Exploring Bilingual Adaptation to Structural Innovations: Evidence from Canadian French
Abstract
1. Introduction
1.1. Adaptation to Structural Innovations in L1 and L2 Research
1.2. Acceptability of Structural Innovations in Bilinguals (No Adaptation)
1.3. The Present Study
1.3.1. Our Structures
| (1) | a. | The | manAGENT | gives | a | presentTHEME | to | the | womanRECIPIENT | (PO) |
| b. | The | manAGENT | gives | the | womanRECIPIENT | a | presentTHEME | (DO) |
| (2) | a. | L’ | hommeAGENT | donne | un | cadeauTHEME | à | la | femmeRECIPIENT | (PO canonical word order) |
| the | man | gives | a | present | to | the | woman | |||
| ‘The man gives a present to the woman.’ | ||||||||||
| b. | L’ | hommeAGENT | donne | à | la | femmeRECIPIENT | un | cadeauTHEME | (PO scrambled word order) | |
| the | man | gives | to | the | woman | a | present | |||
| ‘The man gives a present to the woman.’ | ||||||||||
| (3) | a. | The | boy | obeys | the | teacher. | |
| b. | The | girl | plays | the | guitar. | ||
| (4) | a. | Le | garçon | obéit | à | la | professeure. |
| the | boy | obeys | PREP | the | teacher | ||
| ‘The boy obeys the teacher.’ | |||||||
| b. | La | fille | joue | de | la | guitare. | |
| the | girl | plays | PREP | the | guitar | ||
| ‘The girl plays the guitar.’ | |||||||
| (5) | The | two | friends | hug. | ||
| (6) | Les | deux | amis | s’ | embrassent | |
| the | two | friends | REFL | hug | ||
| ‘The two friends hug.’ | ||||||
| (7) | He | puts | them | on | the | table. | |
| (8) | Il | les | met | sur | la | table. | |
| he | them | puts | on | the | table | ||
| ‘He puts them on the table.’ | |||||||
1.3.2. Research Questions and Hypotheses
2. Methodology
2.1. Participants
French Score: Canadian Bilinguals on a Continuum of Contact with French
2.2. Items
2.3. Design
2.4. Procedure
2.5. Predictions
2.6. Data Preprocessing and Analysis
3. Results
3.1. Ditransitives
3.1.1. Ratings
- (1)
- Rating ~ Condition + French Score + Trial Number + Condition: French Score + Condition: Trial Number + French Score: Trial Number + Condition: French Score: Trial Number + (1 + Condition + Trial Number | Participant) + (1 | Item)
3.1.2. Response Times
- (2)
- Log RT ~ Condition + French Score + Trial Number + Condition: French Score + Condition: Trial Number + French Score: Trial Number + Condition: French Score: Trial Number + (1 + Condition + Trial Number | Participant) + (1 | Item)
3.2. Monotransitives
3.2.1. Ratings
- (3)
- Rating ~ Condition + French Score + Trial Number + Condition: French Score + Condition: Trial Number + French Score: Trial Number + Condition: French Score: Trial Number + (1 + Condition | Participant) + (1 + French Score | Item)
3.2.2. Response Times
- (4)
- Log RT ~ Condition + French Score + Trial Number + Condition: French Score + Condition: Trial Number + French Score: Trial Number + Condition: French Score: Trial Number + (1 + Trial Number | Participant) + (1 | Item)
3.3. Reciprocals
3.3.1. Ratings
- (5)
