Next Article in Journal
Financial Traits and Convertible Bond Motives: China’s Evidence
Previous Article in Journal
Leverage or Bias? The Debt Behavior of High-Income Consumers
Previous Article in Special Issue
The Effect of Financial Mismatch on Corporate ESG Performance: Evidence from Chinese A-Share Companies
 
 
Font Type:
Arial Georgia Verdana
Font Size:
Aa Aa Aa
Line Spacing:
Column Width:
Background:
Article

Executive Pay-Rank Inversion and M&A Decisions: Evidence from Chinese State-Owned Enterprises

by
Shaoni Zhou
,
Qiyue Du
* and
Zhitian Zhou
School of Economics and Management, Beijing Jiaotong University, Beijing 100044, China
*
Author to whom correspondence should be addressed.
Int. J. Financial Stud. 2025, 13(4), 239; https://doi.org/10.3390/ijfs13040239
Submission received: 18 November 2025 / Revised: 3 December 2025 / Accepted: 9 December 2025 / Published: 15 December 2025

Abstract

In typical executive compensation structures, higher corporate ranks are associated with greater pay. However, the reform of state-owned enterprises (SOEs) in China introduced strict salary caps for top executives, while lower-tier managers continued to receive market-based compensation, resulting in a phenomenon of pay-rank inversion—where subordinates earn more than their superiors. Leveraging this anomaly as a quasi-natural experiment, this study investigates the specific impact and underlying mechanism of pay-rank inversion on mergers and acquisitions (M&A) decisions and subsequent value realization within Chinese SOEs, thereby addressing the broad academic discourse on optimal executive compensation design. Employing a difference-in-differences (DID) approach with panel data spanning from 2007 to 2022, our analysis reveals that pay-rank inversion significantly reduces firms’ M&A intentions. Mechanistic analysis suggests that this negative effect arises primarily from diminished executive risk-taking. Furthermore, we find that the adverse impact is attenuated when CEOs possess longer tenures or receive equity-based incentives, but it ultimately undermines the realization of value post-M&A. These findings highlight the unintended consequences of high-level compensation reforms and emphasize the critical role of a well-structured pay hierarchy in sustaining executive incentives for strategic decision-making. Despite providing robust evidence, this study is subject to limitations, including its focus on measuring inversion only between the first and second management tiers. Future research should extend the analysis to the pay inversion between the listed firm and its controlling SOE group and explore alternative causal pathways beyond risk-taking, such as CEO work motivation, to deepen the understanding of high-level executive behavior.

1. Introduction

The relationship between compensation incentive and executive decision is a critical issue, particularly in emerging economies. Rationalizing CEO compensation is the key focus of compensation incentives, thus prompting scholars to similarly focus on the pay gap of executive teams (Conyon et al., 2001; Y.-F. Lin et al., 2013; Kong et al., 2021; M. Li & Chen, 2024). Defined as the compensation difference between the CEO and other senior executives, the executive pay gap influences internal governance mechanisms and overall organizational performance (Dai et al., 2017). However, a disagreement remains regarding what the appropriate pay gap is for promoting company growth. China’s SOEs reform provides us with a unique institutional perspective, allowing us to discuss the divergence using the pay contract anomaly arising from the salary reform. Our study aims to explore how executive pay-rank inversion shapes M&A strategies in SOEs, contributing to the broader discourse on compensation and executive decision.
Previous literature offers two divergent perspectives regarding the optimal executive pay gap. Tournament view suggests that pay dispersion in the corporate hierarchy creates an arena for individuals to compete for promotions and rewards (Yin & Zhang, 2014; Kong et al., 2021; Hallila et al., 2024). Appropriate pay levels effectively enhance managerial motivation, thereby contributing to firm value creation (Eriksson, 1999; Banker et al., 2016; Pathan et al., 2023; Zhong et al., 2023). Thus, maintaining a large pay gap is deemed necessary. However, some scholars argue from an entrenchment viewpoint that the large pay gap between the CEO and other executives reflects the power of the CEO and that powerful CEOs solidify their power and are thus more likely to misappropriate shareholders’ wealth. These gaps in executive pay may reflect agency problems, potentially reducing company value and performance (Haß et al., 2015; H. L. Chan et al., 2020; Tan, 2024). In China’s salary reform, the recent emergence of the phenomenon of “pay-rank inversion” for executives of SOEs provides a unique opportunity for such a divergence in research.
In 2009, China’s Ministry of Finance, in collaboration with six other governmental departments, jointly introduced the “Guiding Opinions on Further Regulating the Remuneration Management of the Heads of Central Enterprises.” This policy is widely recognized as marking the beginning of China’s executive salary cap system. The principal intent of this reform was to address the increasing disparities in executive pay that emerged from earlier market-oriented compensation practices. Specifically, it established an executive remuneration ceiling anchored to the average salary of regular employees within central SOEs. Following its initial implementation, the government has continuously issued complementary policies to reinforce the effectiveness of this executive salary restriction initiative, targeting primarily senior positions such as chairpersons, CEOs, and party secretaries. However, this regulatory framework concurrently permitted market mechanisms to dictate the pay for lower-ranking executives, thereby unintentionally creating a compensation anomaly in certain SOEs where lower-level executives earned more than their senior counterparts—a phenomenon termed “executive pay-rank inversion.” The significance of this phenomenon lies in its departure from prior scholarly discussions, which predominantly concentrated on the motivational effects of positive incentive structures while largely neglecting the economic implications associated with negative incentive scenarios.
This study investigates the impact of executive pay-rank inversion on mergers and acquisitions (M&A) decisions within state-owned enterprises (SOEs). The focus on M&A activities is driven by several considerations. First, M&A activities have increasingly become critical tools for advancing SOE reforms and hold a prominent strategic position in Chinese government policy (Liang et al., 2024). Second, executives typically play a pivotal role in M&A decisions due to their substantial discretionary authority (Moeller et al., 2004; El-Khatib et al., 2015; J. Chen et al., 2024). Third, M&A processes are inherently complex and long-term in nature, marked by significant information asymmetry between shareholders and management. This characteristic frequently leads to pronounced agency conflicts (Masulis et al., 2007; Z. Chen et al., 2017), thus making M&A activities ideal for exploring the consequences of executive pay-rank inversion.
The theoretical relationship between executive pay-rank inversion and M&A decisions is ambiguous. On one side, information asymmetry and agency issues often result in decreased executive motivation and increased risk aversion (Bertrand & Schoar, 2003). In line with tournament theory and equity theory, a reduction in explicit compensation incentives—particularly under pay-rank inversion conditions—could exacerbate these agency conflicts, undermining managerial motivation and diminishing willingness to undertake risky strategic initiatives such as M&As. On the other side, executives facing inadequate explicit incentives might resort to M&A activities as alternative mechanisms for personal advancement (Shi et al., 2017; Mishra, 2020). Additionally, empire-building theory suggests that CEOs may exploit M&A activities to obscure corporate risks and pursue personal benefits (C.-Y. Chan et al., 2023). Given the critical importance of M&A decisions for SOE strategic development and the lack of consensus regarding the incentive effects of executive pay-rank inversion, this study is motivated to investigate how pay-rank inversion affects M&A decision-making within SOEs. By systematically examining this phenomenon, we aim to fill a significant empirical gap and contribute to the broader academic discourse concerning the design of optimal executive compensation gaps.
To empirically assess the relationship, we implement a difference-in-differences (DiD) model using data from A-share state-owned listed companies from 2007 to 2022, capturing both the occurrence and degree of pay-rank inversion and using the frequency and occurrence of M&As as measures of corporate acquisition intentions. The final sample consists of 3810 firm-year observations. Our baseline empirical results demonstrate that SOEs experiencing pay-rank inversion (the treatment group) exhibit significantly diminished intentions to engage in M&A activities relative to firms without pay-rank inversion (the control group). These findings are robust to multiple validity checks, with further analyses highlighting that pay-rank inversion primarily depresses M&A intentions by decreasing executive risk tolerance. Additionally, heterogeneity analysis reveals that longer CEO tenures and the presence of equity-based incentives considerably alleviate the negative impact of pay-rank inversion on M&A intentions. From an economic consequences perspective, firms experiencing pay-rank inversion also exhibit comparatively inferior M&A performance outcomes.
The paper contributes to the existing literature in several important respects. First, it extends the current understanding regarding how compensation incentives shape executive decisions. In contrast to earlier studies which predominantly explore optimal executive pay gaps for mitigating agency conflicts (C. Lin et al., 2011; Biggerstaff et al., 2019), our research uniquely emphasizes the adverse motivational effects arising from anomalous compensation structures. By investigating the economic consequences of pay-rank inversion, the paper enhances existing frameworks on executive compensation incentives.
Second, this study leverages the distinctive institutional context of China to explore how reforms to SOE executive compensation affect corporate strategic decisions, particularly those involving M&As. While prior literature has addressed the impacts of salary cap policies on corporate performance (Tong et al., 2024), stock price crash risk (Bai et al., 2019), managerial perquisites (Bae et al., 2024), and financial investments (Tian et al., 2024), the implications of executive pay-rank inversion on M&A strategies remain largely unexplored. Notably, Tian et al. (2024) document a positive impact of CEO pay-rank inversion on short-term financial investments. Given that M&As inherently entail higher risks, longer time horizons, and pronounced agency challenges compared to financial investments, they provide an ideal environment for comprehensively examining the broader consequences of pay-rank inversion. Furthermore, the clear observability and measurable long-term impact of M&A events (Z. Li & Peng, 2021) make them particularly effective for evaluating institutional reforms in executive compensation.

