Biodiesel Isomerization Using Sulfated Tin(IV) Oxide as a Superacid Catalyst to Improve Cold Flow Properties
Abstract
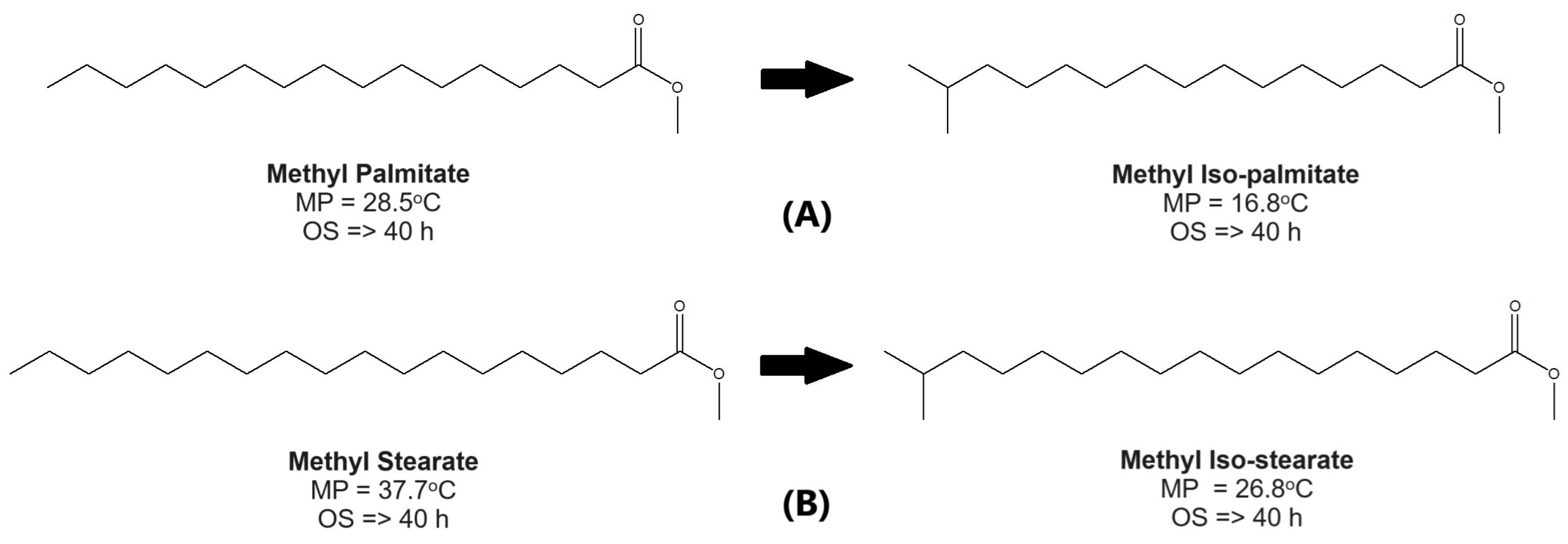
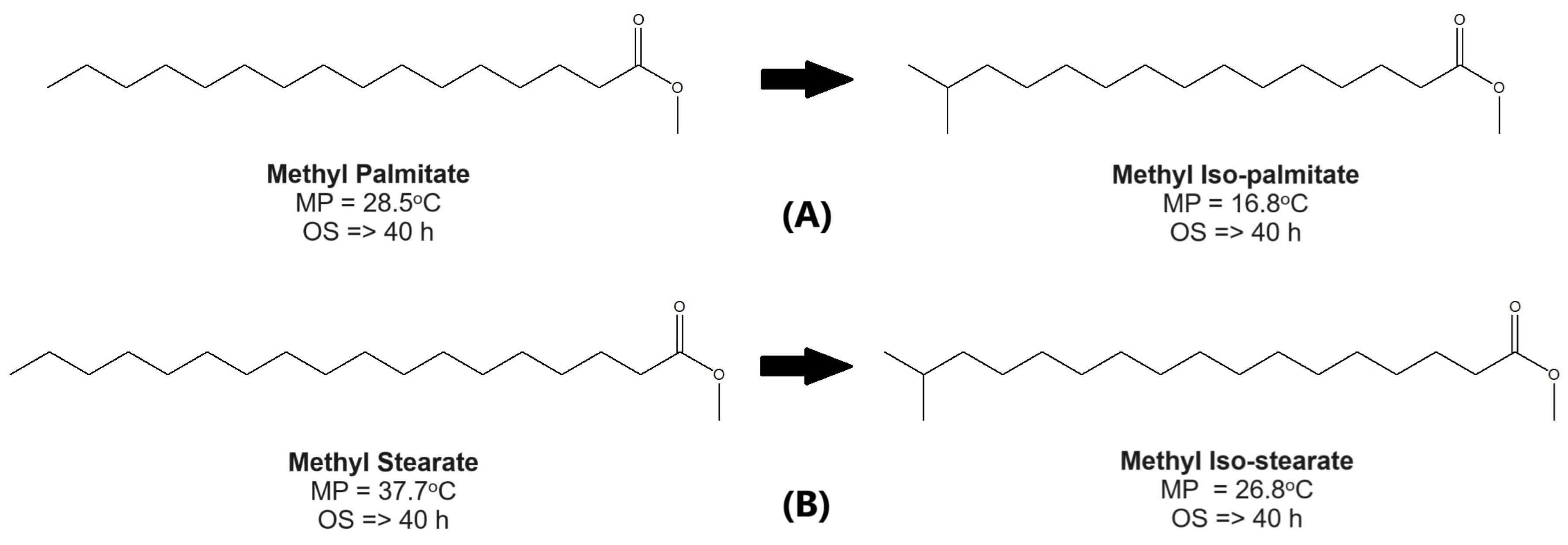
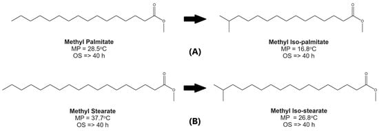
1. Introduction
| Basis of Catalyst Compound | Catalyst | Feed | Product | Catalyst Loading (wt%) | Temp. (°C) | Pressure (bar) | Time (h) | Yield (wt%) | Ref. |
|---|---|---|---|---|---|---|---|---|---|
| Zeolite | Ferrierite | Oleic and linoleic acid | Iso-stearic acid | 5.0 | 260 | 9.3 | 8 | 77.3 | [36] |
| Ferrierite | Oleic and linoleic acid | Iso-stearic acid | 5.0 | 260 | 9.3 | 24 | 83.1 | [37] | |
| Ferrierite | Oleic and linoleic acid | Iso-stearic acid | 5.0 | 260 | 5.5 | 4 | 85.7 | [38] | |
| Mordenite | Oleic and linoleic acid | Iso-stearic acid | 5.0 | 250 | ~13.8 | 6 | 70.2 | [39] | |
| β-zeolite | Oleic and linoleic acid | Iso-stearic acid | 5.0 | 260 | 9.3 | 24 | 70.5 | [37] | |
| Pt/β-zeolite | Methyl palmitate | Methyl Iso-palmitate | 0.5 | 285 | 40 | 16 | ±16.0 | [40] | |
| ZSM-5 | Oleic and linoleic acid | Iso-stearic acid | 5.0 | 260 | 9.3 | 24 | 81.8 | [37] | |
| Clay | Clay | Oleic acid | Iso-stearic acid | 4.3 | 250 | ~1.4 | 2.5 | 30.8 | [41] |
| Montmorillonite | Oleic acid | Iso-stearic acid | 5.0 | 250 | 5.0 | 4 | 46.0 | [42] | |
| Bentonite | Methyl oleate | Methyl iso-stearate | 5.0 | 250 | ~13.8 | 24 | 29.6 | [43] | |
| Alumina (Al2O3) | Pt/γ-Al2O3 | n-hexane | 2-methyl pentane 3-methyl pentane | n.a. | 180 | 20 | 2 | 89.7 | [44] |
| Pt/γ-Al2O3 | n-heptane | 2,2-dimethyl pentane 2,3-dimethyl pentane 3-ethyl pentane | n.a. | 180 | 20 | 2 | 58.2 | [44] | |
| Pt/γ-Al2O3 | n-octane | 2,3-dimethyl hexane 3,3-dimethyl hexane 3-ethyl hexane 3-methyl heptane | n.a. | 180 | 20 | 2 | 41.5 | [44] | |
| Pt/Cl/γ-Al2O3 | n-hexane | 2-methyl pentane 3-methyl pentane 2,3-dimethyl butane 2,2-dimethyl butane | WHSV = 1.8 h−1 | 160 | 30 | 0.56 | 66.2 | [45] | |
| Pd/SiO2-Al2O3 | n-hexadecane | iso-hexadecane | WHSV = 3 h−1 | 310 | 30 | 0.33 | 49.7 | [46] |
