Pakistan Vision 16: 142–69. [Google Scholar]
- Ahmed, Hafiz Zafar, Noor Ul Ain Khan, Sara Sajjad, and Dawood Ahmed. 2018. Evaluation of Strategic Importance of CPEC: A Comparative Study with Panama Canal Project and Suez Canal Project. A Research Journal of Commerce, Economics, and Social Sciences 12: 112–19. [Google Scholar] [CrossRef]
- Ahmed, Riaz, and Usman Mustafa. 2014. Impact of CPEC Projects on Agriculture Sector of Pakistan: Infrastructure and Agricultural Output Linkages. Available online: https://www.pide.org.pk/psde/pdf/AGM32/papers/Impact%20of%20CPEC%20Projects%20on%20Agriculture%20Sector%20on%20Pakistan.pdf (accessed on 20 August 2019).
- Ali, Akber. 2016. China Pakistan Economic Corridor: Prospects and Challenges for Regional Integration. Arts and Social Sciences Journal 7: 3–7. [Google Scholar] [CrossRef]
- Ali, Yousaf, Zaeem Rasheed, Noor Muhammad, and Salman Yousaf. 2017. Energy optimization in the wake of China Pakistan Economic Corridor (CPEC) Energy optimization in the wake of China Pakistan Economic Corridor (CPEC). Journal of Control and Decision, 1–19. [Google Scholar] [CrossRef]
- Anwar, Zahid. 2010. Gwadar Deep Sea Port’s Emergence as Regional Trade and Transportation Hub: Prospects and Problems. Journal of Political Studies 17: 97–112. [Google Scholar]
- Ashraf, Sajjad. 2015. China Pakistan Economic Corridor. Institute of South Asian Studies 364: 1–4. [Google Scholar] [CrossRef]
- Biesenthal, Christopher, and Ralf Wilden. 2014. ScienceDirect Multi-level project governance: Trends and opportunities. JPMA 32: 1291–308. [Google Scholar] [CrossRef]
- Chaziza, Mordechai. 2016. China–Pakistan Relationship: A Game-changer for the Middle East? Contemporary Review of the Middle East 3: 147–61. [Google Scholar] [CrossRef]
- China-Britain Business Council. 2016. One Belt One Road: A Role for UK Companies in Developing China’s New Initiative. London: China-Britain Business Council, p. 28. [Google Scholar]
- Coyne, Imelda T., Hons Dipn, and Rscn Rgn. 1997. Sampling in qualitative research. Purposeful and theoretical sampling; merging or clear boundaries? JAN 26: 623–30. [Google Scholar] [CrossRef]
- Estache, Antonio, and Grégoire Garsous. 2012. The impact of infrastructure on growth in developing countries. IFC Economics Notes 1. [Google Scholar] [CrossRef]
- Fakhar Hussain, Mezhar Hussain. 2017. China-Pak Economic Corridor (CPEC) And Its Geopolitical Paradigms. IJSSHE—International Journal of Social Sciences, Humanities and Education 1: 1–17. [Google Scholar]
- Fedderke, Johannes W., P. Perkins, and John Luiz. 2006. Infrastructural investment in long-run economic growth: South Africa 1875–2001. World Development 34: 1037–59. [Google Scholar] [CrossRef]
- Ferdinand, Peter. 2016. Westward ho—The China dream and ‘one belt, one road’: Chinese foreign policy under Xi Jinping. International Affairs 92: 941–57. [Google Scholar] [CrossRef]
- Garrett-Peltier, Heidi. 2010. Estimating the employment impacts of pedestrian, bicycle, and road infrastructure-case study: Baltimore. Available online: https://trid.trb.org/view/1094074 (accessed on 20 August 2019).
- Haq, Rashida, and Nadia Farooq. 2017. Impact of cpec on social welfare in pakistan: A district level analysis. Paper presented at the 32nd Annual General Meeting and Conference (2016), Abuja, Nigeria, September 16. [Google Scholar]
- Harvey, Hurricane, Wenlin Liu, Chih-hui Lai, and Weiai Wayne. 2018. Tweeting about emergency: A semantic network analysis of government organizations’ social media messaging during. Public Relations Review 44: 807–19. [Google Scholar] [CrossRef]
- Ibrar, Muhammad, Jianining Mi, Muhammad Rafiq, and Liaqat Ali. 2019. China-Pakistan Economic Corridor: Ensuring Pakistan’ s Economic Benefits. Khazar Journal of Humanities & Social Sciences 22: 38–51. [Google Scholar] [CrossRef]
- International Labor Organization. 2011. Local Development through Infrastructure Investments and Jobs—Advisory Support, Information Services and Training Programme (ASIST-AP). Geneva: International Labor Organization. [Google Scholar]
- Irshad, Muhammad Saqib, Qi Xin, and Hamza Arshad. 2015. One Belt and One Road: Dose China-Pakistan Economic Corridor benefit for Pakistan’ s Economy? Journal of Economics and Sustainable Development 6: 200–7. [Google Scholar]
- Javaid, Umbreen. 2016. Assessing CPEC: Potential Threats and Prospects. Pakistan Economic and Social Review 54: 123–42. [Google Scholar]
- Jetin, Bruno. 2017. “One Belt- One Road Initiative” and ASEAN Connectivity: Synergy Issues and Potentialities. In China’s Global Rebalancing and the New Silk Road. Singapore: Springer, pp. 139–50. [Google Scholar]
- Malik, Hasan Yaser. 2012. Strategic Importance of Gwadar Port. Journal of Political Studies 19: 57–69. [Google Scholar]
- Marshall, Andrew Gavin. 2016. “Integrate, But Hedge”: China In the Age of Global Governance, Part I. OCCUPY, January 26. [Google Scholar]
- Ministry of Planning Development and Reforms. 2019. Is CPEC Becoming Another East India Company? Islamabad: Ministry of Planning Development and Reforms.