2. Background, Literature and Hypotheses

2.1. Institutional Background

In 2009, China’s Ministry of Finance, alongside five other governmental bodies, jointly issued the “Guiding Opinions on Further Regulating the Remuneration Management of the Heads of Central Enterprises,” initiating what is commonly viewed as the beginning of China’s salary cap policy. This policy imposed a remuneration ceiling for senior executives, directly tied to the average compensation level of ordinary employees, with the objectives of fostering equity and optimizing the salary distribution system. The implementation of the Salary Restriction Order aimed to resolve disputes that emerged from earlier market-oriented pay reforms within state-owned enterprises (SOEs). Following the establishment of the State-owned Assets Supervision and Administration Commission (SASAC), several market-based compensation reforms were adopted, aiming to strengthen executive accountability by linking remuneration closely to performance metrics. However, in practice, executive salaries frequently remained excessively high even amidst deteriorating corporate performance, triggering widespread public criticism, especially in the wake of the 2008 global financial crisis (Rampling et al., 2013; Bai et al., 2019; Nanda et al., 2024).
The enactment of the Salary Restriction Order marked a pivotal stage in the reform of SOE compensation systems. Subsequently, additional policies were introduced by the Chinese government to reinforce this salary cap’s effectiveness. For instance, in August 2014, the Political Bureau of the Central Committee approved the “Reform Plan for the Remuneration System of Heads of Centrally Managed Enterprises,” further emphasizing limits on executive pay and the rationalization of salary gaps. These regulatory measures specifically targeted compensation of top executives, including chairpersons, CEOs, and party secretaries, while permitting market forces to govern the pay of lower-tier executives. However, this policy structure inadvertently resulted in the unique phenomenon of “pay-rank inversion,” wherein lower-ranked executives occasionally received higher compensation than their superiors.
Although the Salary Restriction Order successfully reduced extreme compensation disparities within certain industries, concerns arose regarding the unintended negative consequences for executive incentives, particularly due to the emergence of pay-rank inversion. This situation disturbed the essential alignment between executives’ responsibilities and their compensation, undermining the intended effectiveness of incentive mechanisms. Given the importance of this issue, this study investigates how pay-rank inversion affects M&A decision-making within SOEs, thereby contributing to the broader academic discourse concerning the design of optimal executive compensation gaps.

2.2. The Relevant Literature and Hypothesis Development

Previous research underscores CEOs’ critical role in mergers and acquisitions (M&A). Studies have extensively investigated the impact of CEO characteristics—such as experience, overconfidence, political affiliation, tenure, and turnover—on M&A activities (Elnahas & Kim, 2017; Zhou et al., 2020; J. Chen et al., 2024). Others have explored how compensation structures, including relative pay and perquisite-based incentives, influence M&A decisions (Lee et al., 2019; C.-Y. Chan et al., 2023; Z. Li & Peng, 2021). Nevertheless, empirical evidence examining the effects of negative incentive contracts arising from regulatory pay restrictions, particularly executive pay-rank inversion, remains scarce.
M&A transactions inherently involve significant complexity and risk, necessitating extensive managerial effort and comprehensive information analysis at every stage (Moeller et al., 2004; Haleblian et al., 2009; Brahma et al., 2023). Due to principal-agent conflicts and information asymmetry, shareholders find it difficult to accurately measure executive efforts, often leading executives to avoid risky strategic decisions that predominantly benefit shareholders but could jeopardize their careers (Bebchuk & Fried, 2003; J. Chen et al., 2024).
From a theoretical perspective, pay-rank inversion violates principles of Upper Echelons Theory, which advocates alignment between managerial responsibilities and compensation. This misalignment disrupts internal organizational equity, diminishing executive motivation and risk-taking propensity, thereby negatively influencing M&A decisions. Tournament Theory similarly predicts that pay disparity within executive ranks motivates lower-ranked executives toward higher performance and risk-taking to gain promotions (Banker et al., 2016; Pathan et al., 2023). However, when lower-ranked executives outearn CEOs, this dynamic is disrupted, reducing overall team motivation and risk tolerance. Additionally, Equity Theory suggests that inversions in pay rank heighten executives’ perceptions of unfairness, further dampening their motivation to engage in value-generating, albeit risky, M&A activities.
Based on this theoretical framework, we propose the following hypothesis:
H1. 
CEO Pay-rank inversion reduces firms’ M&A intentions.
Meanwhile, we acknowledge a competing argument: constrained monetary incentives may enhance CEOs’ non-monetary, implicit motivations. Under pay-rank inversion conditions, CEOs might seek alternative pathways, such as empire-building through M&A, to compensate for restricted financial incentives (Shi et al., 2017; Mishra, 2020). Thus, pay-rank inversion might paradoxically encourage M&A activities.

3. Data and Descriptive Statistics

3.1. Sample Selection

This study uses data from Chinese A-share listed state-owned enterprises (SOEs) covering the period from 2007 to 2022 to examine how CEO pay-rank inversion influences M&A decisions. The starting year, 2007, coincides with the introduction of China’s revised corporate accounting standards, thus ensuring consistency throughout our sample period. This interval captures the majority of SOEs affected by executive pay-rank inversion resulting from the Salary Restriction Order. Given the critical influence of CEOs on strategic decision-making processes, particularly in the context of M&A activities, we specifically focus on CEO pay-rank inversion to provide clearer and more representative empirical insights.1
The data in this paper are primarily from Chinese Stock Market & Accounting Research (CSMAR) and Wind database. The sample is processed as follows: (1) excluding listed companies in the financial industry and ST and PT listed companies; (2) excluding observations with CEO changes during the year; (3) excluding observations of CEOs receiving zero compensation or missing compensation data; and (4) excluding samples with incomplete financial or corporate governance data. (5) Excluding samples where the ultimate control ownership changed after M&As.
Meanwhile, to ensure a clean difference-in-differences sample, we also exclude the following cases: (1) samples with only one observation for the same CEO; (2) CEOs who have experienced pay-rank inversion during their tenure; and (3) CEOs who have transitioned from inverted to non-inverted pay-rank positions. In addition, to control the influence of extreme values on the empirical process and results, this paper applies Winsorize shrinkage at the upper and lower 1% levels to all continuous variables. The detailed steps of our sample construction and exclusion criteria are fully documented in Appendix A of the manuscript.

3.2. Regression Model

To empirically evaluate our hypothesis, we employ a multi-period difference-in-differences (DiD) approach, reflecting the fact that CEO pay-rank inversion across SOEs does not occur simultaneously. The DiD model (1) is specified as follows:
A c q _ D i , t / A c q _ C i , t = α 0 + α 1 P R I i , t / P a y G a p i , t + C o n t r o l s i , t + Y e a r + I n d u s t r y + ε i , t
The dependent variable, Acq_D represents whether an M&A occurred in that year. Acq_C is defined as the number of M&As initiated by a company in that year.
The independent variable, PRI (pay-rank inversion) measures whether there is an inversion between CEO pay and position in state-owned enterprises. Based on the study of Yu et al. (2019) and Tian et al. (2024), our paper defines pay-rank inversion as whether the CEO’s pay is lower than the pay of all other executives. If the CEO’s pay is higher, there is no pay-rank inversion; otherwise, it exists. The following executives are excluded: (1) executives who are also the chairman of the board; (2) executives who resigned during the year; and (3) executives who received zero compensation during the year. Since pay-rank inversion in SOEs does not occur simultaneously, this paper adopts a multi-period DID model (Tian et al., 2024). SOEs with pay-rank inversion are the treatment group, while SOEs without it are the control group. The change point occurs when SOEs experience a shift in executive pay from non-inverted to inverted caused by the Salary Restriction Order. PRI is assigned a value of 1 in the years following pay-rank inversion and 0 otherwise. For SOEs without pay-rank inversion, PRI remains 0.
The variable PRI_D captures the degree to which the highest remuneration among other executives surpasses that of the CEO. Specifically, PRI_D takes the natural logarithm of the pay difference plus one if the CEO’s compensation is lower than other executives (indicating pay-rank inversion), and it is set to zero otherwise.
Consistent with established research practices (Lee et al., 2019; Choi et al., 2020; Tian et al., 2024), our model incorporates control variables related to firm financial attributes, corporate governance structures, and CEO-specific characteristics. Additionally, we include year and industry fixed effects to account for temporal trends and industry-level heterogeneity. A detailed description of all variables is available in Appendix A.