| Basis of Catalyst Compound | Catalyst | Feed | Product | Catalyst Loading (wt%) | Temp. (°C) | Pressure (bar) | Time (h) | Yield (wt%) | Ref. |
|---|---|---|---|---|---|---|---|---|---|
| Zirconium oxide (ZrO2) | SO4/ZrO2 | Methyl oleate | Methyl iso-stearate | 20 | 250 | 4.4 | 8 | 36 | [47] |
| Pt/SO4/ZrO2 | n-heptane | 3-methyl hexane 2,2-dimethyl pentane 2,3-dimethyl pentane | WHSV = 0.15 h−1 | 250 | 1.01 | 6.7 | 24.7 | [34] | |
| Pt/SO4/ZrO2 | n-hexadecane | iso-hexadecane | WHSV = 18.4 h−1 | 225 | 20.3 | 6 | 0.2 | [48] | |
| Pt/SO4/ZrO2 | n-hexadecane | iso-hexadecane | 16.7 | 160 | 25.8 | 1 | 8.9 | [49] | |
| Pt/WO3/ZrO2 | n-hexadecane | iso-hexadecane | WHSV = 18.4 h−1 | 225 | 20.3 | 6 | 4.1 | [48] | |
| Pd/WO3/ZrO2 | n-hexadecane | iso-hexadecane | WHSV = 1 h−1 | 300 | 21.7 | 6 | 17.5 | [50] | |
| Ni/WO3/ZrO2 | n-hexadecane | iso-hexadecane | WHSV = 1 h−1 | 300 | 21.7 | 6 | 31.7 | [50] | |
| Tin oxide (SnO2) | SO4/SnO2 | n-butane | iso-butane | 0.05 g | 110 | 1.01 | 0.02 | 39.2–44.8 | [51] |
| SO4/SnO2 | n-pentane | 2-methyl butane | 0.8 g | 110 | 0.07 | 3 | 8.0 | [52] | |
| WO3/SnO2 | cycloheptane | Methyl cyclohexane | WHSV = 5.2 h−1 | 140 | 1.01 | 0.19 | 7.6 | [51] | |
| Titanium oxide (TiO2) | SO4/TiO2 | n-hexane | 2-methyl pentane 3-methyl pentane | WHSV = 0.5 h−1 | 350 | 1.01 | 1.5 | 0.74 | [53] |
| SO4/TiO2 | n-hexane | 2-methyl pentane 3-methyl pentane | 5.7 × 103 g.min/mol | 100 | n.a. | 0.83 | 19 | [54] | |
| Pt/SO4/TiO2 | n-hexane | 2-methyl pentane 3-methyl pentane | WHSV = 0.5 h−1 | 350 | 1.01 | 2 | 15.3 | [53] | |
| Aluminum oxide (Al2O3) | SO4/Al2O3 | n-pentane | iso-pentane | 0.8 g | 50 | 0.07 | 3 | 3.7 | [55] |
| Hafnium oxide (HfO2) | Pt/SO4/HfO2 | n-hexadecane | iso-hexadecane | WHSV = 2 h−1 | 210 | 21.6 | 0.5 | 6.5 | [56] |
| Pt/WO3/HfO2 | n-hexadecane | iso-hexadecane | WHSV = 0.5 h−1 | 300 | 21.6 | 2 | 65.1 | [56] |
2. Materials and Methods
2.1. Materials
2.2. Methods
2.2.1. Catalyst Synthesis
2.2.2. Catalyst Characterization
2.2.3. Isomerization Reaction
