A Robust Multifunctional Sandwich Panel Design with Trabecular Structures by the Use of Additive Manufacturing Technology for a New De-Icing System
Abstract
:1. Introduction
2. Material and Methods
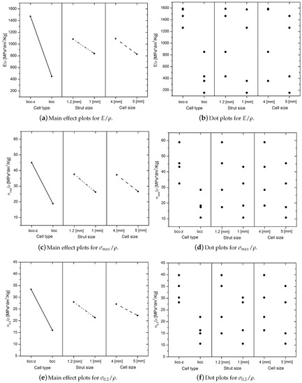
3. Results
4. Discussion
5. Conclusions and Further Improvements
Author Contributions
Conflicts of Interest
References
- Bureau d’Enquêtes et d’Analyses pour la sécurité de l’aviation civile (BEA). Final Report on the Accident on 1 June 2009 to the Airbus A330-203 Registered F-GZCP Operated by Air France Flight AF 447 Rio de Janeiro-Paris. BEA 2012, 10. Available online: https://www.bea.aero/en/investigation-reports/notified-events/detail/event/accident-of-an-airbus-a330-203-registered-f-gzcp-and-operated-by-air-france- crashed-into-the-atlanti/ (accessed on 14 June 2017).
- Transportation Safety Board of Canada (TSBC). Final Report on the Transportation Safety Board of Canada’s Investigation into the Accident Involving an Air Canada Flight 646 Regional Jet at Fredericton, New Brunswick, on the Night of 16 December 1997. TSBC 1999, 10. Available online: http://www.tsb.gc.ca/ENG/medias-media/communiques/aviation/1999/comm_ a97h0011.asp (accessed on 14 June 2017).
- Federal Aviation Administration (FAA). Aircraft Icing Handbook; FAA Technical Center: Atlantic City, NJ, USA, 1991.
- Politovich, M.K. Aviation Meteorology: Aircraft Icing. In Encyclopedia of Atmospheric Sciences; National Center for Atmospheric Research, Boulder: Boulder, CO, USA, 2015; pp. 160–165. [Google Scholar]
- Cao, Y.; Wu, Z.; Su, Y.; Xu, Z. Aircraft flight characteristics in icing conditions. Progress Aerosp. Sci. 2015, 74, 62–80. [Google Scholar] [CrossRef]
- Li, X.; Bai, J.; Hua, J.; Wang, K.; Zhang, Y. A spongy icing model for aircraft icing. Chin. J. Aeronaut. 2014, 27, 40–51. [Google Scholar] [CrossRef]
- Srensen, K.L.; Blanke, M.; Johansen, T.A. Diagnosis of Wing Icing Through Lift and Drag Coefficient Change Detection for Small Unmanned Aircraft. IFAC-PapersOnLine 2015, 48, 541–546. [Google Scholar]
- Parent, O.; Ilinca, A. Anti-icing and de-icing techniques for wind turbines: Critical review. Cold Reg. Sci. Technol. 2011, 65, 88–96. [Google Scholar] [CrossRef]
- National Transport and Safety Authority (NTSA). National Transportation Safety Board (NTSB) Aircraft Accident Report, Monday 31 October 1994. Transportation Safety Board of Canada (TSBC) 1996, 10. Available online: https://www.ntsb.gov/investigations/AccidentReports/Pages/AAR9601.aspx (accessed on 14 June 2017).
- Federal Aviation Administration (FAA). MIL-A-9482 Anti-Icing Equipment for Aircraft, Heated Surface Type, General Specification; FAA Technical Center: Atlantic City, NJ, USA, 1981.