3.3. Descriptive Statistics

Table 1 presents the descriptive statistics for the full sample of 3810 firms. The mean value of Acq_D, which measures the intention of M&A, is 0.353, indicating that 35.3% of the sample companies initiated M&A in a specific year. The maximum value of Acq_C, which measures the frequency of M&A, is 8, while the mean value is 0.499, indicating significant differences in M&A frequency among A-share state-owned enterprises.

4. Results

4.1. Baseline Regression Results

Table 2 reports the empirical findings concerning the relationship between executive pay-rank inversion and M&A activities among SOEs. Specifically, columns (1) through (4) consistently show significantly negative coefficients for the explanatory variables at the 1% significance level, strongly supporting hypothesis H1. These results suggest that pay-rank inversion substantially suppresses M&A intentions within SOEs. Such diminished acquisition intentions may be attributed to reduced managerial motivation and risk-taking propensity due to inadequate compensation incentives arising from pay inversion.
The findings are also economically meaningful; for instance, column (1) of Table 2 indicates that the coefficient for PRI is −0.367, implying that pay-rank inversion is associated with a 14.7% decrease in the likelihood of CEOs initiating M&A transactions.2

4.2. Robustness Tests

4.2.1. Parallel Trend Analysis

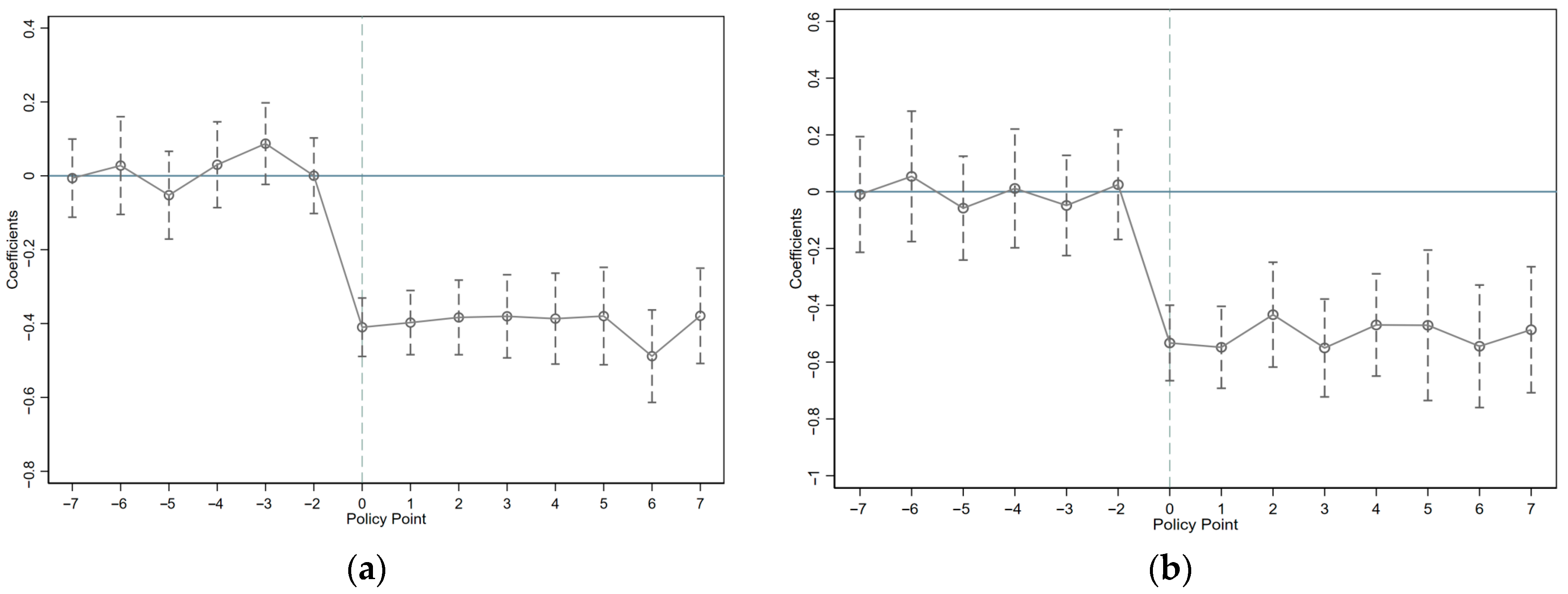
An essential assumption for the difference-in-differences (DiD) research design is the absence of significant differences in trends between the treatment and control groups prior to the implementation of policy interventions. To validate the DiD approach, we conducted a parallel trend analysis following methodologies established in prior studies (H. Li & Zhou, 2005; Ge et al., 2022; Wang et al., 2024). The results of this analysis are presented in Figure 1. Figure 1 shows that the regression coefficients of time-specific variables before the occurrence of executive pay-rank inversion were close to zero and statistically insignificant. Conversely, coefficients became significantly negative after the policy implementation. This result confirms that no notable pre-intervention differences existed between the treatment and control groups, thereby satisfying the parallel trend assumption.

4.2.2. Placebo Test

To ensure the accuracy of the findings and eliminate the effect of time trends or other random factors on the differences between the treatment and control groups, a placebo test was conducted.
First, we borrowed the methodology of Topalova (2010) and tested the time point of executive pay-rank inversion 2 years earlier. As shown in Table 3, the regression coefficient of PRI_2 is not significant when the point of inversion is advanced by two years. This suggests that the main factor affecting firms’ M&A intentions is not other characteristics of pay-rank inverted firms but the phenomenon of executive pay-rank inversion.
Additionally, a placebo test employing 1000 random simulations was conducted to further verify robustness (P. Li et al., 2016). The results of the placebo test are displayed in Figure 2. Figure 2 shows that the majority of the regression t-values generated from these simulations were lower than the actual regression t-value and followed a normal distribution, aligning with theoretical expectations. This indicates that the observed results are unlikely due to random chance, effectively ruling out interference from unobserved factors.

4.2.3. Propensity Score Matching

Given that pay-rank inversion might disproportionately emerge among firms already frequently engaged in mergers and acquisitions (M&A), propensity score matching (PSM) is employed to address potential sample selection bias. Specifically, we apply a 1:1 caliper matching approach with replacement, pairing SOEs experiencing CEO pay-rank inversion (treatment group) to similar SOEs without such inversion (control group), using a caliper width of 0.001. Post-matching balance checks indicate that standardized deviations for all matching variables fall below 5%, confirming an effective matching process. Additionally, t-tests reveal no statistically significant differences between treatment (PRI = 1) and control groups (PRI = 0), further validating the reliability of the matching approach. Detailed results from these balance tests are provided in Appendix B.
The regression results, presented in columns (1) and (3) of Table 4, indicate significantly negative coefficients for PRI at the 1% level. Similarly, columns (2) and (4) report significantly negative coefficients for PRI_D, also at the 1% level. These findings imply that SOEs experiencing pay-rank inversion display diminished motivation to engage in M&A transactions compared to firms without such inversion, which aligns with our primary empirical conclusions.

4.2.4. Alternative Measurement of Independent Variables

To prevent bias from variable measurement methods, the proxy variables PRI2 and PRI_D2 for pay-rank inversion are reconstructed. Specifically, PRI2 indicates whether the CEO’s compensation is higher than the average compensation of the executive team, and PRI_D2 measures the extent to which the average compensation of the executive team exceeds the CEO’s compensation. Table 5 shows the regression results for the probability and number of M&As after replacing the explanatory variables. It can be seen that pay-rank inversion reduces the incentives for M&A, proving that the conclusions drawn in this paper are robust.

4.2.5. Other Robustness Checks

Additional robustness tests were conducted, and the regression results are shown in Table 6. The findings remain robust when the variables are lagged by one period.