3. Results and Discussion
3.1. Catalyst Characterization
3.1.1. Thermal Decomposition Characterization
3.1.2. X-Ray Diffraction (XRD)
3.1.3. Infra-Red Spectra
3.1.4. X-Ray Fluorescence (XRF)
3.1.5. Brunauer–Emmett–Teller (BET)
3.1.6. Scanning Electron Microscopy-Energy Dispersive X-Ray Spectroscopy (SEM-EDS)
3.1.7. Acidity Measurement
3.2. Catalyst Performance Test
3.2.1. Cold Flow Properties (CFPs) Investigation
3.2.2. Composition Analysis
3.2.3. Turnover Frequency (TOF) Quantification
3.2.4. Oxidation Stability Measurement
3.3. Theoretical Catalyst Role in the Reaction Mechanism
4. Conclusions
Author Contributions
Funding
Institutional Review Board Statement
Informed Consent Statement
Data Availability Statement
Acknowledgments
Conflicts of Interest
Abbreviations
| ASTM | American Society for Testing and Materials |
| BET | Brunauer-Emmett-Teller |
| CFP | Cold flow properties |
| CFPP | Cold filter plugging point |
| CP | Cloud point |
| EU | European Union |
| FAAE | Fatty acid alkyl ester |
| FAO | Food and Agriculture Organization |
| Fe-STO | Iron-modified sulfated tin oxide |
| FTIR | Fourier Transform Infra-Red |
| OECD | Organisation for Economic Co-operation and Development |
| PP | Pour point |
| SEM-EDS | Scanning Electron Microscopy-Energy Dispersive X-ray Spectroscopy |
| SFE | Saturated fatty ester |
| STO | Sulfated tin oxide |
| TGA-DTA | Thermogravimetric Analysis-Differential Thermal Analyzer |
| TO | Tin oxide |
| TPD | Temperature Programmed Desorption |
| UFE | Unsaturated fatty ester |
| US | United States |
| WHSV | Weight hourly space velocity |
| XRD | X-ray Diffraction |
| XRF | X-ray Fluorescence |
References
- Leng, L.; Li, W.; Li, H.; Jiang, S.; Zhou, W. Cold Flow Properties of Biodiesel and the Improvement Methods: A Review. Energy Fuels 2020, 34, 10364–10383. [Google Scholar] [CrossRef]
- United Stated Energy Information Administration. International Energy Outlook 2023 with Projections to 2050; United States Department of Energy: Washington, DC, USA, 2023.