- Goodman, J. Means for Preventing Ice Formation on Aircraft Wings. U.S. Patent 2,328,079, 31 August 1943. [Google Scholar]
- Garrison, M.E. Airplane Wing Deicing Means. U.S. Patent 2,390,093, 4 December 1945. [Google Scholar]
- Schmidt, H.F. Airplane Anti-Icing System. U.S. Patent 2,447,095, 17 August 1948. [Google Scholar]
- Ayers, M.; Barrick, R.E. Airplane Wing Leading Edge Costruction. U.S. Patent 2,470,128, 17 May 1949. [Google Scholar]
- Dodson, P.A.; Smith, L.H. Deicing Wing Costruction. U.S. Patent 2,478,878, 9 August 1949. [Google Scholar]
- Giovanni, F.C.; Varetti, S.; Vitti, F.; Maggiore, P. An Aircraft Equipped with Astructurally Integrated De-Icing System. IT102016000098196. 2016. [Google Scholar]
- Ford, S.; Despeisse, M. Additive manufacturing and sustainability: An exploratory study of the advantages and challenges. J. Clean. Prod. 2016, 137, 1573–1587. [Google Scholar] [CrossRef]
- Moylan, S.; Whitenton, E.; Lane, B.; Slotwinski, J. Infrared Thermography for Laser-Based Powder Bed Fusion Additive Manufacturing Processes. In Proceedings of the 40th Annual Review of Progress in Quantitative Nondestructive Evaluation, Baltimore, MD, USA, 21–26 July 2013; pp. 1191–1196. [Google Scholar]
- Kempen, K.; Thijs, J.; Van Humbeeck, J.; Kruth, J.-P. Mechanical properties of AlSi10Mg produced by Selective Laser Melting. Phys. Proced. 2012, 39, 439–446. [Google Scholar] [CrossRef]
- Wong, K.V.; Hernandez, A. A Review of Additive Manufacturing. ISRN Mech. Eng. 2012, 2012, 208760. [Google Scholar] [CrossRef]
- Yan, C.; Hao, L.; Hussein, A.; Young, P.; Huang, J.; Zhu, W. Microstructure and mechanical properties of aluminium alloy cellular lattice structures manufactured by direct metal laser sintering. Mater. Sci. Eng. A 2015, 628, 238–246. [Google Scholar] [CrossRef]
- Yan, C.; Hao, L.; Hussein, A.; Bubb, S.L.; Young, P.; Raymont, D. Evaluation of light weight AlSi10Mg periodic cellular lattice structures fabricated via direct metal laser sintering. J. Mater. Process. Technol. 2014, 214, 856–864. [Google Scholar] [CrossRef]
- Cansizoglu, O.; Harrysson, O.; Cormier, D.; West, H.; Mahale, T. Properties of Ti6Al4V non stochastic lattice structures fabricated via electron beam melting. Mater. Sci. Eng. A 2008, 492, 468–474. [Google Scholar] [CrossRef]
- Murr, L.E.; Gaytan, S.M.; Medina, F.; Martinez, E.; Martinez, J.L.; Hernandez, D.H.; Machado, B.I.; Ramirez, D.A.; Wicker, R.B. Characterization of Ti6Al4V open cellular foams fabricated by additive manufacturing using electron beam melting. Mater. Sci. Eng. A 2010, 527, 1861–1868. [Google Scholar] [CrossRef]
- Zhao, S.; Li, S.J.; Hou, W.T.; Hao, Y.L.; Yang, R.; Misra, R.D.K. The influence of cell morphology on the compressive fatigue behavior of Ti6Al4V meshes fabricated by electron beam melting. J. Mech. Behav. Biomed. Mater. 2016, 59, 251–264. [Google Scholar] [CrossRef] [PubMed]
- Li, S.J.; Murr, L.E.; Cheng, X.Y.; Zhang, Z.B.; Hao, Y.L.; Yang, R.; Medina, F.; Wicker, R.B. Compression fatigue behavior of Ti–6Al–4V mesh arrays fabricated by electron beam melting. Acta Mater. 2012, 60, 793–802. [Google Scholar] [CrossRef]