- Rating ~ Condition + French Score + Trial Number + Condition: French Score + Condition: Trial Number + French Score: Trial Number + Condition: French Score: Trial Number + (1 + Condition | Participant) + (1 + Condition + French Score | Item)
3.3.2. Response Times
- (6)
- Log RT ~ Condition + French Score + Trial Number + Condition: French Score + Condition: Trial Number + French Score: Trial Number + Condition: French Score: Trial Number + (1 + Condition + Trial Number | Participant) + (1 | Item)
3.4. Object Clitics
3.4.1. Ratings
- (7)
- Rating ~ Condition + French Score + Trial Number + Condition: French Score + Condition: Trial Number + French Score: Trial Number + Condition: French Score: Trial Number + (1 + Condition | Participant) + (1 + Condition + French Score | Item)
3.4.2. Response Times
- (8)
- Log RT ~ Condition + French Score + Trial Number + Condition: French Score + Condition: Trial Number + French Score: Trial Number + Condition: French Score: Trial Number + (1 + Condition + Trial Number | Participant) + (1 | Item)
4. Discussion
4.1. Differences in Acceptability Ratings and RTs for Innovations Across Structures
4.2. Adaptation to Different Types of Innovations Across Trials
4.3. The Role of French Score in Acceptability of and Adaptation to Innovations
5. Conclusions
Author Contributions
Funding
Institutional Review Board Statement
Informed Consent Statement
Data Availability Statement
Conflicts of Interest
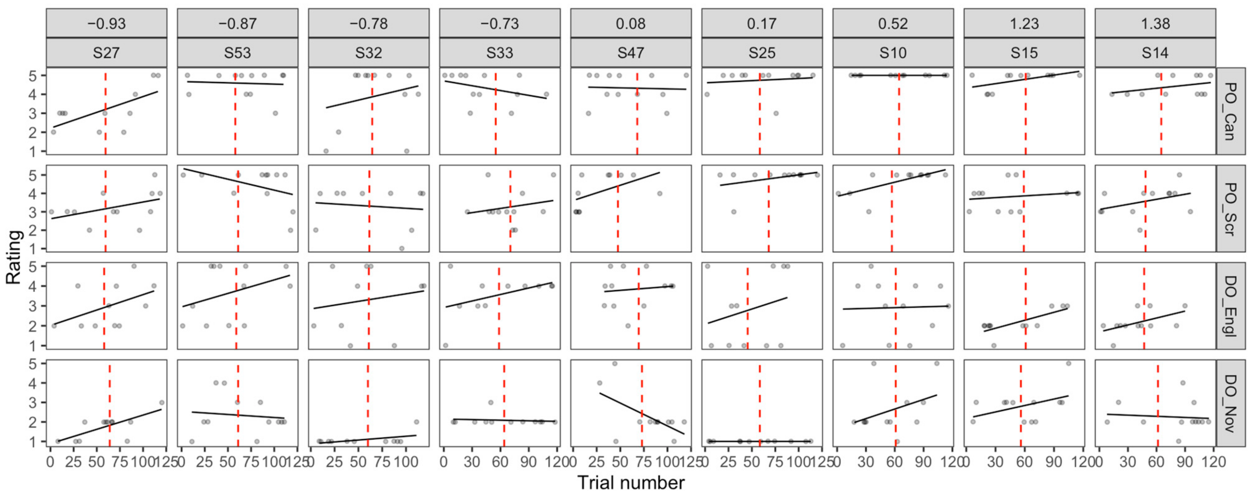
Appendix A. Post-Hoc Analysis: Individual Ratings Across Trials
Appendix A.1. Ditransitives


| Participants (N = Raw Counts) | Condition(s) |
|---|---|
| S25, S32, S33, S53 (N = 4) | DO_Engl |
| S14, S15, S47 (N = 3) | DO_Engl + PO_Scr |
| S27 (N = 1) | DO_Engl + PO_Can |
| S10 (N = 1) | DO_Engl + DO_Nov |
Appendix A.2. Monotransitives


| Participants (N = Raw Counts) | Condition(s) |
|---|---|
| S1, S14, S2, S22, S28, S30, S32, S43, S44, S45, S54, S55, S6, S8 (N = 14) | Innov_Engl |
| S52 (N = 1) | Innov_Engl + Standard_Fr |
Appendix A.3. Reciprocals


| Participants (N = Raw Counts) | Condition(s) |
|---|---|
| S1, S14, S15, S22, S3, S37, S54, S59, S6 (N = 9) | Innov_Engl |
| S18 (N = 1) | Innov_Engl + Standard_Fr |
Appendix A.4. Object Clitics


| Participants (N = Raw Counts) | Condition(s) |
|---|---|
| S40, S42, S44, S50 (N = 4) | Innov_Engl |
| S26, S27, S49 (N = 3) | Innov_Engl + Standard_Fr |
| 1 | Based on the definition of innovation given by Andersen (1989) as cited in Fernández et al. (2017, p. 253): “any element of usage (or grammars) which differs from previous usage (or grammars)”. |
| 2 | According to the authors, they are “simply less frequent structural types” (p. 453). |
| 3 | There is no evidence that the produced structure is entirely novel in Papiamento. The authors just highlight that it is never encountered in the speech of Papiamento speakers outside of the Netherlands, who prefer to produce double object datives, e.g., Obi ta duna Pieter e buki ‘Obi gives Pieter a book’. |
| 4 | DOM omissions also appear in monolingual contexts (Bullock and Toribio (2004) for Dominican Spanish, Alfaraz (2011) for Cuban Spanish as cited in Regulez and Montrul (2023)). |