- Maghrebi, R.; Buffi, M.; Bondioli, P.; Chiaramonti, D. Isomerization of long-chain fatty acids and long-chain hydrocarbons: A review. Renew. Sustain. Energy Rev. 2021, 149, 111264. [Google Scholar] [CrossRef]
- Pradana, Y.S.; Kusumastuti, Y.; Putri, N.R.E.; Widiyannita, A.M.; Prabasiwi, D.S.; Fadhila, A.N.F.; Suyono, E.A. Enhancing the microalgae Nannochloropsis sp. harvesting by chitosan-based flocculation-sedimentation for biofuel production. AIP Conf. Proc. 2024, 2836, 070004. [Google Scholar] [CrossRef]
- Pradana, Y.S.; Sadewo, B.R.; Haryanto, S.A.; Sudibyo, H. Selection of oil extraction process from Chlorella species of microalgae by using multi-criteria decision analysis technique for biodiesel production. Open Chem. 2021, 19, 1029–1042. [Google Scholar] [CrossRef]
- Venkatesh, R.; Sharma, A.; Nagarajan, N.; Karthik, K.; Verma, A.; Soudagar, M.E.M.; Vinayagam, M.; Al Obaid, S.; Alharbi, S.A. Cerium oxide activated microalgae growth from grey wastewater for bio-hydrogen extraction via KOH catalyst adopted gasification route: Performance evaluation. Biomass Convers. Biorefin. 2025. [Google Scholar] [CrossRef]
- Al-Jaberi, S.H.H.; Rashid, U.; Al-Doghachi, F.A.J.; Abdulkareem-Alsultan, G.; Taufiq-Yap, Y.H. Synthesis of MnO-NiO-SO4−2/ZrO2 solid acid catalyst for methyl ester production from palm fatty acid distillate. Energy Convers. Manag. 2017, 139, 166–174. [Google Scholar] [CrossRef]
- Pradana, Y.S.; Dewi, R.N.; Di Livia, K.; Arisa, F.; Rochmadi; Cahyono, R.B.; Budiman, A. Advancing biodiesel production from microalgae Spirulina sp. By a simultaneous extraction-transesterification process using palm oil as a co-solvent of methanol. Open Chem. 2020, 18, 833–842. [Google Scholar] [CrossRef]
- Syafiuddin, A.; Chong, J.H.; Yuniarto, A.; Hadibarata, T. The current scenario and challenges of biodiesel production in Asian countries: A review. Bioresour. Technol. Rep. 2020, 12, 100608. [Google Scholar] [CrossRef]
- Pydimalla, M.; Husaini, S.; Kadire, A.; Kumar Verma, R. Sustainable biodiesel: A comprehensive review on feedstock, production methods, applications, challenges and opportunities. Mater. Today Proc. 2023, 92, 458–464. [Google Scholar] [CrossRef]
- Venu, H.; Soudagar, M.E.M.; Kiong, T.S.; Razali, N.M.; Wei, H.R.; Khan, T.M.Y.; Almakayeel, N.; Kalam, M.A.; Cuce, E. Performance and emission prediction using ANN (artificial neural network) on H2-assisted Garcinia gummi-gutta biofuel doped with nano additives. Sci. Rep. 2025, 15, 5911. [Google Scholar] [CrossRef]
- Pradana, Y.S.; Masruri, W.; Azmi, F.A.; Suyono, E.A.; Sudibyo, H.; Rochmadi, R. Extractive-transesterification of Microalgae Arthrospira sp. Using Methanol-Hexane Mixture as solvent. Int. J. Renew. Energy Res. 2018, 8, 1499–1507. [Google Scholar]
- Prakoso, T.; Tanaka, A.; Hirotsu, T.; Udomsap, P.; Chollacoop, N.; Goto, S.; Indarto, A. Oxidation stability of biodiesel fuel produced from Jatropha Curcas L using Rancimat and PetroOXY method. Energy Sources Part A Recovery Util. Environ. Eff. 2019, 41, 501–506. [Google Scholar] [CrossRef]
- Organisation for Economic Co-Operation and Development (OECD); Food and Agriculture Organization (FAO); OECD Agriculture Statistics (Database). OECD-FAO Agricultural Outlook 2023–2032. 2024. Available online: https://data-explorer.oecd.org/ (accessed on 26 July 2024).
