Mobile-Based Augmented Reality Application in Pharmacy Schools Implemented in Pharmaceutical Compounding Laboratories: Students’ Benefits and Reception
Abstract
:1. Introduction
2. Materials and Methods
2.1. Course Description
2.2. Development of ARx App
2.3. Quick Response (QR) Codes Generation
2.4. Tutorial Videos Creation
2.5. Study Design
2.6. Outcome Evaluation
2.7. Statistical Analysis
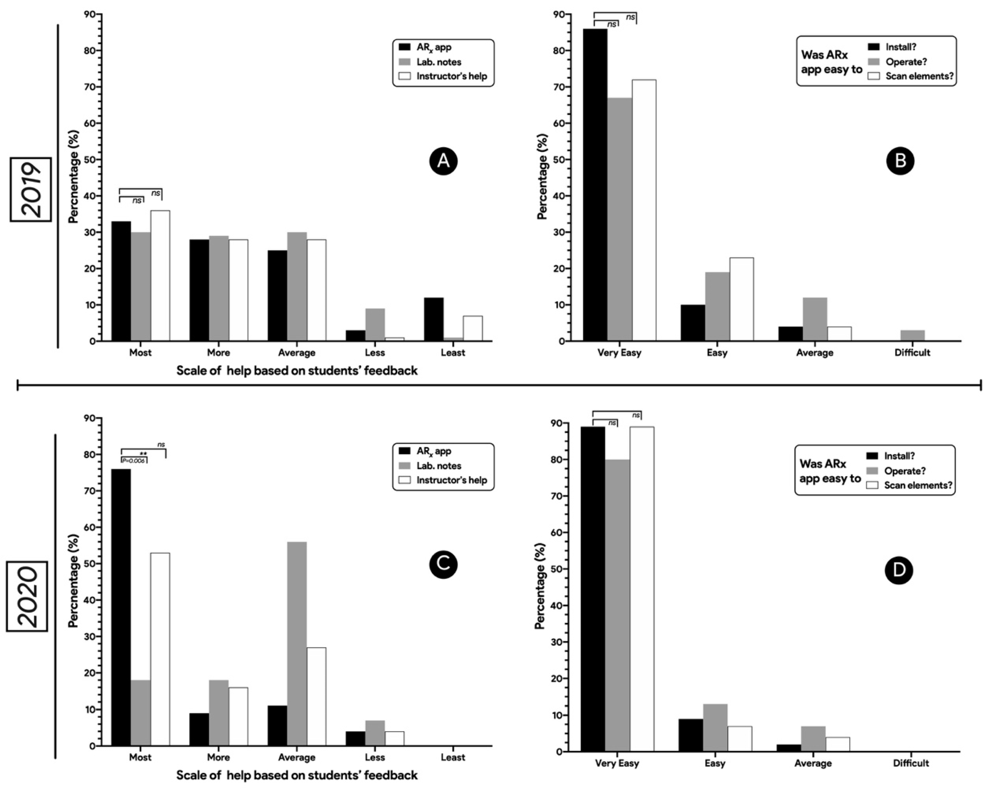
3. Results
4. Discussion
4.1. Usefulness
4.2. Acceptability
4.3. Ease
5. Limitations
6. Conclusions
Author Contributions
Funding
Institutional Review Board Statement
Informed Consent Statement
Data Availability Statement
Acknowledgments
Conflicts of Interest
References
- Dhawan, S. Online learning: A panacea in the time of COVID-19 crisis. J. Educ. Technol. Syst. 2020, 49, 5–22. [Google Scholar] [CrossRef]
- Singh, V.; Thurman, A. How many ways can we define online learning? A systematic literature review of definitions of online learning (1988–2018). Am. J. Distance Educ. 2019, 33, 289–306. [Google Scholar] [CrossRef]
- Adedoyin, O.B.; Soykan, E. Covid-19 pandemic and online learning: The challenges and opportunities. Interact. Learn Environ. 2020, 1–13. [Google Scholar] [CrossRef]
- Adnan, M.; Anwar, K. Online Learning amid the COVID-19 Pandemic: Students’ Perspectives. Pedagol. Sociol. Physcol. 2020, 2, 45–51. [Google Scholar] [CrossRef]
- Suryaman, M.; Cahyono, Y.; Muliansyah, D.; Bustani, O.; Suryani, P.; Fahlevi, M.; Pramono, R.; Purwanto, A.; Purba, J.T.; Munthe, A.P. COVID-19 pandemic and home online learning system: Does it affect the quality of pharmacy school learning? Syst. Rev. Pharm. 2020, 11, 524–530. [Google Scholar]
- Giorgdze, M.; Dgebuadze, M. Interactive teaching methods: Challenges and perspectives. Int. E J. Adv. Educ. 2017, 3, 544–548. [Google Scholar] [CrossRef] [Green Version]
- Ventola, C.L. Virtual Reality in Pharmacy: Opportunities for Clinical, Research, and Educational Applications. Pharm. Ther. 2019, 44, 267–276. [Google Scholar]
- Salem, S.; Cooper, J.; Schneider, J.; Croft, H.; Munro, I. Student Acceptance of Using Augmented Reality Applications for Learning in Pharmacy: A Pilot Study. Pharmacy 2020, 8, 122. [Google Scholar] [CrossRef] [PubMed]
- Schneider, J.; Patfield, M.; Croft, H.; Salem, S.; Munro, I. Introducing Augmented Reality Technology to Enhance Learning in Pharmacy Education: A Pilot Study. Pharmacy 2020, 8, 109. [Google Scholar] [CrossRef] [PubMed]
- Akçayır, M.; Akçayır, G. Advantages and challenges associated with augmented reality for education: A systematic review of the literature. Educ. Res. Rev. 2017, 20, 1–11. [Google Scholar] [CrossRef]
- Babichenko, D.; Patel, R.; Grieve, V.; Healy, P.; Canton, S.; Littleton, E.B.; Donnellan, N.; Andrews, E. SterileAR: Exploration of Augmented Reality and Computer Vision Approaches for Real-Time Feedback in Sterile Compounding Training. In Proceedings of the 6th International Conference of the Immersive Learning Research Network (iLRN), San Luis Obispo, CA, USA, 21–25 June 2020; pp. 62–69. [Google Scholar]