| 5 | Individuals who were born outside of the US and immigrated as adults. |
| 6 | Across the three groups, HSs were classified either as simultaneous or as sequential. In the Spanish group, simultaneous HSs were born in the US and acquired English between the ages of 0 and 5, while sequential HSs immigrated to the US between 5 and 13. In the Hindi group, there were only simultaneous HSs who were born in the US or immigrated before the age of 3 and acquired English in early childhood. In the Romanian group, simultaneous HSs were born in the US or immigrated before the age of 5, while sequential HSs immigrated to the US between 7 and 14. |
| 7 | Early bilinguals acquired both languages by the age of 10 and used both languages since childhood. Late bilinguals had intensive exposure to English after the age of 10. |
| 8 | If causative innovations yielded similarly high ratings as the fully novel structures, then it could be due to the flexibility of bilingual grammars in general rather than influence from English. |
| 9 | Italian-dominant bilinguals grew up in Italy and had never spent more than six consecutive months in Germany. German-dominant bilinguals grew up in Germany and had spent between two consecutive months and six consecutive years in Italy. L2ers grew up in Germany and had spent either no time or up to 14 consecutive years in Italy. |
| 10 | |
| 11 | They started acquiring the L2 from the age of 6 on. |
| 12 | Following Langsford et al. (2019), we chose ‘natural’ over ‘acceptable’ in our task description because we realized that the former is more specific and seems to be more appropriate for our purposes: we are interested in how Canadian bilinguals perceive these innovations knowing that some of them might already be part of their input. The specification about what is ‘natural’ is an adaptation from Bross (2019), who provides phrasing suggestions for such tasks. |
| 13 | Following a suggestion from an anonymous reviewer, monotransitives, reciprocals, and object clitics were initially put in one model with structure type as the predictor. Since structure type was shown to interact significantly with Condition, we decided to build three different models to explore the patterns separately within each structure. A script with the combined analysis is on OSF. |
| 14 | Following a reviewer’s suggestion, we compared a model without Condition to the final model used here, and the latter was significantly better (AIC: 6216 vs. 8854 for the model without Condition). This indicates a main effect of Condition, so we conducted pairwise comparisons via emmeans() to see the differences between all condition levels. |
| 15 | Similarly to the ratings analysis, we extracted the main effect of Condition to be able to report the pairwise comparisons here. This time, we performed an omnibus Anova test on the final model via the Anova() function, since it works for linear mixed models but not for cumulative link mixed models. Anova showed a significant main effect of Condition on response times (χ2(3) = 22.17, p < 0.0001). |