- Organisation for Economic Co-Operation and Development (OECD); Food and Agriculture Organization (FAO). OECD-FAO Agricultural Outlook 2023–2032; OECD Publishing: Paris, France, 2023. [Google Scholar] [CrossRef]
- Isah, A.G.; Faruk, A.A.; Musa, U.; Garba, U.M.; Alhassan, M.; Abdullahi, U.B.; Damian, A.T. Oxidation stability and cold flow properties of biodiesel synthesized from castor oil: Influence of alkaline catalysts type and purification techniques. Mater. Today Proc. 2022, 57, 748–752. [Google Scholar] [CrossRef]
- Liu, W.; Lu, G.; Yang, G.; Bi, Y. Improving oxidative stability of biodiesel by cis-trans isomerization of carbon-carbon double bonds in unsaturated fatty acid methyl esters. Fuel 2019, 242, 133–139. [Google Scholar] [CrossRef]
- Dwivedi, G.; Sharma, M.P. Impact of cold flow properties of biodiesel on engine performance. Renew. Sustain. Energy Rev. 2014, 31, 650–656. [Google Scholar] [CrossRef]
- Riyadi, T.W.B.; Spraggon, M.; Herawan, S.G.; Idris, M.; Paristiawan, P.A.; Putra, N.R.; Faizullizam R, M.; Silambarasan, R.; Veza, I. Biodiesel for HCCI engine: Prospects and challenges of sustainability biodiesel for energy transition. Results Eng. 2023, 17, 100916. [Google Scholar] [CrossRef]
- Sia, C.B.; Kansedo, J.; Tan, Y.H.; Lee, K.T. Evaluation on biodiesel cold flow properties, oxidative stability and enhancement strategies: A review. Biocatal. Agric. Biotechnol. 2020, 24, 101514. [Google Scholar] [CrossRef]
- Sierra-Cantor, J.F.; Guerrero-Fajardo, C.A. Methods for improving the cold flow properties of biodiesel with high saturated fatty acids content: A review. Renew. Sustain. Energy Rev. 2017, 72, 774–790. [Google Scholar] [CrossRef]
- Rasimoglu, N.; Temur, H. Cold flow properties of biodiesel obtained from corn oil. Energy 2014, 68, 57–60. [Google Scholar] [CrossRef]
- Amran, N.A.; Bello, U.; Hazwan Ruslan, M.S. The role of antioxidants in improving biodiesel’s oxidative stability, poor cold flow properties, and the effects of the duo on engine performance: A review. Heliyon 2022, 8, e09846. [Google Scholar] [CrossRef]
- Lugito, G.; Pamungkas, A.Y.; Realdi, M.N.D.; Alam, A.K.; Egiyawati, C.; Pradana, Y.S.; Adhi, T.P.; Soerawidjaja, T.H.; Makertihartha, I.G.B.N.; Mohtar, W.H.M.W.; et al. Biodiesel Stability Enhancement Through Catalytic Transfer Hydrogenation Using Glycerol as Hydrogen Donor. Eng 2025, 6, 94. [Google Scholar] [CrossRef]
- Anwar, A.; Garforth, A. Challenges and opportunities of enhancing cold flow properties of biodiesel via heterogeneous catalysis. Fuel 2016, 173, 189–208. [Google Scholar] [CrossRef]
- Knothe, G.; Dunn, R.O. A Comprehensive Evaluation of the Melting Points of Fatty Acids and Esters Determined by Differential Scanning Calorimetry. JAOCS J. Am. Oil Chem. Soc. 2009, 86, 843–856. [Google Scholar] [CrossRef]
- Moser, B.R. Comparative oxidative stability of fatty acid alkyl esters by accelerated methods. JAOCS J. Am. Oil Chem. Soc. 2009, 86, 699–706. [Google Scholar] [CrossRef]
- Knothe, G.; Matheaus, A.C.; Ryan, T.W. Cetane numbers of branched and straight-chain fatty esters determined in an ignition quality tester q. Fuel 2003, 82, 971–975. [Google Scholar] [CrossRef]
- Varala, R.; Narayana, V.; Kulakarni, S.R.; Khan, M.; Alwarthan, A.; Adil, S.F. Sulfated tin oxide (STO)—Structural properties and application in catalysis: A review. Arab. J. Chem. 2016, 9, 550–573. [Google Scholar] [CrossRef]
- Sierra-Cantor, J.F.; Gimello, O.; Guerrero-Fajardo, C.A.; Di Renzo, F.; Petitjean, H.; Riviere, M.; Gérardin, C.; Tanchoux, N. Synthesis of alkyl-branched fatty acids by isomerization on micro-mesoporous ferrierite-based zeolitic materials. Appl. Catal. B 2024, 344, 123602. [Google Scholar] [CrossRef]
- Misra, P.; Alvarez-Majmutov, A.; Chen, J. Isomerization catalysts and technologies for biorefining: Opportunities for producing sustainable aviation fuels. Fuel 2023, 351, 128994. [Google Scholar] [CrossRef]
- Arata, K. Solid Superacids. Adv. Catal. 1990, 37, 165–211. [Google Scholar] [CrossRef]