- Mumtaz, Muhammad Zubair, Zachary Alexander Smith, and Ashfaque H Khan. 2016. An Analysis of Chinese Outward Foreign Direct Investment in Emerging and Developing Countries: Implications for Pakistan under CPEC. The Journal of Social, Political, and Economic Studies 42: 327–67. [Google Scholar]
- Pravakar Sahoo, Ranjan Kumar Dash. 2010. Infrastructure Development and Economic Growth in China Economic Growth in China. January. Available online: https://pdfs.semanticscholar.org/d701/da02e0f795c310e56b7f36877dc3017033c8.pdf (accessed on 2 September 2019).
- Quora. 2017. What Would Be the Impact of China-Pakistan Economic Corridor (CPEC) on Pakistan’s Economy in the Short-Term and the Long-Run? Mountain View: Quora. [Google Scholar]
- Ramachandran, Sudha. 2015. China-pakistan economic corridor: Road to riches? China Brief 15: 1–4. [Google Scholar]
- Sheu, Jiuh Biing, and Tanmoy Kundu. 2017. Forecasting time-varying logistics distribution flows in the One Belt-One Road strategic context. Transportation Research Part E 117: 5–22. [Google Scholar] [CrossRef]
- The Wall Street. 2015. CPEC Map. Available online: https://www.wsj.com/articles/china-to-unveil-billions-of-dollars-in-pakistan-investment-1429214705 (accessed on 15 April 2019).
- Tongco, Ma Dolores C. 2007. Purposive Sampling as a Tool for Informant Selection. Ethnobotany Research and Applications 5: 147–58. [Google Scholar] [CrossRef]
- Yang, Dong, Liping Jiang, and Adolf K. Y. Ng. 2018. One Belt one Road, but several routes: A case study of new emerging trade corridors connecting the Far East to Europe. Transportation Research Part A 117: 190–204. [Google Scholar] [CrossRef]
- Zia, Muhammad Muzammil. 2017. The Impact of CPEC & Related Road Infrastructure Projects on Employment 011. Islamabad: Centre of Excellence for CPEC. [Google Scholar]
- Zia, Muhammad Muzammil, Shujaa Waqar, and Beenash Afzal Malik. 2018. Special Economic Zones (SEZs): A Comparative Analysis for CPEC SEZs in Pakistan. Islamabad: Centre of Excellence for CPEC, pp. 37–60. [Google Scholar]
| 1. | China’s plan to run the world: https://theweek.com/articles/704139/chinas-plan-run-world. |
| 2. | Vision and Actions on Jointly Building Belt and Road: http://english.cri.cn/12394/2015/03/29/2941s872030.htm. |
| 3. | China Pakistan Economic Corridor: https://invest.gov.pk/china-pakistan-economic-corridor. |
| 4. | Today in Energy: https://www.eia.gov/todayinenergy/detail.php?id=4430. |





| Sr. No. | Industry/Sector | Designation | Public/Private |
|---|---|---|---|
| 1 | Fertilizers/Pesticide/seed | CEO | Private |
| 2 | Soap/Detergent/Chemicals | Director | Private |
| 3 | Poultry/Cattle Feed | CEO/Chairman | Private |
| 4 | Mango Grower/Exporter | CEO | Private |
| 5 | Pesticides/Chemical | CEO/Director Operations | Private |
| 6 | Textile/Cotton/ Edible Oil | Executive Director | Private |
| 7 | Textile/Agriculture/Fruit | Director | Private |
| 8 | Cotton Ginning/Electric Power | Director/Chairman HR | Private/Public |
| 9 | Importer/Farmer Solutions | Director/Business Manager | Private |
| 10 | Textile/Ginning | Director/Managing Partner | Private |
| 11 | Automobiles | CEO | Private |
| 12 | Edible Oil | CEO | Private |
| 13 | Books/Stationer/Publisher | CEO | Private |
| 14 | Petroleum/Oil/Lubricants | Regional Manager | Public |