| 16 | An anonymous reviewer pointed out that the low acceptability of post-verbal clitics could be due to the fact that French clitics are not equivalent to strong pronouns in English. |
| 17 | In monotransitives, innovative sentences with jouer à (to play sports) did not correspond exactly to the English structure, i.e., Le garçon joue le hockey ‘The boy plays the hockey’ instead of Le garçon joue hockey ‘The boy plays hockey’. As an anonymous reviewer pointed out, this makes claims about CLI leading to higher ratings for this particular innovation even less likely. |
References
- Alfaraz, Gabriela G. 2011. Accusative object marking: A change in progress in Cuban Spanish? Spanish in Context 8: 213–34. [Google Scholar] [CrossRef]
- Andersen, Henning. 1989. Understanding linguistic innovations. In Language Change: Contributions to The Study of Its Causes. Edited by Leiv E. Breivik and Ernst H. Jahr. Berlin: de Gruyter, pp. 5–27. [Google Scholar]
- Anwyl-Irvine, Alexander L., Jessica Massonnié, Adam Flitton, Natasha Kirkham, and Jo K. Evershed. 2020. Gorilla in our midst: An online behavioral experiment builder. Behavior Research Methods 52: 388–407. [Google Scholar] [CrossRef] [PubMed]
- Baayen, R. Harald, and Petar Milin. 2010. Analyzing reaction times. International Journal of Psychological Research 3: 12–28. [Google Scholar] [CrossRef]
- Barr, Dale J., Roger Levy, Christoph Scheepers, and Harry J. Tily. 2013. Random effects structure for confirmatory hypothesis testing: Keep it maximal. Journal of Memory and Language 68: 255–78. [Google Scholar] [CrossRef]
- Bates, Douglas, Ben Bolker, and Steve Walker. 2015. Fitting linear mixed-effects models using lme4. Journal of Statistical Software 67: 1–48. [Google Scholar] [CrossRef]
- Bock, J. Kathryn. 1986. Syntactic persistence in language production. Cognitive Psychology 18: 355–87. [Google Scholar] [CrossRef]
- Bradlow, Ann R., and Tessa Bent. 2008. Perceptual adaptation to non-native speech. Cognition 106: 707–29. [Google Scholar] [CrossRef]
- Bross, Fabian. 2019. Acceptability Ratings in Linguistics: A Practical Guide to Grammaticality Judgments, Data Collection, and Statistical Analysis. Version 1.0.2. Mimeo. [Google Scholar]
- Brysbaert, Marc. 2013. Lextale_FR: A fast, free, and efficient test to measure language proficiency in French. Psychologica Belgica 53: 23–37. [Google Scholar] [CrossRef]
- Bullock, Barbara E., and Almeida J. Toribio. 2004. Introduction: Convergence as an emergent property in bilingual speech. Bilingualism: Language and Cognition 7: 91–93. [Google Scholar] [CrossRef]
- Carando, Agustina. 2015. Convergence in Spanish–English Bilinguals: Evidence from Structural Priming. Unpublished Doctoral dissertation, Graduate Center, City University of New York, New York, NY, USA. [Google Scholar]
- Christensen, Rune Haubo Bojesen. 2023. Regression Models for Ordinal Data. [R package ordinal version 2023.12–4]. Available online: https://cran.r-project.org/web/packages/ordinal/index.html (accessed on 30 November 2024).