4.3. Mechanism Analysis

Based on the preceding theoretical analysis, we observe that the pay-rank inversion among SOE executives has failed to provide appropriate compensation, significantly weakening their willingness to take risks. As a result, executives tend to avoid high-risk, uncertain-return M&A decisions. To further explore the mechanism of this impact, our study focuses on the risk-taking perspective.
The existing literature on risk-taking primarily focuses on earnings volatility (Boubakri et al., 2013), corporate R&D investment (Kini & Williams, 2012), and stock return volatility (Coles et al., 2006; Bartram et al., 2012), with earnings volatility being widely used for its intuitiveness and representativeness. Our paper uses ROA volatility as the core indicator for corporate risk-taking (Risk) and adjusts each firm’s ROA by the same year’s industry average to eliminate industry effects. The calculation formula is shown in Equation (2).
A d j R O A i j t = E B I T i j t A i j t 1 n j t k = 1 n j t E B I T i j t A i j t
We further calculate the standard deviation of industry-adjusted ROA for each observation period to quantify corporate risk-taking levels, as shown in Equation (3).
R i s k i t = 1 T 1 1 T A d j R O A i j t 1 T t = 1 T A d j R O A i j t 2
Using the above formulas, corporate risk-taking is calculated over a 3-year observation period. Following Yang et al. (2024), this paper employs a mediation effect model and stepwise regression analysis, with control variables consistent with those in the regression model (1), as detailed in Appendix A. The mediation models are as follows:
R i s k i , t = α 0 + α 1 P R I i , t / P a y G a p i , t + C o n t r o l s i , t + Y e a r + I n d u s t r y + ε i , t
A c q _ D i , t / A c q _ C i , t = α 0 + α 1 P R I i , t / P a y G a p i , t + α 2 R i s k i , t + C o n t r o l s i , t + Y e a r + I n d u s t r y + ε i , t
Table 7 reports the regression results of the mediation effect model. Columns (1) and (2) show the regression results of Equation (4), indicating that the regression coefficient of the pay-rank inversion variable (PRI) is significantly negative and passes the 1% significance test, suggesting that pay-rank inversion curbs executives’ risk-taking, consistent with the theoretical analysis. Columns (3) to (6) show the regression results of Equation (5), and the regression coefficient of the risk-taking variable (Risk) is significantly negative, passing the 1% significance test, which suggests that pay-rank inversion reduces M&A intention by curbing executives’ risk-taking.

4.4. Heterogeneity Analysis

CEO Tenure

The impact of executive tenure on managerial decision-making remains a contentious issue in current research. On one hand, according to the Career Uncertainty Theory, newly appointed executives face greater career uncertainty compared to long-tenured executives, leading to higher risk aversion and more cautious investment attitudes (Gibbons & Murphy, 1992). On the other hand, the Power Accumulation and Risk Aversion Theory suggests that as executive tenure lengthens, the “trench effect” of power accumulation becomes more evident, and self-serving behaviors aimed at protecting personal interests may lead to increased risk aversion (Bertrand & Schoar, 2003; Cook & Burress, 2013).
To further explore the role of CEO tenure in the relationship between pay-rank inversion and M&A, the paper uses model (6) to analyze the moderating effect of CEO tenure. The variable of tenure (Tenure) is incorporated into model (1), and interaction terms PRI × Tenure and PRI_D × Tenure are constructed.
A c q _ D i , t / A c q _ C i , t = α 0 + α 1 P R I i , t / P a y G a p i , t + α 2 T e n u r e i , t + α 3 P R I i , t × T e n u r e i , t / P a y G a p i , t × T e n u r e i , t + C o n t r o l s i , t + Y e a r + I n d u s t r y + ε i , t
The regression results in Table 8 show that CEO tenure positively impacts M&A occurrence in pay-rank inversion firms, with significance at the 5% level. The impact on the number of M&As is significant at the 1% level. This suggests that longer CEO tenure mitigates the negative impact of pay-rank inversion on M&A intention. This suggests that increased tenure enhances executives’ knowledge, experience, and control, enabling them to better identify beneficial M&A opportunities and mitigate the incentive deficiency caused by pay-rank inversion.
As a long-term incentive mechanism, equity incentives align the interests of executives with those of shareholders by granting them stock, thereby enhancing their motivation and loyalty. This unique incentive system effectively ties executives’ pursuit of personal gain to the company’s long-term value creation goals, reducing agency costs.
To verify the role of equity incentives in the relationship between pay-rank inversion and M&A, the paper uses model (7) to analyze the moderating effect of CEO equity incentives, incorporating the variable of equity (Equity) into model (1) and constructing interaction terms PRI × Equity and PRI_D × Equity.
A c q _ D i , t / A c q _ C i , t = α 0 + α 1 P R I i , t / P a y G a p i , t + α 2 E q u i t y i , t + α 3 P R I i , t × E q u i t y i , t / P a y G a p i , t × E q u i t y i , t + C o n t r o l s i , t + Y e a r + I n d u s t r y + ε i , t
The regression results in Table 9 show that CEO equity incentives positively impact M&A occurrence in pay-rank inversion firms, with significance at the 10% level. The impact on the number of M&As is significant at the 1% level. This highlights the role of equity incentives in aligning interests and optimizing decision-making. Equity incentives alleviate principal-agent problems, increase executives’ risk-taking and enthusiasm, and mitigate the negative relationship between pay-rank inversion and M&A activities.

4.5. Test of Economic Consequences

To further explore the economic consequences of pay-rank inversion, this paper uses Buy-and-Hold Abnormal Return (BHAR) as a measure of M&A performance. The BHAR is calculated using the method outlined by Malmendier et al. (2018). We posit that pay-rank inversion leads to CEOs placing less emphasis on post-merger integration, resulting in lower performance. The impact of pay-rank inversion on M&A performance is then tested using OLS regression, as shown in model (8).
B H A R 36 i , t = α 0 + α 1 P R I i , t / P a y G a p i , t + α 2 L e v i , t + α 3 A g e i , t + α 4 L e v i , t + α 5 G r o w t h i , t + α 6 C F O i , t + α 7 R O A i , t + α 8 D u a l i , t + α 9 T O P 1 i , t + α 10 M s h a r e i , t + Y e a r + I n d u s t r y + ε i , t
As shown in Table 10, M&A performance is significantly negatively correlated with pay-rank inversion at the 10% significance level. This suggests that under pay-rank inversion, inadequate compensation incentives reduce executives’ motivation, increase integration costs and M&A risks, and hinder the realization of M&A value.

5. Conclusions and Implications

Our paper uses the pay-rank inversion in SOEs as a natural experiment to examine how the anomaly compensation contract shapes firm’s M&A decisions. We find evidence that firms experiencing pay-rank inversion exhibit significantly lower M&A intentions. Pay-rank inversion severely curbs executives’ risk-taking, causing them to avoid high-risk, uncertain-return decisions, which in turn affects their M&A intentions. Moreover, CEO tenure and equity incentives can mitigate the negative impact of pay-rank inversion on M&A enthusiasm. Finally, the study reveals that pay-rank inversion hinders value realization during the M&A process.
Overall, our research uncovers the unforeseen effects of SOE compensation reforms, demonstrating the importance of a reasonable pay gap in the M&A decision-making process of state-owned enterprises. Theoretically, our study contributes to the literature on the executive pay gap and M&A by highlighting how pay-rank inversion shapes M&A decisions within state-owned enterprises. Previous studies have shown divergent views on how to establish a reasonable pay gap. Our study provides evidence on this issue from the perspective of negative compensation incentives. By demonstrating how pay-rank inversion affects M&A intentions and fosters poorer performance in M&As, our findings reveal the unforeseen effects of the Salary Restriction Order. This contribution is particularly relevant for emerging markets, where frequent reform practices do not always benefit the development of domestic state-owned enterprises.
Additionally, the study has clear implications. Firstly, SOEs could consider designing a fair salary gradient based on functions and qualifications to enhance motivation and risk-taking and reduce agency costs. Second, SOEs could reduce government interference in senior management appointments by ensuring stable tenures to facilitate long-term career planning. SOEs could introduce equity incentives to focus executives on long-term development, mitigate moral hazards from pay-rank inversion, increase risk-taking, and enhance M&A enthusiasm, thereby boosting SOE development and achieving high-quality growth of state-owned capital. Third, SOE salary reform should take potential negative effects into account. A rational compensation system is crucial for motivating executives and employees, enhancing work enthusiasm and self-monitoring, driving the enterprise towards high-quality development.

6. Limitations and Future Research Directions

Despite offering robust empirical evidence, this study has several limitations that suggest avenues for future research.
First, regarding the measurement of our core explanatory variable, pay-rank inversion, this study adopts a specific perspective by focusing solely on the inversion between the top two tiers of SOE management (CEO and other high-level executives). However, some literature explores the phenomenon of pay inversion between the listed SOE and its controlling central enterprise (Group Company). Future studies should extend the scope to investigate the relationship between Group Company-level pay inversion and the listed firm’s M&A activities, providing a more comprehensive understanding of the incentive structure across the entire SOE hierarchy.
Second, in our heterogeneity analysis, we primarily focused on CEO characteristic variables, such as tenure and equity incentive level. Future research could incorporate a wider range of firm-level characteristics, such as corporate governance variables (e.g., board independence, internal control quality), to further explore how these factors modulate the relationship between pay-rank inversion and M&A decisions.
Finally, while this paper empirically verifies the mechanism via diminished risk-taking, pay-rank inversion may affect M&A decisions through other pathways, such as reduced CEO work motivation or engagement. Future work should integrate these alternative mechanisms to provide a deeper and more holistic understanding of the internal logic driving high-level executive decision-making under the condition of pay-rank distortion.

Author Contributions

Conceptualization, S.Z. and Q.D.; methodology, Q.D.; software, Q.D.; validation, Q.D. and Z.Z.; data curation, Z.Z.; writing—original draft preparation, Q.D.; writing—review and editing, S.Z.; funding acquisition, S.Z. All authors have read and agreed to the published version of the manuscript.

Funding

This research was funded by the National Natural Science Foundation of China (Grant No. 72372007).