| 15 | Electronics | Manager/Authorized Dealer | Private |
| 16 | Bank | Assistance Vice President | Public |
| Aspect 1 | Aspect 2 | Aspect 3 | ||||||
|---|---|---|---|---|---|---|---|---|
| Concepts | Count | Relevance | Concepts | Count | Relevance | Concepts | Count | Relevance |
| China | 81 | 1 | increase | 146 | 1 | China | 44 | 1 |
| Pakistan | 46 | 0.57 | CPEC | 101 | 0.69 | CPEC | 44 | 1 |
| CPEC | 42 | 0.52 | employment | 88 | 0.6 | Pakistan | 32 | 0.73 |
| beneficiary | 21 | 0.26 | GDP | 87 | 0.6 | Chinese | 31 | 0.7 |
| countries | 18 | 0.22 | income | 85 | 0.58 | country | 17 | 0.39 |
| route | 14 | 0.17 | Pakistan | 70 | 0.48 | colony | 14 | 0.32 |
| trade | 13 | 0.16 | inflation | 51 | 0.35 | business | 12 | 0.27 |
| world | 10 | 0.12 | investment | 50 | 0.34 | world | 10 | 0.23 |
| benefits | 10 | 0.12 | economy | 48 | 0.33 | history | 7 | 0.16 |
| beneficiaries | 9 | 0.11 | jobs | 42 | 0.29 | government | 7 | 0.16 |
| economic | 8 | 0.1 | positive | 38 | 0.26 | interest | 6 | 0.14 |
| oil | 7 | 0.09 | people | 35 | 0.24 | people | 6 | 0.14 |
| project | 7 | 0.09 | due | 32 | 0.22 | era | 5 | 0.11 |
| corridor | 6 | 0.07 | better | 30 | 0.21 | EIC5 | 4 | 0.09 |
| Chinese | 5 | 0.06 | improve | 26 | 0.18 | land | 4 | 0.09 |
| time | 5 | 0.06 | common | 26 | 0.18 | major | 4 | 0.09 |
| economy | 5 | 0.06 | projects | 26 | 0.18 | million | 4 | 0.09 |
| developed | 4 | 0.05 | business | 25 | 0.17 | bring | 3 | 0.07 |
| country | 3 | 0.04 | reduce | 22 | 0.15 | economic | 3 | 0.07 |
| developing | 3 | 0.04 | Chinese | 21 | 0.14 | control | 3 | 0.07 |
| everything | 3 | 0.04 | activities | 21 | 0.14 | industry | 3 | 0.07 |
| beneficial | 3 | 0.04 | economic | 20 | 0.14 | power | 3 | 0.07 |
| movement | 2 | 0.02 | grow | 17 | 0.12 | follow | 2 | 0.05 |
| span | 2 | 0.02 | industry | 17 | 0.12 | agreements | 2 | 0.05 |
| roads | 2 | 0.02 | toll | 15 | 0.1 | chances | 2 | 0.05 |
| needs | 2 | 0.02 | utilize | 14 | 0.1 | positive | 2 | 0.05 |
| - | - | - | vanish | 9 | 0.06 | asked | 2 | 0.05 |
| - | - | - | progress | 9 | 0.06 | establish | 2 | 0.05 |
| - | - | - | started | 8 | 0.05 | plan | 2 | 0.05 |
© 2019 by the authors. Licensee MDPI, Basel, Switzerland. This article is an open access article distributed under the terms and conditions of the Creative Commons Attribution (CC BY) license (http://creativecommons.org/licenses/by/4.0/).
Share and Cite
Abbas, G.; Liu, Z.; Wasti, S.H.; Munir, U.; Abbas, M. CPEC’s Utility and Concerns under OBOR Initiative: A Pakistani Industrial Perspective. Economies 2019, 7, 90. https://doi.org/10.3390/economies7030090
Abbas G, Liu Z, Wasti SH, Munir U, Abbas M. CPEC’s Utility and Concerns under OBOR Initiative: A Pakistani Industrial Perspective. Economies. 2019; 7(3):90. https://doi.org/10.3390/economies7030090
Chicago/Turabian StyleAbbas, Ghulam, Zhiming Liu, Shahbaz Hassan Wasti, Uzma Munir, and Muhammad Abbas. 2019. "CPEC’s Utility and Concerns under OBOR Initiative: A Pakistani Industrial Perspective" Economies 7, no. 3: 90. https://doi.org/10.3390/economies7030090
APA StyleAbbas, G., Liu, Z., Wasti, S. H., Munir, U., & Abbas, M. (2019). CPEC’s Utility and Concerns under OBOR Initiative: A Pakistani Industrial Perspective. Economies, 7(3), 90. https://doi.org/10.3390/economies7030090