- Arata, K.; Matsuhashi, H.; Hino, M.; Nakamura, H. Synthesis of solid superacids and their activities for reactions of alkanes. Catal. Today 2003, 81, 17–30. [Google Scholar] [CrossRef]
- Oloye, F.F.; Aliyev, R.; Anderson, J.A. Hydroisomerisation of n-heptane over Pt/sulfated zirconia catalyst at atmospheric pressure. Fuel 2018, 222, 569–573. [Google Scholar] [CrossRef]
- Žula, M.; Grilc, M.; Likozar, B. Hydrocracking, hydrogenation and hydro-deoxygenation of fatty acids, esters and glycerides: Mechanisms, kinetics and transport phenomena. Chem. Eng. J. 2022, 444, 136564. [Google Scholar] [CrossRef]
- Sarker, M.I.; Moreau, R.A.; Ngo, H. Comparison of Various Phosphine Additives in Zeolite Based Catalytic Isomerization of Oleic Acid. Eur. J. Lipid Sci. Technol. 2018, 120, 1800070. [Google Scholar] [CrossRef]
- Sarker, M.I.; Latona, R.J.; Moreau, R.A.; Micheroni, D.; Jones, K.C.; Ngo, H. Convenient and Environmentally Friendly Production of Isostearic Acid with Protonic Forms of Ammonium Cationic Zeolites. Eur. J. Lipid Sci. Technol. 2017, 119, 1700262. [Google Scholar] [CrossRef]
- Ngo, H.L. Lewis base additives improve the zeolite Ferrierite-catalyzed synthesis of isostearic acids synthesis of isostearic acids. JAOCS J. Am. Oil Chem. Soc. 2015, 92, 613–619. [Google Scholar] [CrossRef]
- Ngo, H.L.; Hoh, E.; Foglia, T.A. Improved synthesis and characterization of saturated branched-chain fatty acid isomers. Eur. J. Lipid Sci. Technol. 2012, 114, 213–221. [Google Scholar] [CrossRef]
- Reaume, S.J.; Ellis, N. Use of hydroisomerization to reduce the cloud point of saturated fatty acids and methyl esters used in biodiesel production. Biomass Bioenergy 2013, 49, 188–196. [Google Scholar] [CrossRef]
- Ngo, H.L.; Nunez, A.; Lin, W.; Foglia, T.A. Zeolite-catalyzed isomerization of oleic acid to branched-chain isomers. Eur. J. Lipid Sci. Technol. 2007, 109, 214–224. [Google Scholar] [CrossRef]
- Hodgson, W.R.; Lok, C.M.; Roberts, G.; Koetsier, W.T. Fatty Acid Isomerisation. Patent EP0774451B2, 11 September 2002. [Google Scholar]
- Foglia, T.A.; Perlstein, T.; Nakano, Y.; Maerker, G. Process for The Preparation of Branched Chain Fatty Acids and Esters. Patent US4371469A, 1 February 1983. [Google Scholar]
- Dhar, A.; Vekariya, R.L.; Sharma, P. Kinetics and mechanistic study of n-alkane hydroisomerization reaction on Pt-doped γ-alumina catalyst. Petroleum 2017, 3, 489–495. [Google Scholar] [CrossRef]
- Jahangiri, M.; Salehirad, F.; Alijani, S. Preparation of Pt/Al2O3-Cl Catalyst and Investigation of Operating Variables Effects on Isomerization Reaction. J. Chem. Pet. Eng. 2018, 52, 13–21. [Google Scholar] [CrossRef]
- Regali, F.; Liotta, L.F.; Venezia, A.M.; Montes, V.; Boutonnet, M.; Järås, S. Effect of metal loading on activity, selectivity and deactivation behavior of Pd/silica-alumina catalysts in the hydroconversion of n-hexadecane. Catal. Today 2014, 223, 87–96. [Google Scholar] [CrossRef]
- Zhang, S.; Zhang, Z.; Steichen, D. Skeletal Isomerization of Alkyl Esters and Derivatives Prepared Therefrom. Patent US6946567B2, 20 September 2005. [Google Scholar]
- Busto, M.; Dosso, L.A.; Vera, C.R.; Grau, J.M. Composite catalysts of Pt/SO42−-ZrO2 and Pt/WO3-ZrO2 for producing high octane isomerizate by isomerization-cracking of long paraffins. Fuel Process. Technol. 2012, 104, 128–135. [Google Scholar] [CrossRef]
- Venkatesh, K.R.; Hu, J.; Wang, W.; Holder, G.D.; Tierney, J.W.; Wender, I. Hydrocracking and Hydroisomerization of Long-Chain Alkanes and Polyolefins over Metal-Promoted Anion-Modified Zirconium Oxides. Energy Fuels 1996, 10, 1163–1170. [Google Scholar] [CrossRef]
- Zhang, S.; Zhang, Y.; Tierney, J.W.; Wender, I. Anion-modified zirconia: Effect of metal promotion and hydrogen reduction on hydroisomerization of n-hexadecane and Fischer-Tropsch waxes. Fuel Process. Technol. 2001, 69, 59–71. [Google Scholar] [CrossRef]
- Hino, M.; Takasaki, S.; Furuta, S.; Matsuhashi, H.; Arata, K. meta-Stannic acid as an effective support for the preparation of sulfated and tungstated stannias. Appl. Catal. A Gen. 2007, 321, 147–154. [Google Scholar] [CrossRef]