- Do, Monica, Elsi Kaiser, and Maria Luisa Zubizarreta. 2016. Spanish speakers’ acquisition of English subject-verb inversion: Evidence from satiation. In 13th Generative Approaches to Second Language Acquisition (GASLA 2015). Edited by David Stringer, John Garrett, Becky Halloran and Sabrina Mossman. Somerville: Cascadilla Proceedings Project, pp. 45–59. [Google Scholar]
- Farmer, Thomas, Alex Fine, Shaorong Yan, Spyridoula Cheimariou, and Florian Jaeger. 2014. Error-driven adaptation of higher-level expectations during reading. Proceedings of the Annual Meeting of the Cognitive Science Society 36: 2181–86. [Google Scholar]
- Fernández, Eva M., Ricardo Augusto De Souza, and Agustina Carando. 2017. Bilingual innovations: Experimental evidence offers clues regarding the psycholinguistics of language change. Bilingualism: Language and Cognition 20: 251–68. [Google Scholar] [CrossRef]
- Fine, Alex B., T. Florian Jaeger, Thomas A. Farmer, and Ting Qian. 2013. Rapid expectation adaptation during syntactic comprehension. PLoS ONE 8: e77661. [Google Scholar] [CrossRef] [PubMed]
- Fox, Cynthia. 2004. La restructuration grammaticale en franco-américain. Paper presented at the Colloque international Grammaire comparée des variétés de français d’Amérique, Université d’Avignon, Avignon, France, May 16–20; pp. 16–20. [Google Scholar]
- Francom, Jerid. 2009. Experimental syntax: Exploring the effect of repeated exposure to anomalous syntactic structure—Evidence from rating and reading tasks. Ph.D. dissertation, University of Arizona, Tucson, AZ, USA. [Google Scholar]
- Fraundorf, Scott H., and T. Florian Jaeger. 2016. Readers generalize adaptation to newly-encountered dialectal structures to other unfamiliar structures. Journal of Memory and Language 91: 28–58. [Google Scholar] [CrossRef] [PubMed]
- Gadet, Françoise, and Mari Jones. 2008. Variation, contact and convergence in French spoken outside France. Journal of Language Contact 2: 238–48. [Google Scholar] [CrossRef]
- Guijarro-Fuentes, Pedro, and Theodoros Marinis. 2007. Acquiring phenomena at the syntax/semantics interface in L2 Spanish: The personal preposition a. Eurosla Yearbook 7: 67–88. [Google Scholar] [CrossRef]
- Hartsuiker, Robert J., and Martin J. Pickering. 2008. Language integration in bilingual sentence production. Acta Psychologica 128: 479–89. [Google Scholar] [CrossRef]
- Higby, Eva. 2016. Native language adaptation to novel verb argument structures by Spanish–English bilinguals: An electrophysiological investigation. Doctoral dissertation, Graduate Center, City University of New York, New York, NY, USA. [Google Scholar]
- Hopp, Holger, and Carrie N. Jackson. 2023. Asymmetrical effects of cross-linguistic structural priming on cross-linguistic influence in L2 learners. Applied Psycholinguistics 44: 205–36. [Google Scholar] [CrossRef]
- Hsin, Lisa, Géraldine Legendre, and Akira Omaki. 2013. Priming cross-linguistic interference in Spanish–English bilingual children. Paper presented at 37th Annual Boston University Conference on Language Development, Boston, MA, USA, November 2–4; Somerville: Cascadilla Press, pp. 165–77. [Google Scholar]
- Ilen, Hanife, Gunnar Jacob, and Helen Engemann. 2023. Cross-linguistic ungrammatical priming in Turkish-German bilinguals. Paper presented at UniKon International PhD Conference on Multilingual Acquisition, Constance, Germany, October 12–13. [Google Scholar]