- Amplified Rx. Available online: http://amplifiedrx.com/ (accessed on 25 January 2021).
- AmplifiedRx YouTube. Available online: https://youtube.com/channel/UCdFULa0e2PS697ejXTEhtmQ (accessed on 25 January 2021).
- Shahzad, A.; Hassan, R.; Aremu, A.Y.; Hussain, A.; Lodhi, R.N. Effects of COVID-19 in E-learning on higher education institution students: The group comparison between male and female. Qual. Quant. 2020, 55, 805–826. [Google Scholar] [CrossRef] [PubMed]
- Puspasari, S.; Suhandi, N.; Iman, J.N. Augmented Reality Development for Supporting Cultural Education Role in SMB II Museum During Covid-19 Pandemic. In Proceedings of the Fifth International Conference on Informatics and Computing (ICIC), Gorontalo, Indonesia, 3–4 November 2020; pp. 1–6. [Google Scholar]
- Hennel, P.; Schmidt-Kraepelin, M.; Eynden, S.; Basten, D. Benefits of Augmented Reality in Educational Environments—A Systematic Literature Review. In Proceedings of the 12th International Conference on Wirtschaftsinformatik, Osnabrück, Germany, 4–6 March 2015; pp. 1542–1556. [Google Scholar]
- Cabero-Almenara, J.; Fernández-Batanero, J.M.; Barroso-Osuna, J. Adoption of augmented reality technology by university students. Heliyon 2019, 5, e01597. [Google Scholar] [CrossRef] [PubMed] [Green Version]
- Mishra, L.; Gupta, T.; Shree, A. Online teaching-learning in higher education during lockdown period of COVID-19 pandemic. Int. J. Educ. Res. Open 2020, 1, 100012. [Google Scholar] [CrossRef] [PubMed]



| Questions | Answer | Total | ||||||||||||
|---|---|---|---|---|---|---|---|---|---|---|---|---|---|---|
| 2019 | 2020 | 2019 | 2020 | 2019 | 2020 | 2019 | 2020 | 2019 | 2020 | 2019 | 2020 | 2019 | 2020 | |
| 1—How many times did you use the ARx App? | More than 5 times | 2–5 times | One time | 69 | 55 | |||||||||
| 12 | 29 | 33 | 20 | 24 | 6 | |||||||||
| 2—What device did you use for the ARx App? | Your own iPhone | Lab. provided iPad | 69 | 55 | ||||||||||
| 46 | 55 | 23 | 0 | |||||||||||
| 3—Was the ARx App easy to [Install?] | Very Easy | Easy | Average | 69 | 55 | |||||||||
| 59 | 49 | 7 | 5 | 3 | 1 | |||||||||
| 3—Was the ARx App easy to [Scan QR codes?] | Very Easy | Easy | Average | 69 | 55 | |||||||||
| 50 | 49 | 16 | 4 | 3 | 2 | |||||||||
| 3—Was the ARx App easy to [Operate?] | Very Easy | Easy | Average | Difficult | 69 | 55 | ||||||||
| 46 | 44 | 13 | 7 | 8 | 4 | 2 | 0 | |||||||
| 4—How confident were you during conducting your lab(s) with the ARx App assistance? | 5 | 4 | 3 | 2 | 1 | 69 | 55 | |||||||
| 36 | 45 | 24 | 6 | 4 | 4 | 4 | 0 | 1 | 0 | |||||
| 5—Which part of the App did you use most? | Lab Notes | Videos | Formulation Section | Tips | Precautions | Calculation Section | 69 | 55 | ||||||
| 7 | 2 | 43 | 40 | 7 | 5 | 5 | 2 | 2 | 2 | 5 | 4 | |||
| 6—Did you watch the instructional videos more than once? | More than 5 videos | 2–5 videos | 1 video | None | 69 | 55 | ||||||||
| 20 | 17 | 29 | 31 | 17 | 7 | 3 | 0 | |||||||
| 7—During the experiment(s), what was the most helpful resource? [ARx App] | Most | More | Average | Less | Least | 69 | 55 | |||||||