- Matsuhashi, H.; Miyazaki, H.; Arata, K. The Preparation of Solid Superacid of Sulfated Tin Oxide with Acidity Higher Than Sulfated Zirconia. Chem. Lett. 2001, 30, 452–453. [Google Scholar] [CrossRef]
- Enríquez, J.M.H.; Lajas, L.A.C.; Alamilla, R.G.; Martín, E.Á.S.; Alamilla, P.G.; Handy, E.B.; Galindo, G.C.; Serrano, L.A.G. Synthesis of Solid Acid Catalysts Based on TiO2-SO4 and Pt/TiO2-SO4 Applied in n-Hexane Isomerization. Open J. Met. 2013, 3, 34–44. [Google Scholar] [CrossRef]
- Noda, L.K.; De Almeida, R.M.; Probst, L.F.D.; Gonçalves, N.S. Characterization of sulfated TiO2 prepared by the sol-gel method and its catalytic activity in the n-hexane isomerization reaction. J. Mol. Catal. A Chem. 2005, 225, 39–46. [Google Scholar] [CrossRef]
- Matsuhashi, H.; Sato, D.; Arata, K. Influence of Calcination Temperature on The Surface Acidity of The Solid Superacid of Sulfated Alumina. React. Kinet. Catal. Lett. 2004, 81, 183–188. [Google Scholar] [CrossRef]
- Gnanamani, M.K.; Linganiso, L.Z.; Jacobs, G.; Keogh, R.A.; Shafer, W.D.; Davis, B.H. Hydroisomerization of n-Hexadecane Over Anion Modified Pt/HfO2 Catalysts. Catal. Lett. 2012, 142, 1180–1189. [Google Scholar] [CrossRef]
- Yu, K.; Kumar, N.; Aho, A.; Roine, J.; Heinmaa, I.; Murzin, D.Y.; Ivaska, A. Determination of acid sites in porous aluminosilicate solid catalysts for aqueous phase reactions using potentiometric titration method. J. Catal. 2016, 335, 117–124. [Google Scholar] [CrossRef]
- Dunn, R.O. Cold flow properties of biodiesel: A guide to getting an accurate analysis. Biofuels 2015, 6, 115–128. [Google Scholar] [CrossRef]
- Alaya, M.N.; Rabah, M.A. Some physico-chemical properties and catalytic activity of sulfate ion supported on WO3/SnO2 catalyst. Arab. J. Chem. 2017, 10, S439–S449. [Google Scholar] [CrossRef]
- Khalaf, H.A.; Mansour, S.E.; El-Madani, E.A. The influence of sulfate contents on the surface properties of sulfate-modified tin(IV) oxide catalysts. J. Assoc. Arab. Univ. Basic Appl. Sci. 2011, 10, 15–20. [Google Scholar] [CrossRef]
- Khder, A.S.; Ahmed, A.I. Selective nitration of phenol over nanosized tungsten oxide supported on sulfated SnO2 as a solid acid catalyst. Appl. Catal. A Gen. 2009, 354, 153–160. [Google Scholar] [CrossRef]
- Joao, K. Thermo-Gravimetric Analysis in the Investigation of Catalysts: Insights and Innovations. J. Chromatogr. Sep. Tech. 2024, 15, 1000597. [Google Scholar] [CrossRef]
- Akkera, H.S.; Mann, V.; Varalakshmi, B.N.; Ploloju, M.; Kambhala, N.; Venkatesh, G. Effect of Sr-doped on physical and photoluminescence properties of SnO2 transparent conducting oxide thin films. J. Mater. Sci. Mater. Electron. 2023, 34, 1044. [Google Scholar] [CrossRef]
- Thommes, M.; Kaneko, K.; Neimark, A.V.; Olivier, J.P.; Rodriguez-Reinoso, F.; Rouquerol, J.; Sing, K.S.W. Physisorption of gases, with special reference to the evaluation of surface area and pore size distribution (IUPAC Technical Report). Pure Appl. Chem. 2015, 87, 1051–1069. [Google Scholar] [CrossRef]
- Chen, W.H.; Ko, H.H.; Sakthivel, A.; Huang, S.J.; Liu, S.H.; Lo, A.Y.; Tsai, T.C.; Liu, S.B. A solid-state NMR, FT-IR and TPD study on acid properties of sulfated and metal-promoted zirconia: Influence of promoter and sulfation treatment. Catal. Today 2006, 116, 111–120. [Google Scholar] [CrossRef]
- Pradana, Y.S.; Makertihartha, I.G.B.N.; Indarto, A.; Prakoso, T.; Soerawidjaja, T.H. A Review of Biodiesel Cold Flow Properties and Its Improvement Methods: Towards Sustainable Biodiesel Application. Energies 2024, 17, 4543. [Google Scholar] [CrossRef]
- Arning, M.D.; Minteer, S.D. Electrode Potentials. Handbook of Electrochemistry; Elsevier: Amsterdam, The Netherlands, 2007. [Google Scholar] [CrossRef]
- Wachs, I.E. Number of surface sites and turnover frequencies for oxide catalysts. J. Catal. 2022, 405, 462–472. [Google Scholar] [CrossRef]
- Badlani, M.; Wachs, I.E. Methanol: A “Smart” Chemical Probe Molecule. Catal. Lett. 2001, 75, 137–149. [Google Scholar] [CrossRef]