Institutional Review Board Statement

Not applicable.

Informed Consent Statement

Not applicable.

Data Availability Statement

The raw data supporting the conclusions of this article will be made available by the authors on request.

Acknowledgments

Shaoni Zhou acknowledges the financial support from the National Natural Science Foundation of China (Grant No. 72372007). The authors gratefully acknowledge Yixuan Chen for providing essential baseline data assistance and preliminary conceptual assistance during the early stages of this project. We appreciate her generous support, which was crucial for the successful development of the subsequent research.

Conflicts of Interest

The authors declare that there are no conflicts of interest related to this manuscript. The research was supported by the National Natural Science Foundation of China (NSFC) under the General Program (grant number: 72372007). The research has been conducted independently, and no financial or personal relationships have influenced the content of the study. The authors also affirm that there is no other funding or financial support from any organization or individual that could influence the outcomes or interpretation of the findings.

Abbreviations

The following abbreviations are used in this manuscript:
M&AMergers and Acquisitions
DIDDifference-in-Differences
SOEsState-owned Enterprises
PRIPay-rank Inversion

Appendix A

Appendix A.1. Sample Selection

Table A1. Sample Selection.
Table A1. Sample Selection.
Initial SOE listed firm observations from 2007−202215,192
Less: financial industry observations and ST listed observations(228)
Less: observations with incomplete financial or corporate governance data(169)
Less: firms with only one observation for the same CEO(3957)
Less: observations with CEO changes during the sample period(2145)
Less: observations of CEOs receiving zero compensation or missing data(622)
Less: observations of CEOs who have experienced PRI during their whole tenure(2266)
Less: excluding CEOs who have transitioned from inverted to non-inverted(1995)
Our final sample3810

Appendix A.2. Description of Main Variables of Empirical Research

Table A2. Description of Main Variables of Empirical Research.
Table A2. Description of Main Variables of Empirical Research.
Variable TypeVariable NameVariable SymbolVariable Definition
Dependent VariableM&A OccurrenceAcq_DTakes a value of 1 if a firm initiated an M&A in that year, otherwise 0
Number of M&AsAcq_CThe number of M&As initiated by a firm in that year, takes a value of 0 if no M&A occurred
Independent VariablePay-Rank InversionPRITakes a value of 1 in the year when pay-rank inversion occurs, otherwise 0
Degree of Pay-Rank InversionPRI_DThe natural logarithm of the pay gap between the CEO and the highest-paid executive, otherwise 0 if no inversion.
Control VariableFirm SizeSizeNatural logarithm of the firm’s total assets during the M&A transaction
Leverage RatioLevTotal liabilities to total assets ratio in the year of the M&A
GrowthGrowthThe ratio of the difference between current year’s revenue and previous year’s revenue to the previous year’s revenue
ROAROAAsset returns as the ratio of net profit to total assets
Cash Flow StatusFCFThe ratio of net cash flow from operating activities to total assets at year-end
Largest Shareholder’s Holding RatioTOP1Ratio of shares held by the largest shareholder to total shares
Dual RoleDualTakes a value of 1 if the CEO also serves as the chairman, otherwise 0
Separation of Ownership and ControlSepDifference between the control rights and cash flow rights of the actual controller of the acquiring firm
Year Fixed EffectsYearYear dummy variable
Industry Fixed EffectsIndustryClassified according to the CSRC’s “Guidelines for Industry Classification of Listed Companies” (2012 edition), with manufacturing using secondary classification codes

Appendix A.3. Sample Distribution by Year

Table A3. Sample Distribution by Year.
Table A3. Sample Distribution by Year.
YearControl Group Treatment GroupTotal
(PRI = 0)(PRI = 1)
200721945264
200823253285
200923250282
201022663289
201121867285
201221755272
201321665281
201420370273
201516769236
201616170231
201717490264
201813284216
201913679215
202011081191
20217290162
2022352964
Total275010603810

Appendix B

Result of PSM Balance Tests

Table A4. Results of Balance Tests.
Table A4. Results of Balance Tests.
Matching VariableMean (Treatment Group)Mean (Control Group)Standard BiasStandard Difference Reduction (%)t-Valuep > t
Size
Before Matching22.90422.52328.199.78.050.000
After Matching22.89422.895−0.1 −0.020.987
Lev
Before Matching51.08750.1374.935.81.350.176
After Matching51.11551.725−3.1 −0.721.474
Growth
Before Matching0.1350.152−5.758.8−1.570.116
After Matching0.1360.1292.4 0.550.584
FCF
Before Matching0.0510.053−3.639.2−0.980.330
After Matching0.0510.0492.2 0.490.627

Notes

1
Contrary to the traditional view that Chinese state-owned enterprises (SOEs) primarily served as instruments for implementing government directives, market-driven reforms have increasingly enhanced managerial discretion within these entities (J. Chen et al., 2024). Additionally, the significance of CEOs in publicly listed SOEs has grown substantially, consistent with China’s initiative to implement a Professional Manager System as articulated in “The Decision of the Central Committee of the Communist Party of China on Some Major Issues Concerning Comprehensively Deepening Reform” (2013) (available at: https://www.gov.cn/zhengce/2013-11/15/content_5407874.htm) (accessed on 11 November 2025).
2
The marginal effect is calculated by multiplying the Probit model coefficient of −0.367 by the estimated normal distribution density value (approximately 0.4), representing the change in M&A probability when pay-rank inversion occurs.