| 23 | 42 | 19 | 5 | 17 | 6 | 2 | 2 | 8 | 0 | |||||
| 7—During the experiment(s), what was the most helpful resource? [Lab Notes] | Most | More | Average | Less | Least | 69 | 55 | |||||||
| 21 | 10 | 20 | 10 | 21 | 31 | 6 | 4 | 1 | 0 | |||||
| 7—During the experiment(s), what was the most helpful resource? [Asking Instructor] | Most | More | Average | Less | Least | 69 | 55 | |||||||
| 25 | 29 | 19 | 9 | 19 | 15 | 1 | 2 | 5 | 0 | |||||
| 8—What did you like best about the ARx App? | All of the above | Made me familiar with the chemicals | Got me prepared for what I was about to do | Gave me hints and tips | Provided faster interactive answers | None of the above | 69 | 55 | ||||||
| 38 | 44 | 11 | 0 | 12 | 9 | 4 | 0 | 2 | 2 | 2 | 0 | |||
| 9—Shall we continue using the ARx App in the following years and enhance it? | Yes | No | 69 | 55 | ||||||||||
| 68 | 55 | 1 | 0 | |||||||||||
| 10—How can we improve your experience as a student? (Optional) | Android version | Make the videos more easily accessible | Tutorial | Encourage more use | 30 | 0 | ||||||||
| 20 | 0 | 6 | 0 | 3 | 0 | 1 | 0 | |||||||
Publisher’s Note: MDPI stays neutral with regard to jurisdictional claims in published maps and institutional affiliations. |
© 2022 by the authors. Licensee MDPI, Basel, Switzerland. This article is an open access article distributed under the terms and conditions of the Creative Commons Attribution (CC BY) license (https://creativecommons.org/licenses/by/4.0/).
Share and Cite
Nounou, M.I.; Eassa, H.A.; Orzechowski, K.; Eassa, H.A.; Edouard, J.; Stepak, N.; Khdeer, M.; Kalam, M.; Huynh, D.; Kwarteng, E.; et al. Mobile-Based Augmented Reality Application in Pharmacy Schools Implemented in Pharmaceutical Compounding Laboratories: Students’ Benefits and Reception. Pharmacy 2022, 10, 72. https://doi.org/10.3390/pharmacy10040072
Nounou MI, Eassa HA, Orzechowski K, Eassa HA, Edouard J, Stepak N, Khdeer M, Kalam M, Huynh D, Kwarteng E, et al. Mobile-Based Augmented Reality Application in Pharmacy Schools Implemented in Pharmaceutical Compounding Laboratories: Students’ Benefits and Reception. Pharmacy. 2022; 10(4):72. https://doi.org/10.3390/pharmacy10040072
Chicago/Turabian StyleNounou, Mohamed Ismail, Heba A. Eassa, Kamila Orzechowski, Hadeer A. Eassa, Jerry Edouard, Nicole Stepak, Mohammad Khdeer, Mohammed Kalam, Diana Huynh, Eric Kwarteng, and et al. 2022. "Mobile-Based Augmented Reality Application in Pharmacy Schools Implemented in Pharmaceutical Compounding Laboratories: Students’ Benefits and Reception" Pharmacy 10, no. 4: 72. https://doi.org/10.3390/pharmacy10040072
APA StyleNounou, M. I., Eassa, H. A., Orzechowski, K., Eassa, H. A., Edouard, J., Stepak, N., Khdeer, M., Kalam, M., Huynh, D., Kwarteng, E., Mohamed, K. H. A., Helal, N. A., Ahmed, N. A., Edafiogho, I. O., & Ghoneim, O. (2022). Mobile-Based Augmented Reality Application in Pharmacy Schools Implemented in Pharmaceutical Compounding Laboratories: Students’ Benefits and Reception. Pharmacy, 10(4), 72. https://doi.org/10.3390/pharmacy10040072