- Gorny, B.; Niendorf, T.; Lackmann, J.; Thoene, M.; Troester, T.; Maier, H.J. In situ characterization of the deformation and failure behavior of non-stochastic porous structures processed by selective laser melting. Mater. Sci. Eng. A 2011, 528, 7962–7967. [Google Scholar] [CrossRef]
- Lhuissier, P.; Formanoir, C.; Martin, G.; Dendievel, R.; Godet, S. Geometrical control of lattice structures produced by EBM through chemical etching: Investigations at the scale of individual struts. Mater. Des. 2016, 110, 485–493. [Google Scholar] [CrossRef]
- Brenne, F.; Niendorf, T.; Maier, H.J. Additively manufactured cellular structures: Impact of microstructure and local strains on the monotonic and cyclic behavior under uniaxial and bending load. J. Mater. Process. Technol. 2013, 213, 1558–1564. [Google Scholar] [CrossRef]
- Suard, M.; Martin, G.; Lhuissier, P.; Dendievel, R.; Vignat, F.; Blandin, J.-J.; Villeneuve, F. Mechanical equivalent diameter of single struts for the stiffness prediction of lattice structures produced by Electron Beam Melting. Addit. Manuf. 2015, 8, 124–131. [Google Scholar] [CrossRef]
- Smith, M.; Guan, Z.; Cantwell, W.J. Finite element modelling of the compressive response of lattice structures manufactured using the selective laser melting technique. Int. J. Mech. Sci. 2013, 67, 28–41. [Google Scholar] [CrossRef]
- Yan, C.; Hao, L.; Hussein, A.; Young, P.; Raymont, D. Advanced lightweight 316L stainless steel cellular lattice structures fabricated via selective laser melting. Mater. Des. J. 2014, 55, 533–541. [Google Scholar] [CrossRef]
- Yan, C.; Hao, L.; Hussein, A.; Raymont, D. Evaluations of cellular lattice structures manufactured using selective laser melting. Int. J. Mach. Tools Manuf. 2012, 62, 32–38. [Google Scholar] [CrossRef]
- Alsalla, H.; Hao, L.; Smith, C. Fracture toughness and tensile strength of 316 L stainless steel cellular lattice structures manufactured using the selective laser melting technique. Mater. Sci. Eng. A 2016, 669, 1–6. [Google Scholar] [CrossRef]
- Gumruk, R.; Mines, R.A.W. Compressive behaviour of stainless steel micro-lattice structures. Int. J. Mech. Sci. 2013, 68, 125–139. [Google Scholar] [CrossRef]
- Gümrük, R.; Mines, R.A.W.; Karadeniz, S. Static mechanical behaviours of stainless steel micro-lattice structures under different loading conditions. Mater. Sci. Eng. A 2013, 586, 392–406. [Google Scholar] [CrossRef]
- McKown, S.; Shen, Y.; Brookes, W.K.; Sutcliffe, C.J.; Cantwell, W.J.; Langdon, G.S.; Nurick, G.N.; Theobald, M.D. The quasi-static and blast loading response of lattice structures. Int. J. Impact Eng. 2008, 35, 795–810. [Google Scholar] [CrossRef]
- Maskery, I.; Aboulkhair, N.T.; Aremu, A.O.; Tuck, C.J.; Ashcroft, I.A.; Wildman, R.D.; Hague, R.J.M. A mechanical property evaluation of graded density Al-Si10-Mg lattice structures manufactured by selective laser melting. Mater. Sci. Eng. A 2016, 670, 264–274. [Google Scholar] [CrossRef]