References

  1. Bae, K.-H., Gong, Z., & Tong, W. H. S. (2024). Restricting CEO pay backfires: Evidence from China. Journal of Business Finance & Accounting, 51(5–6), 1015–1045. [Google Scholar] [CrossRef]
  2. Bai, M., Wang, R., Yu, C.-F. J., & Zheng, J. (2019). Limits on executive pay and stock price crash risk: Evidence from a quasi-natural experiment. Pacific-Basin Finance Journal, 55, 206–221. [Google Scholar] [CrossRef]
  3. Banker, R. D., Bu, D., & Mehta, M. N. (2016). Pay gap and performance in China. Abacus, 52, 501–531. [Google Scholar] [CrossRef]
  4. Bartram, S. M., Brown, G., & Stulz, R. M. (2012). Why are U.S. stocks more volatile? Journal of Finance, 67(4), 1329–1370. [Google Scholar] [CrossRef]
  5. Bebchuk, L. A., & Fried, J. M. (2003). Executive compensation as an agency problem. Journal of Economic Perspectives, 17(3), 71–92. [Google Scholar] [CrossRef]
  6. Bertrand, M., & Schoar, A. (2003). Managing with style: The effect of managers on firm policies. Quarterly Journal of Economics, 118(4), 1169–1208. [Google Scholar] [CrossRef]
  7. Biggerstaff, L., Blank, B., & Goldie, B. (2019). Do incentives work? Option-based compensation and corporate innovation. Journal of Corporate Finance, 58, 415–430. [Google Scholar] [CrossRef]
  8. Boubakri, N., Cosset, J.-C., & Saffar, W. (2013). The role of state and foreign owners in corporate risk-taking: Evidence from privatization. Journal of Financial Economics, 108(3), 641–658. [Google Scholar] [CrossRef]
  9. Brahma, S., Boateng, A., & Ahmad, S. (2023). Board overconfidence and M&A performance: Evidence from the UK. Review of Quantitative Finance and Accounting, 60(4), 1363–1391. [Google Scholar] [CrossRef]
  10. Chan, C.-Y., Nishikawa, T., & Williams, T. C. (2023). CEO perquisite compensation and M&A performance. Quarterly Review of Economics and Finance, 90, 162–177. [Google Scholar] [CrossRef]
  11. Chan, H. L., Kawada, B., Shin, T., & Wang, J. (2020). CEO-employee pay gap and firm R&D efficiency. Review of Accounting and Finance, 19(3), 271–287. [Google Scholar] [CrossRef]
  12. Chen, J., Hou, Q., & Li, S. (2024). Rent-seeking or value-creating? The impact of managerial autonomy from state-built corporate pyramids on M&A performance. Accounting and Finance, 64, 4359–4391. [Google Scholar] [CrossRef]
  13. Chen, Z., Hung, W. Y., Li, D., & Xing, L. (2017). The impact of bank merger growth on CEO compensation. Journal of Business Finance & Accounting, 44(9–10), 1398–1442. [Google Scholar] [CrossRef]
  14. Choi, J. J., Genc, O. F., & Ju, M. (2020). Is an M&A self-dealing? Evidence on international and domestic acquisitions and CEO compensation. Journal of Business Finance & Accounting, 47(9–10), 1290–1315. [Google Scholar] [CrossRef]
  15. Coles, J. L., Daniel, N. D., & Naveen, L. (2006). Managerial incentives and risk-taking. Journal of Financial Economics, 79(2), 431–468. [Google Scholar] [CrossRef]
  16. Conyon, M. J., Peck, S. I., & Sadler, G. V. (2001). Corporate tournaments and executive compensation: Evidence from the U.K. Strategic Management Journal, 22, 805–815. [Google Scholar] [CrossRef]
  17. Cook, M. L., & Burress, M. J. (2013). The impact of CEO tenure on cooperative governance. Managerial and Decision Economics, 34(4), 218–229. [Google Scholar] [CrossRef]
  18. Dai, Y., Kong, D., & Xu, J. (2017). Does fairness breed efficiency? Pay gap and firm productivity in China. International Review of Economics & Finance, 48, 406–422. [Google Scholar] [CrossRef]
  19. El-Khatib, R., Fogel, K., & Jandik, T. (2015). CEO network centrality and merger performance. Journal of Financial Economics, 116(2), 349–382. [Google Scholar] [CrossRef]
  20. Elnahas, A. M., & Kim, D. (2017). CEO political ideology and mergers and acquisitions decisions. Journal of Corporate Finance, 45, 162–175. [Google Scholar] [CrossRef]
  21. Eriksson, T. (1999). Executive compensation and tournament theory: Empirical tests on Danish data. Journal of Labor Economics, 17(2), 262–280. [Google Scholar] [CrossRef]
  22. Ge, W., Ouyang, C., Shi, Z., & Chen, Z. (2022). Can a not-for-profit minority institutional shareholder make a big difference in corporate governance? A quasi-natural experiment. Journal of Corporate Finance, 72, 102125. [Google Scholar] [CrossRef]
  23. Gibbons, R., & Murphy, K. J. (1992). Optimal incentive contracts in the presence of career concerns: Theory and evidence. Journal of Political Economy, 100(3), 468–505. [Google Scholar] [CrossRef]
  24. Haleblian, J., Devers, C. E., McNamara, G., Carpenter, M. A., & Davison, R. B. (2009). Taking stock of what we know about mergers and acquisitions: A review and research agenda. Journal of Management, 35(3), 469–502. [Google Scholar] [CrossRef]
  25. Hallila, P., Frankort, H. T. W., & Aversa, P. (2024). Revving up or backing down? Cross-level effects of firm-level tournaments on employees’ competitive actions. Academy of Management Journal, 67, 1331–1358. [Google Scholar] [CrossRef]
  26. Haß, L. H., Müller, M. A., & Vergauwe, S. (2015). Tournament incentives and corporate fraud. Journal of Corporate Finance, 34, 251–267. [Google Scholar] [CrossRef]
  27. Kini, O., & Williams, R. (2012). Tournament incentives, firm risk, and corporate policies. Journal of Financial Economics, 103(2), 350–376. [Google Scholar] [CrossRef]
  28. Kong, G., Zhang, H., Wang, D., Yang, Z., & Liu, H. (2021). Political promotion and pay gap: Evidence from SOEs in China. Economic Analysis and Policy, 69, 450–460. [Google Scholar] [CrossRef]
  29. Lee, G., Cho, S. Y., Arthurs, J., & Lee, E. K. (2019). CEO pay inequity, CEO-TMT pay gap, and acquisition premiums. Journal of Business Research, 98, 105–116. [Google Scholar] [CrossRef]
  30. Li, H., & Zhou, L.-A. (2005). Political turnover and economic performance: The incentive role of personnel control in China. Journal of Public Economics, 89(9–10), 1743–1762. [Google Scholar] [CrossRef]
  31. Li, M., & Chen, Q. (2024). Executive pay gap and corporate ESG greenwashing: Evidence from China. International Review of Financial Analysis, 89, 103375. [Google Scholar] [CrossRef]
  32. Li, P., Lu, Y., & Wang, J. (2016). Does flattening government improve economic performance? Evidence from China. Journal of Development Economics, 123, 18–37. [Google Scholar] [CrossRef]
  33. Li, Z., & Peng, Q. (2021). The dark side of executive compensation duration: Evidence from mergers and acquisitions. Journal of Financial and Quantitative Analysis, 56(8), 2963–2997. [Google Scholar] [CrossRef]
  34. Liang, S., Xue, W., & Lin, N. (2024). Government audit supervision and enterprise mergers and acquisitions. China Journal of Accounting Studies, 12(1), 25–46. [Google Scholar] [CrossRef]
  35. Lin, C., Lin, P., Song, F. M., & Li, C. (2011). Managerial incentives, CEO characteristics and corporate innovation in China’s private sector. Journal of Comparative Economics, 39(2), 176–190. [Google Scholar] [CrossRef]
  36. Lin, Y.-F., Yeh, Y. M. C., & Shih, Y.-T. (2013). Tournament theory’s perspective of executive pay gaps. Journal of Business Research, 66, 585–592. [Google Scholar] [CrossRef]
  37. Malmendier, U., Moretti, E., & Peters, F. S. (2018). Winning by losing: Evidence on the long-run effects of mergers. Review of Financial Studies, 31(9), 3212–3264. [Google Scholar] [CrossRef]
  38. Masulis, R. W., Wang, C., & Xie, F. (2007). Corporate governance and acquirer returns. Journal of Finance, 62(4), 1851–1889. [Google Scholar] [CrossRef]
  39. Mishra, C. S. (2020). Frequent acquirers and management compensation. Managerial and Decision Economics, 41(5), 661–694. [Google Scholar] [CrossRef]
  40. Moeller, S. B., Schlingemann, F. P., & Stulz, R. M. (2004). Firm size and the gains from acquisitions. Journal of Financial Economics, 73(2), 201–228. [Google Scholar] [CrossRef]
  41. Nanda, V., Silveri, S., Wang, K., & Zhao, L. (2024). Executive compensation limits and executive turnover. Management Science, 70(4), 2382–2405. [Google Scholar] [CrossRef]
  42. Pathan, S., Haq, M., & Morgan, J. (2023). CEO pay gaps and bank risk-taking. European Accounting Review, 32(4), 935–964. [Google Scholar] [CrossRef]
  43. Rampling, P., Eddie, I., & Liu, J. (2013). Executive remuneration in China: A literature review. Asian Review of Accounting, 21(2), 128–143. [Google Scholar] [CrossRef]
  44. Shi, W., Zhang, Y., & Hoskisson, R. E. (2017). Ripple effects of CEO awards: Investigating the acquisition activities of superstar CEOs’ competitors. Strategic Management Journal, 38(10), 2080–2102. [Google Scholar] [CrossRef]
  45. Tan, Y. (2024). Local tournament incentives and corporate social responsibility. Journal of Business Ethics. Advance online publication. [Google Scholar] [CrossRef]
  46. Tian, E., Zhong, M., Sun, M., & Ma, D. (2024). CEO “anomaly” compensation incentives and financial investment: Evidence from the SOEs of China. Economic Analysis and Policy, 83, 259–277. [Google Scholar] [CrossRef]
  47. Tong, X., Wang, W., & Liu, Y. (2024). Do all CEO pay regulations hurt firm performance? Evidence from China. International Journal of Managerial Finance, 20(4), 794–820. [Google Scholar] [CrossRef]
  48. Topalova, P. (2010). Factor immobility and regional impacts of trade liberalization: Evidence on poverty from India. American Economic Journal: Applied Economics, 2(4), 1–41. [Google Scholar] [CrossRef]
  49. Wang, J., Wu, Z., Fang, X., & Xiu, H. (2024). Corporate risk disclosure in response to heightened entry threat: Evidence from a quasi-natural experiment in China. Global Finance Journal, 63, 101049. [Google Scholar] [CrossRef]
  50. Yang, X., Zhang, K., Liao, G., & Gao, P. (2024). Administrative monopoly and state-owned enterprise innovation: Evidence from the fair competition review system in China. International Review of Financial Analysis, 89, 103463. [Google Scholar] [CrossRef]
  51. Yin, H., & Zhang, H. (2014). Tournaments of financial analysts. Review of Accounting Studies, 19(2), 573–605. [Google Scholar] [CrossRef]
  52. Yu, L., Li, W., Wang, Y., & Wang, D. (2019). Does pay-position upside down influence enterprises’ behavior? An empirical study based on a shares of state-owned enterprises. Accounting Research, 3, 47–54. (In Chinese). [Google Scholar]
  53. Zhong, X., Chen, W., & Ren, G. (2023). External tournament incentives and corporate social irresponsibility. European Management Review, 21(3), 568–580. [Google Scholar] [CrossRef]
  54. Zhou, B., Dutta, S., & Zhu, P. (2020). CEO tenure and mergers and acquisitions. Finance Research Letters, 34, 101277. [Google Scholar] [CrossRef]
Figure 1. Parallel trend graph (a) Acq_D serves as the dependent variable; (b) Acq_C serves as the dependent variable.
Figure 1. Parallel trend graph (a) Acq_D serves as the dependent variable; (b) Acq_C serves as the dependent variable.