- Ivanova, Iva, Martin J. Pickering, Janet F. McLean, Albert Costa, and Holly P. Branigan. 2012. How do people produce ungrammatical utterances? Journal of Memory and Language 67: 355–70. [Google Scholar] [CrossRef]
- Kaan, Edith, and Eunjin Chun. 2018a. Priming and adaptation in native speakers and second-language learners. Bilingualism: Language and Cognition 21: 228–42. [Google Scholar] [CrossRef]
- Kaan, Edith, and Eunjin Chun. 2018b. Syntactic adaptation. In Psychology of Learning and Motivation. Cambridge: Academic Press, vol. 68, pp. 85–116. [Google Scholar]
- Kaan, Edith, Corinne Futch, Raquel Fernández Fuertes, Sonja Mujcinovic, and Esther Álvarez De La Fuente. 2019. Adaptation to syntactic structures in native and nonnative sentence comprehension. Applied Psycholinguistics 40: 3–27. [Google Scholar] [CrossRef]
- Kaschak, Michael P., and Arthur M. Glenberg. 2004. This construction needs learned. Journal of Experimental Psychology General 133: 450–67. [Google Scholar] [CrossRef] [PubMed]
- Kootstra, Gerrit Jan, and Hülya Şahin. 2018. Crosslinguistic structural priming as a mechanism of contact-induced language change: Evidence from Papiamento-Dutch bilinguals in Aruba and the Netherlands. Language 94: 902–30. [Google Scholar] [CrossRef]
- Kupisch, Tanja. 2012. Specific and generic subjects in the Italian of German–Italian simultaneous bilinguals and L2 learners. Bilingualism: Language and Cognition 15: 736–56. [Google Scholar] [CrossRef]
- Kupisch, Tanja. 2014. Adjective placement in simultaneous bilinguals (German–Italian) and the concept of cross-linguistic overcorrection. Bilingualism: Language and Cognition 17: 222–33. [Google Scholar] [CrossRef]
- Kupisch, Tanja, Tatjana Lein, Dagmar Barton, Dawn Judith Schröder, Ilse Stangen, and Antje Stoehr. 2014. Acquisition outcomes across domains in adult simultaneous bilinguals with French as weaker and stronger language. Journal of French Language Studies 24: 347–76. [Google Scholar] [CrossRef]
- Langsford, Steven, Rachel G. Stephens, John C. Dunn, and Richard L. Lewis. 2019. In search of the factors behind naive sentence judgments: A state trace analysis of grammaticality and acceptability ratings. Frontiers in Psychology 10: 2886. [Google Scholar] [CrossRef]
- Lemhöfer, Kristin, and Mirjam Broersma. 2012. Introducing LexTALE: A quick and valid lexical test for advanced learners of English. Behavior Research Methods 44: 325–43. [Google Scholar] [CrossRef]
- Lenth, Russell, Henrik Singmann, Jonathon Love, Paul Buerkner, and Maxime Herve. 2018. Package “Emmeans”. R Package Version 4.0–3. Available online: https://cran.r-project.org/web/packages/emmeans/index.html (accessed on 30 November 2024).
- Loebell, Helga, and Kathryn Bock. 2003. Structural priming across languages. Linguistics 41: 791–824. [Google Scholar] [CrossRef]
- Luka, Barbara J., and Lawrence W. Barsalou. 2005. Structural facilitation: Mere exposure effects for grammatical acceptability as evidence for syntactic priming in comprehension. Journal of Memory and Language 52: 436–59. [Google Scholar] [CrossRef]
- Marian, Viorica, Henrike K. Blumenfeld, and Margarita Kaushanskaya. 2007. The Language Experience and Proficiency Questionnaire (LEAP-Q): Assessing language profiles in bilinguals and multilinguals. Journal of Speech, Language, and Hearing Research 50: 940–67. [Google Scholar] [CrossRef]