- Mäki-Arvela, P.; Kaka khel, T.A.; Azkaar, M.; Engblom, S.; Murzin, D.Y. Catalytic Hydroisomerization of Long-Chain Hydrocarbons for the Production of Fuels. Catalysts 2018, 8, 534. [Google Scholar] [CrossRef]











| Component | Composition, wt% | ||
|---|---|---|---|
| TO | STO | Fe-STO | |
| Oxide compound: | |||
| SnO2 | 93.4 | 90.5 | 85.6 |
| SO3 | 0.16 | 5.04 | 6.75 |
| Fe2O3 | 0.01 | 0.01 | 4.20 |
| CaO | 3.76 | 2.31 | 0.69 |
| Element: | |||
| Sn | 73.6 | 71.3 | 67.4 |
| S | 0.06 | 2.02 | 2.70 |
| Fe | 0.01 | 0.01 | 2.94 |
| Ca | 2.69 | 1.65 | 0.49 |
| Property | TO | STO | Fe-STO |
|---|---|---|---|
| BET surface area (m2/g) | 43.5 | 142.3 | 157.7 |
| Total pore volume (cm3/g) | 0.1583 | 0.1242 | 0.1146 |
| Mean pore diameter (nm) | 14.6 | 3.5 | 2.9 |
| BET constant | 62 | 64 | 91 |
| Material | Acid Amount (mmol/g) | |
|---|---|---|
| Potentiometric Titration | NH3-TPD | |
| TO | 0.19 | 0.47 |
| STO | 1.15 | 0.80 |
| Fe-STO | 1.63 | 1.34 |
| Catalyst | Biodiesel Cold Flow Properties | ||
|---|---|---|---|
| PP (°C) | CP (°C) | CFPP (°C) | |
| No catalyst | 12 | 15.60 ± 0.10 | 11.1 ± 0.10 |
| STO | 11 | 16.45 ± 0.05 | 11.95 ± 0.05 |
| Fe-STO | 9 | 15.25 ± 0.05 | 10.75 ± 0.05 |
| ASTM Standard (ASTM D-6751) | −15 ≤ PP ≤ 10 | −3 ≤ CP ≤ 12 | n.s. |
| EU Standard (EN14214) | n.s. | n.s. | (report) |
| Indonesian Standard (148.K/EK.05/DJE/2024) | n.s. | n.s. | ≤15 |
| Malaysian Standard (MS2008:2014) | n.s. | n.s. | ≤15 |
| Brazilian Standard (ANPN°920/2023) | n.s. | n.s. | (report) |
| Catalyst | No. of Acid Sites (mmol·m−2) | Reaction Rate (mmol·m−2·s−1) | Turnover Frequency (s−1) | Isomerization Selectivity (%) | ||
|---|---|---|---|---|---|---|
| Overall | Isomerization | Overall | Isomerization | |||
| STO | 5.6 × 10−3 | 2.7 × 10−7 | 5.5 × 10−9 | 4.9 × 10−5 | 1.0 × 10−6 | 2.0 |
| Fe-STO | 8.5 × 10−3 | 1.1 × 10−8 | 1.0 × 10−8 | 1.3 × 10−6 | 1.2 × 10−6 | 90.8 |
| Catalyst | Biodiesel Oxidation Stability (h) |
|---|---|
| No catalyst | 18.0 |
| STO | 19.6 |
| Fe-STO | 17.9 |
| ASTM Standard (ASTM D-6751) | ≥3 |
| EU Standard (EN14214) | ≥8 |
| Indonesian Standard (148.K/EK.05/DJE/2024) | ≥11 |
| Malaysian Standard (MS2008:2014) | ≥10 |
| Brazilian Standard (ANPN°920/2023) | ≥13 |
Disclaimer/Publisher’s Note: The statements, opinions and data contained in all publications are solely those of the individual author(s) and contributor(s) and not of MDPI and/or the editor(s). MDPI and/or the editor(s) disclaim responsibility for any injury to people or property resulting from any ideas, methods, instructions or products referred to in the content. |
© 2025 by the authors. Licensee MDPI, Basel, Switzerland. This article is an open access article distributed under the terms and conditions of the Creative Commons Attribution (CC BY) license (https://creativecommons.org/licenses/by/4.0/).
Share and Cite
Pradana, Y.S.; Makertihartha, I.G.B.N.; Prakoso, T.; Soerawidjaja, T.H.; Indarto, A. Biodiesel Isomerization Using Sulfated Tin(IV) Oxide as a Superacid Catalyst to Improve Cold Flow Properties. Technologies 2025, 13, 203. https://doi.org/10.3390/technologies13050203
Pradana YS, Makertihartha IGBN, Prakoso T, Soerawidjaja TH, Indarto A. Biodiesel Isomerization Using Sulfated Tin(IV) Oxide as a Superacid Catalyst to Improve Cold Flow Properties. Technologies. 2025; 13(5):203. https://doi.org/10.3390/technologies13050203
Chicago/Turabian StylePradana, Yano Surya, I Gusti Bagus Ngurah Makertihartha, Tirto Prakoso, Tatang Hernas Soerawidjaja, and Antonius Indarto. 2025. "Biodiesel Isomerization Using Sulfated Tin(IV) Oxide as a Superacid Catalyst to Improve Cold Flow Properties" Technologies 13, no. 5: 203. https://doi.org/10.3390/technologies13050203
APA StylePradana, Y. S., Makertihartha, I. G. B. N., Prakoso, T., Soerawidjaja, T. H., & Indarto, A. (2025). Biodiesel Isomerization Using Sulfated Tin(IV) Oxide as a Superacid Catalyst to Improve Cold Flow Properties. Technologies, 13(5), 203. https://doi.org/10.3390/technologies13050203