Ijfs 13 00239 g001
Figure 2. Placebo test graph (a) Acq_D serves as the dependent variable; (b) Acq_C serves as the dependent variable.
Figure 2. Placebo test graph (a) Acq_D serves as the dependent variable; (b) Acq_C serves as the dependent variable.
Ijfs 13 00239 g002
Table 1. Summary statistics.
Table 1. Summary statistics.
VariablesNMeanSDP25MedianP75MinMax
Acq_D38100.3530.4780.0000.0001.00001
Acq_C38100.4990.8170.0000.0001.00008
PRI38100.2780.4480.0000.0001.00001
PRI_D38103.2535.3130.0000.0009.547015.83
Lev381050.4019.4221.70922.51923.4698.06889.37
Growth38100.1470.29935.66651.30465.911−0.4811.573
ROA38106.1405.736−0.0130.1090.256−11.2425.83
Size381022.631.3210.0140.0530.09620.0726.53
TOP1381039.0715.3026.65037.97050.48011.3076.95
Dual38100.0980.2970.0000.0000.00001
FCF38100.0530.0710.0000.0004.994−0.1660.243
Sep38104.1287.5813.1235.3338.505030.96
Notes: This table reports descriptive statistics for all variables based on the complete dataset, covering 3810 firm-year observations for the period from 2007 to 2022. Presented statistics include means, standard deviations, minimum, median, and maximum values. Definitions of variables are provided in Table 1.
Table 2. Pay-Rank Inversion and M&A Intentions.
Table 2. Pay-Rank Inversion and M&A Intentions.
Variables(1)(2)(3)(4)
Acq_DAcq_C
PRI−0.367 *** −0.172 ***
(−7.04) (−5.95)
PRI_D −0.031 *** −0.015 ***
(−7.12) (−6.06)
Size0.199 ***0.201 ***0.144 ***0.145 ***
(9.31)(9.39)(10.48)(10.57)
Lev0.006 ***0.006 ***0.003 ***0.003 ***
(3.78)(3.78)(3.45)(3.45)
Growth0.0410.0410.0120.013
(1.35)(1.36)(0.96)(0.97)
ROA0.018 ***0.018 ***0.008 ***0.008 ***
(4.26)(4.28)(3.75)(3.77)
FCF−0.647 *−0.636 *−0.436 **−0.431 **
(−1.95)(−1.92)(−2.31)(−2.28)
TOP1−0.002−0.002−0.002 *−0.002 *
(−1.06)(−1.09)(−1.86)(−1.89)
Dual−0.091−0.091−0.018−0.019
(−1.20)(−1.21)(−0.40)(−0.40)
Sep−0.003−0.003−0.002−0.002
(−1.24)(−1.24)(−1.32)(−1.31)
Constant−4.914 ***−4.960 ***−2.706 ***−2.733 ***
(−10.64)(−10.71)(−9.58)(−9.68)
Industry EffectYESYESYESYES
Year EffectYESYESYESYES
Observations3799379938103810
Pseudo R2/Adj R20.0810.0810.1110.112
Notes: Significance levels of 1%, 5%, and 10% are denoted by ***, **, and *, respectively. Robust t-statistics are displayed in parentheses.
Table 3. Placebo test.
Table 3. Placebo test.
Variables(1)(2)
Acq_DAcq_C
PRI_20.070−0.010
(0.72)(−0.18)
Size0.232 ***0.157 ***
(7.78)(8.66)
Lev0.005 **0.003 ***
(2.56)(3.02)
Growth0.353 ***0.110 *
(3.09)(1.69)
ROA0.014 **0.006 *
(2.01)(1.72)
FCF−0.874 *−0.607 **
(−1.77)(−2.28)
TOP1−0.002−0.002 **
(−0.93)(−2.03)
Dual−0.096−0.020
(−0.98)(−0.34)
Sep−0.004−0.002
(−0.95)(−0.99)
Constant−5.821 ***−3.135 ***
(−8.92)(−8.32)
Industry EffectYESYES
Year EffectYESYES
Observations22572264
Pseudo R2/Adj R20.0900.126
Notes: Significance levels of 1%, 5%, and 10% are denoted by ***, **, and *, respectively. Robust t-statistics are displayed in parentheses.
Table 4. PSM regression.
Table 4. PSM regression.
Variables(1)(2)(3)(4)
Acq_DAcq_C
PRI−0.367 *** −0.171 ***
(−7.05) (−5.94)
PRI_D −0.032 *** −0.015 ***
(−7.14) (−6.05)
Size0.207 ***0.210 ***0.149 ***0.150 ***
(9.50)(9.59)(10.67)(10.77)
Lev0.005 ***0.005 ***0.002 ***0.002 ***
(3.43)(3.43)(3.04)(3.05)
Growth0.283 ***0.284 ***0.136 ***0.136 ***
(3.48)(3.49)(2.78)(2.79)
ROA0.016 ***0.016 ***0.007 ***0.007 ***
(3.20)(3.22)(2.58)(2.60)
FCF−0.703 **−0.693 *−0.489 **−0.484 **
(−1.99)(−1.96)(−2.37)(−2.35)
TOP1−0.001−0.001−0.002 *−0.002 *
(−0.84)(−0.87)(−1.69)(−1.73)
Dual−0.096−0.096−0.021−0.021
(−1.26)(−1.27)(−0.46)(−0.47)
Sep−0.004−0.004−0.002−0.002
(−1.20)(−1.19)(−1.17)(−1.15)
Constant−5.130 ***−5.178 ***−2.822 ***−2.849 ***
(−10.92)(−10.99)(−9.89)(−9.99)
Industry EffectYESYESYESYES
Year EffectYESYESYESYES
Observations3799379938103810
Pseudo R2/Adj R20.0840.0850.1140.115
Notes: Significance levels of 1%, 5%, and 10% are denoted by ***, **, and *, respectively. Robust t-statistics are displayed in parentheses.
Table 5. Alternative measurements of independent variables.
Table 5. Alternative measurements of independent variables.
Variables(1)(2)(3)(4)
Acq_DAcq_C
PRI−0.471 *** −0.234 ***
(−6.84) (−6.23)
PRI_D −0.043 *** −0.021 ***
(−7.07) (−6.33)
Size0.152 ***0.153 ***0.120 ***0.121 ***
(7.90)(7.95)(9.05)(9.08)
Lev0.005 ***0.005 ***0.003 ***0.003 ***
(3.40)(3.36)(3.66)(3.62)
Growth0.0370.0360.0120.012
(1.24)(1.21)(0.91)(0.88)
ROA0.019 ***0.019 ***0.010 ***0.010 ***
(4.53)(4.58)(4.40)(4.46)
FCF−0.978 ***−0.984 ***−0.681 ***−0.684 ***
(−2.97)(−2.99)(−3.40)(−3.42)
TOP10.0010.001−0.001−0.001
(0.53)(0.56)(−0.92)(−0.89)
Dual−0.0010.0000.0710.072
(−0.01)(0.01)(1.46)(1.47)
Sep−0.000−0.000−0.000−0.000
(−0.10)(−0.08)(−0.21)(−0.19)
Constant−3.647 ***−3.672 ***−2.159 ***−2.172 ***
(−8.73)(−8.78)(−7.91)(−7.96)
Industry EffectYESYESYESYES
Year EffectYESYESYESYES
Observations4013401340324032
Pseudo R2/Adj R20.0660.0660.0980.099
Notes: Significance levels of 1%, 5%, and 10% are denoted by ***, **, and *, respectively. Robust t-statistics are displayed in parentheses.
Table 6. Other robustness test.
Table 6. Other robustness test.
Variables(1)(2)(3)(4)
Acq_DAcq_C
PRI−0.219 *** −0.097 ***
(−3.77) (−2.85)
PRI_D −0.019 *** −0.009 ***
(−3.81) (−2.93)
Size0.184 ***0.185 ***0.142 ***0.143 ***
(7.32)(7.35)(8.88)(8.91)
Lev0.004 **0.004 **0.0010.001
(2.44)(2.45)(1.45)(1.46)
Growth0.179 *0.180 **0.0390.039
(1.95)(1.97)(0.75)(0.77)
ROA0.017 ***0.017 ***0.008 **0.008 **
(2.88)(2.90)(2.49)(2.51)
FCF−0.438−0.435−0.310−0.308
(−1.10)(−1.09)(−1.25)(−1.24)
TOP1−0.001−0.001−0.002 *−0.002 *
(−0.46)(−0.46)(−1.65)(−1.65)
Dual0.0430.0420.0830.082
(0.50)(0.49)(1.43)(1.42)
Sep−0.008 **−0.008 **−0.004 **−0.004 **
(−2.17)(−2.15)(−2.08)(−2.06)
Constant−4.624 ***−4.644 ***−2.669 ***−2.681 ***
(−8.42)(−8.44)(−8.07)(−8.10)
Industry EffectYESYESYESYES
Year EffectYESYESYESYES
Observations2939293929512951
Pseudo R2/Adj R20.0750.0750.1030.103
Notes: Significance levels of 1%, 5%, and 10% are denoted by ***, **, and *, respectively. Robust t-statistics are displayed in parentheses.
Table 7. Curbing Risk-taking Mechanism.
Table 7. Curbing Risk-taking Mechanism.
Variables(1)(2)(3)(4)(5)(6)
RiskRiskAcq_DAcq_CAcq_DAcq_C
PRI−0.003 *** −0.360 ***−0.170 ***
(−4.12) (−6.70)(−5.80)
PRI_D −0.000 *** −0.031 ***−0.015 ***
(−4.26) (−6.78)(−5.95)
Risk −3.321 ***−2.106 ***−3.358 ***−2.124 ***
(−3.01)(−4.72)(−3.05)(−4.76)
Size−0.003 ***−0.003 ***0.185 ***0.135 ***0.187 ***0.136 ***
(−9.24)(−9.21)(8.02)(9.32)(8.08)(9.40)
Lev0.0000.0000.006 ***0.003 ***0.006 ***0.003 ***
(0.38)(0.38)(3.55)(3.26)(3.55)(3.26)
Growth0.0010.0010.308 ***0.150 ***0.308 ***0.150 ***
(0.46)(0.45)(3.64)(3.01)(3.64)(3.01)
FCF0.017 **0.017 **−0.740 **−0.516 **−0.729 **−0.511 **
(2.51)(2.52)(−2.03)(−2.46)(−1.99)(−2.43)
TOP1−0.000−0.000−0.001−0.002 *−0.001−0.002 *
(−0.51)(−0.53)(−0.67)(−1.67)(−0.69)(−1.69)
Dual−0.001−0.001−0.076−0.004−0.076−0.004
(−1.07)(−1.07)(−0.97)(−0.09)(−0.97)(−0.09)
Sep0.0000.000−0.004−0.002−0.004−0.002
(1.00)(1.00)(−1.30)(−1.12)(−1.30)(−1.11)
ROA−0.000 *−0.0000.019 ***0.008 ***0.019 ***0.008 ***
(−1.65)(−1.64)(4.13)(3.46)(4.15)(3.48)
Constant0.110 ***0.110 ***−4.512 ***−2.425 ***−4.549 ***−2.447 ***
(13.83)(13.79)(−9.00)(−8.11)(−9.05)(−8.19)
Industry EffectYESYESYESYESYESYES
Year EffectYESYESYESYESYESYES
Observations357635763585359635853596
Pseudo R2/Adj R20.1530.1540.0860.1160.0870.117
Notes: Significance levels of 1%, 5%, and 10% are denoted by ***, **, and *, respectively. Robust t-statistics are displayed in parentheses.
Table 8. Heterogeneity analysis of CEO tenure.
Table 8. Heterogeneity analysis of CEO tenure.
Variables(1)(2)(3)(4)
Acq_DAcq_C
PRI−0.362 ***−0.486 ***
(−6.94)(−5.94)
PRI_D −0.031 ***−0.041 ***
(−7.00)(−5.91)
PRI×Tenure 0.031 **
(2.08)
PRI_D×Tenure 0.003 **
(2.02)
Tenure −0.002 −0.002
(−0.23) (−0.22)
Size0.209 ***0.209 ***0.211 ***0.212 ***
(9.52)(9.51)(9.60)(9.59)
Lev0.005 ***0.005 ***0.005 ***0.005 ***
(3.50)(3.47)(3.50)(3.47)
Growth0.266 ***0.264 ***0.268 ***0.266 ***
(3.27)(3.24)(3.28)(3.26)
ROA0.016 ***0.016 ***0.016 ***0.016 ***
(3.27)(3.16)(3.29)(3.17)
FCF−0.692 *−0.722 **−0.681 *−0.711 **
(−1.95)(−2.04)(−1.92)(−2.00)
TOP1−0.001−0.001−0.001−0.001
(−0.79)(−0.73)(−0.82)(−0.77)
Dual−0.094−0.096−0.094−0.096
(−1.23)(−1.26)(−1.24)(−1.26)
Sep−0.004−0.004−0.004−0.004
(−1.27)(−1.23)(−1.27)(−1.23)
Constant−5.168 ***−5.176 ***−5.214 ***−5.217 ***
(−10.94)(−10.93)(−11.01)(−10.99)
Industry EffectYESYESYESYES
Year EffectYESYESYESYES
Observations3778377837783778
Pseudo R20.0850.0860.0850.086
Notes: Significance levels of 1%, 5%, and 10% are denoted by ***, **, and *, respectively. Robust t-statistics are displayed in parentheses.
Table 9. Heterogeneity analysis of Equity Incentives.
Table 9. Heterogeneity analysis of Equity Incentives.
Variables(1)(2)(3)(4)
Acq_DAcq_C
PRI−0.367 ***−0.380 ***
(−7.05)(−7.21)
PRI_D −0.032 ***−0.033 ***
(−7.14)(−7.30)
PRI×Equity 0.075 *
(1.92)
PRI_D×Equity 0.006 *
(1.94)
Equity −0.059 * −0.057 *
(−1.73) (−1.70)
Size0.207 ***0.207 ***0.210 ***0.209 ***
(9.50)(9.43)(9.59)(9.52)
Lev0.005 ***0.005 ***0.005 ***0.005 ***
(3.43)(3.44)(3.43)(3.45)
Growth0.283 ***0.283 ***0.284 ***0.284 ***
(3.48)(3.48)(3.49)(3.49)
ROA0.016 ***0.017 ***0.016 ***0.017 ***
(3.20)(3.34)(3.22)(3.35)
FCF−0.703 **−0.747 **−0.693 *−0.735 **
(−1.99)(−2.11)(−1.96)(−2.07)
TOP1−0.001−0.001−0.001−0.001
(−0.84)(−0.87)(−0.87)(−0.89)
Dual−0.096−0.094−0.096−0.095
(−1.26)(−1.24)(−1.27)(−1.25)
Sep−0.004−0.004−0.004−0.004
(−1.20)(−1.19)(−1.19)(−1.18)
Constant−5.130 ***−5.111 ***−5.178 ***−5.160 ***
(−10.92)(−10.84)(−10.99)(−10.92)
Industry EffectYESYESYESYES
Year EffectYESYESYESYES
Observations3799379937993799
Pseudo R20.0840.0850.0850.085
Notes: Significance levels of 1%, 5%, and 10% are denoted by ***, **, and *, respectively. Robust t-statistics are displayed in parentheses.
Table 10. Pay-rank inversion and M&A performance.
Table 10. Pay-rank inversion and M&A performance.
Variables BHAR36
(1)(2)
PRI−0.108 *
(−1.67)
PRI_D −0.011 *
(−1.90)
Size−0.067 ***−0.066 ***
(−2.73)(−2.69)
Lev0.005 **0.005 **
(2.51)(2.53)
Growth−0.097−0.098
(−1.01)(−1.01)
CFO−0.384−0.390
(−0.77)(−0.78)
Top10.005 **0.005 **
(2.21)(2.22)
Dual0.1100.110
(0.97)(0.98)
ROA1.5051.524
(1.62)(1.64)
Age0.0490.048
(1.06)(1.05)
Mshare0.074 **0.074 **
(2.15)(2.18)
Constant1.011 *1.001 *
(1.84)(1.83)
Industry EffectYESYES
Year EffectYESYES
Observations479479
Adj R20.2300.231
Notes: Significance levels of 1%, 5%, and 10% are denoted by ***, **, and *, respectively. Robust t-statistics are displayed in parentheses.
Disclaimer/Publisher’s Note: The statements, opinions and data contained in all publications are solely those of the individual author(s) and contributor(s) and not of MDPI and/or the editor(s). MDPI and/or the editor(s) disclaim responsibility for any injury to people or property resulting from any ideas, methods, instructions or products referred to in the content.