- Metzing, Charles, and Susan E. Brennan. 2003. When conceptual pacts are broken: Partner-specific effects on the comprehension of referring expressions. Journal of Memory and Language 49: 201–13. [Google Scholar] [CrossRef]
- Montrul, Silvina. 2001. First-language-constrained variability in the second-language acquisition of argument-structure-changing morphology with causative verbs. Second Language Research 17: 144–94. [Google Scholar] [CrossRef]
- Montrul, Silvina. 2010. Dominant language transfer in adult second language learners and heritage speakers. Second Language Research 26: 293–327. [Google Scholar] [CrossRef]
- Montrul, Silvina. 2019. The acquisition of differential object marking in Spanish by Romanian speakers. ”Revista Española de Lingüística Aplicada/Spanish Journal of Applied Linguistics 32: 185–219. [Google Scholar] [CrossRef]
- Montrul, Silvina, and Melissa Bowles. 2009. Back to basics: Differential object marking under incomplete acquisition in Spanish heritage speakers. Bilingualism 12: 363–83. [Google Scholar] [CrossRef]
- Montrul, Silvina, and Tania Ionin. 2010. Transfer effects in the interpretation of definite articles by Spanish heritage speakers. Bilingualism: Language and Cognition 13: 449–73. [Google Scholar] [CrossRef]
- Montrul, Silvina, Rakesh Bhatt, and Roxana Girju. 2015. Differential object marking in Spanish, Hindi, and Romanian as heritage languages. Language 91: 564–610. [Google Scholar]
- Mougeon, Raymond, Terry Nadasdi, and Katherine Rehner. 2005. Contact-induced linguistic innovations on the continuum of language use: The case of French in Ontario. Bilingualism: Language and Cognition 8: 99–115. [Google Scholar] [CrossRef]
- Neumann-Holzschuh, Ingrid. 2009. Contact-induced structural change in Acadian and Louisiana French: Mechanisms and motivations. Langage & Société 3: 47–68. [Google Scholar]
- Nicoladis, Elena. 2002. The cues that children use in acquiring adjectival phrases and compound nouns: Evidence from bilingual children. Brain and Language 81: 635–48. [Google Scholar] [CrossRef]
- Nicoladis, Elena. 2003. Cross-linguistic transfer in deverbal compounds of preschool bilingual children. Bilingualism: Language and Cognition 6: 17–31. [Google Scholar] [CrossRef]
- Nicoladis, Elena. 2006. Cross-linguistic transfer in adjective-noun strings by preschool bilingual children. Bilingualism: Language and Cognition 9: 15–32. [Google Scholar] [CrossRef]
- Phillips, Ian. 2018. Cross-linguistic Structural Priming in Heritage Spanish Speakers: The Effects of Exposure to English on the Processing of Preposition Stranding in Spanish. Paper presented at 42nd Annual Boston University Conference on Language Development, Boston, MA, USA, November 3–5; Somerville: Cascadilla Press, pp. 618–31. [Google Scholar]
- R Core Team. 2023. R: A Language and Environment for Statistical Computing. Vienna: R Foundation for Statistical Computing. Available online: https://www.R-project.org/ (accessed on 30 November 2024).
- Raiche, Gilles, and David Magis. 2022. Parallel Analysis and Other Non Graphical Solutions to the Cattell Scree Test [R package nFactors version 2.4.1.1]. Available online: https://cran.r-project.org/web/packages/nFactors/index.html (accessed on 30 November 2024).