- Qiu, C.; Yue, S.; Adkins, N.J.E.; Ward, M.; Hassanin, H.; Lee, P.D.; Withers, P.J.; Attallah, M.M. Influence of processing conditions on strut structure and compressive properties of cellular lattice structures fabricated by selective laser melting. Mater. Sci. Eng. A 2015, 628, 188–197. [Google Scholar] [CrossRef]
- Leary, M.; Mazur, M.; Elambasseril, J.; McMillan, M.; Chirent, T.; Sun, Y.; Qian, M.; Easton, M.; Brandt, M. Selective laser melting (SLM) of AlSi12Mg lattice structures. Mater. Des. 2016, 98, 344–357. [Google Scholar] [CrossRef]
- Vacca, A.P. 180 Main Wing Anti-Ice System: Analysis and Improvements. Master’s Thesis, University of Genoa, Genova, Italy, 2013. [Google Scholar]





| Samples Name | Cell Size (mm) | Strut Size (mm) | Cell Type |
|---|---|---|---|
| 4-1-bcc-z | 4 | 1 | bcc-z * |
| 4-1.2-bcc-z | 4 | 1.2 | bcc-z * |
| 5-1-bcc-z | 5 | 1 | bcc-z * |
| 5-1.2-bcc-z | 5 | 1.2 | bcc-z * |
| 4-1-bcc | 4 | 1 | bcc ** |
| 4-1.2-bcc | 4 | 1.2 | bcc ** |
| 5-1-bcc | 5 | 1 | bcc ** |
| 5-1.2-bcc | 5 | 1.2 | bcc ** |
| Samples | E (MPa) | (MPa) | (MPa) | |||
|---|---|---|---|---|---|---|
| 4-1-bcc-z | 1054 | 29 | 20 | 1576 | 43 | 30 |
| 4-1.2-bcc-z | 1465 | 54 | 37 | 1587 | 59 | 40 |
| 5-1-bcc-z | 565 | 15 | 13 | 1263 | 33 | 28 |
| 5-1.2-bcc-z | 933 | 29 | 22 | 1463 | 45 | 35 |
| 4-1-bcc | 216 | 11 | 10 | 357 | 18 | 16 |
| 4-1.2-bcc | 717 | 24 | 18 | 852 | 29 | 22 |
| 5-1-bcc | 63 | 4 | 4 | 154 | 11 | 11 |
| 5-1.2-bcc | 253 | 10 | 9 | 434 | 17 | 15 |
© 2017 by the authors. Licensee MDPI, Basel, Switzerland. This article is an open access article distributed under the terms and conditions of the Creative Commons Attribution (CC BY) license (http://creativecommons.org/licenses/by/4.0/).
Share and Cite
Ferro, C.G.; Varetti, S.; Vitti, F.; Maggiore, P.; Lombardi, M.; Biamino, S.; Manfredi, D.; Calignano, F. A Robust Multifunctional Sandwich Panel Design with Trabecular Structures by the Use of Additive Manufacturing Technology for a New De-Icing System. Technologies 2017, 5, 35. https://doi.org/10.3390/technologies5020035
Ferro CG, Varetti S, Vitti F, Maggiore P, Lombardi M, Biamino S, Manfredi D, Calignano F. A Robust Multifunctional Sandwich Panel Design with Trabecular Structures by the Use of Additive Manufacturing Technology for a New De-Icing System. Technologies. 2017; 5(2):35. https://doi.org/10.3390/technologies5020035
Chicago/Turabian StyleFerro, Carlo Giovanni, Sara Varetti, Fabio Vitti, Paolo Maggiore, Mariangela Lombardi, Sara Biamino, Diego Manfredi, and Flaviana Calignano. 2017. "A Robust Multifunctional Sandwich Panel Design with Trabecular Structures by the Use of Additive Manufacturing Technology for a New De-Icing System" Technologies 5, no. 2: 35. https://doi.org/10.3390/technologies5020035
APA StyleFerro, C. G., Varetti, S., Vitti, F., Maggiore, P., Lombardi, M., Biamino, S., Manfredi, D., & Calignano, F. (2017). A Robust Multifunctional Sandwich Panel Design with Trabecular Structures by the Use of Additive Manufacturing Technology for a New De-Icing System. Technologies, 5(2), 35. https://doi.org/10.3390/technologies5020035