Share and Cite

MDPI and ACS Style

Zhou, S.; Du, Q.; Zhou, Z. Executive Pay-Rank Inversion and M&A Decisions: Evidence from Chinese State-Owned Enterprises. Int. J. Financial Stud. 2025, 13, 239. https://doi.org/10.3390/ijfs13040239

AMA Style

Zhou S, Du Q, Zhou Z. Executive Pay-Rank Inversion and M&A Decisions: Evidence from Chinese State-Owned Enterprises. International Journal of Financial Studies. 2025; 13(4):239. https://doi.org/10.3390/ijfs13040239

Chicago/Turabian Style

Zhou, Shaoni, Qiyue Du, and Zhitian Zhou. 2025. "Executive Pay-Rank Inversion and M&A Decisions: Evidence from Chinese State-Owned Enterprises" International Journal of Financial Studies 13, no. 4: 239. https://doi.org/10.3390/ijfs13040239

APA Style

Zhou, S., Du, Q., & Zhou, Z. (2025). Executive Pay-Rank Inversion and M&A Decisions: Evidence from Chinese State-Owned Enterprises. International Journal of Financial Studies, 13(4), 239. https://doi.org/10.3390/ijfs13040239

Note that from the first issue of 2016, this journal uses article numbers instead of page numbers. See further details here.

Article Metrics

Back to TopTop