- Regulez, Begoña Arechabaleta, and Silvina Montrul. 2023. Production, acceptability, and online comprehension of Spanish differential object marking by heritage speakers and L2 learners. Frontiers in Psychology 14: 1106613. [Google Scholar] [CrossRef]
- Serratrice, Ludovica, Antonella Sorace, Francesca Filiaci, and Michela Baldo. 2009. Bilingual children’s sensitivity to specificity and genericity: Evidence from metalinguistic awareness. Bilingualism: Language and Cognition 12: 239–57. [Google Scholar] [CrossRef]
- Snyder, William. 2000. An experimental investigation of syntactic satiation effects. Linguistic Inquiry 31: 575–82. [Google Scholar] [CrossRef]
- Snyder, William. 2022. On the nature of syntactic satiation. Languages 7: 38. [Google Scholar] [CrossRef]
- Thibault, André. 2022. French Outside Europe. In Oxford Research Encyclopedia of Linguistics. Oxford: Oxford University Press. [Google Scholar]
- Van Dijk, Chantal, and Sharon Unsworth. 2023. On the relation between cross-linguistic influence, between-language priming and language proficiency: Priming of ungrammatical adjective placement in bilingual Spanish-Dutch and French-Dutch children. Open Mind 7: 732–56. [Google Scholar] [CrossRef]
- White, Lydia. 2003. Second Language Acquisition and Universal Grammar. Cambridge: Cambridge University Press. [Google Scholar]
- Zajonc, Robert B. 2001. Mere exposure: A gateway to the subliminal. Current Directions in Psychological Science 10: 224–28. [Google Scholar] [CrossRef]
- Zervakis, Jennifer, and Reiko Mazuka. 2013. Effect of repeated evaluation and repeated exposure on acceptability ratings of sentences. Journal of Psycholinguistic Research 42: 505–25. [Google Scholar] [CrossRef]
























| Group | Mean % Correct in French LexTALE (SD) | Mean % Correct in English LexTALE (SD) |
|---|---|---|
| Early bilinguals (n = 26) | 63.1 (10.9) | 91.9 (10.9) |
| L1 English–L2 French (n = 19) | 58.1 (10.1) | 97.4 (3.1) |
| L1 French–L2 English (n = 17) | 85.5 (6.6) | 90.2 (7.6) |
| Standard (Grammatical) Variants in French | Innovations | ||
|---|---|---|---|
| PO with canonical word order (PO_Can) | PO with scrambled word order (PO_Scr) | DO with English word order (DO_Engl) | DO with novel word order (DO_Nov) |
| Il donne un cadeau à la femme. ‘He gives a present to the woman.’ | Il donne à la femme un cadeau. ‘He gives to the woman a present.’ | Il donne la femme un cadeau. ‘He gives the woman a present.’ | Il donne un cadeau la femme. ‘He gives a present the woman.’ |
| Structure | Standard_Fr | Innov_Engl |
|---|---|---|
| Monotransitives with à/de-marked direct objects | Le garçon obéit a la professeure ‘The boy obeys PREP the teacher.’ | Le garçon obéit la professeure. ‘The boy obeys the teacher.’ |
| Reciprocals | Les deux amis s’embrassent. ‘The two friends REFL hug.’ | Les deux amis embrassent. ‘The two friends hug.’ |
| Object clitics | Il les met sur la table. ‘He them puts on the table.’ | Il met les sur la table. ‘He puts them on the table.’ |
Disclaimer/Publisher’s Note: The statements, opinions and data contained in all publications are solely those of the individual author(s) and contributor(s) and not of MDPI and/or the editor(s). MDPI and/or the editor(s) disclaim responsibility for any injury to people or property resulting from any ideas, methods, instructions or products referred to in the content. |
© 2024 by the authors. Licensee MDPI, Basel, Switzerland. This article is an open access article distributed under the terms and conditions of the Creative Commons Attribution (CC BY) license (https://creativecommons.org/licenses/by/4.0/).
Share and Cite
Karkaletsou, F.; Kholodova, A.; Allen, S.E.M. Exploring Bilingual Adaptation to Structural Innovations: Evidence from Canadian French. Languages 2024, 9, 375. https://doi.org/10.3390/languages9120375
Karkaletsou F, Kholodova A, Allen SEM. Exploring Bilingual Adaptation to Structural Innovations: Evidence from Canadian French. Languages. 2024; 9(12):375. https://doi.org/10.3390/languages9120375
Chicago/Turabian StyleKarkaletsou, Foteini, Alina Kholodova, and Shanley E. M. Allen. 2024. "Exploring Bilingual Adaptation to Structural Innovations: Evidence from Canadian French" Languages 9, no. 12: 375. https://doi.org/10.3390/languages9120375
APA StyleKarkaletsou, F., Kholodova, A., & Allen, S. E. M. (2024). Exploring Bilingual Adaptation to Structural Innovations: Evidence from Canadian French. Languages, 9(12), 375. https://doi.org/10.3390/languages9120375

