AAiMLL: Acquisition Advantages in MultiLingual Learners: The Case of the Multilingual Child
Abstract
:1. Introduction
2. Achievements of Cognitive Science and Linguistics
2.1. The Multilingual Cognitive Advantage
2.2. Separation of Vocabulary and Grammatical Knowledge and Negotiation of Multilingual Environments—But No Linguistic Advantage
2.3. Summary of Previous Research
3. First Indications of a Multilingual Linguistic Advantage
3.1. Transparency as a Useful Concept?
3.2. Shared Structures as a Useful Concept?
3.3. The Explanation Gap
4. AAiMLL (Acquisition Advantages in MultiLingual Learners)
- Macroparameters—account for huge typological differences between languages, and express the presence of a grammatical feature (i.e., f) everywhere (i.e., on all syntactic categories) or nowhere (Baker 2008);
- Mesoparameters—only some functional heads share f (Borer 1984), e.g., all verbal heads;
- Microparameters—a subclass of a functional head (e.g., modal auxiliary verbs) shares f (Kayne 2000; Cardinaletti 2014; Rizzi 2014);
- Nanoparameters—lexical items are equipped with f, like for the English adverb enough, following rather than preceding the modified adjective (Biberauer et al. 2014, p. 110).
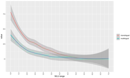
5. How We Observed Acceleration Effects in Multilingual Children: A Case Study
6. AAiMLL Applied to Other Language Combinations
7. AAiMLL Applied to Other Acquisition Contexts
8. Discussion and Conclusions
Funding
Institutional Review Board Statement
Informed Consent Statement
Data Availability Statement
Conflicts of Interest
| 1 | Valian (1990) points out that the acquisition data are not compatible with the ‘switch metaphor’ of parameters, according to which children will select one of two values of a parameter at a time, during the process of language acquisition. In addition, the child is exposed to misleading input. She suggests that both problems can be solved if the child initially holds both ‘+’ and ‘-’ values of the (null subject) parameter. She does not revise the notion of parameter, though. | 
| 2 | I am grateful to Dr. Andreas Opitz for his help with respect to the statistics. The observation that the multilingual children are accelerated from an MLU of 1.0 onwards is his. | 
References
- Almeida, Laetitia, Yvan Rose, and M. João Freitas. 2012. Prosodic Influence in Bilingual Phonological Development. Evidence from a Portuguese-French First Language Learner. Paper presented at 36th Annual Boston University Conference on Language Development, Boston, MA, USA, November 4–6; Edited by Alia K. Biller, Esther Y. Chung and Amelia E. Kimball. Somerville: Cascadilla Press, pp. 42–52. [Google Scholar]
- Arnaus Gil, Laia, and Natascha Müller. 2018. French postverbal subjects: A comparison of monolingual, bilingual, trilingual and multilingual French. Languages 3: 29. [Google Scholar] [CrossRef]
- Arnaus Gil, Laia, and Natascha Müller. 2020. When grammar doesn’t mind: Acceleration and delay in bilingual, trilingual and multilingual German-Romance children: Finite verb placement in German. Linguistic Approaches to Bilingualism 10: 530–58. [Google Scholar] [CrossRef]
- Arnaus Gil, Laia, Johanna Stahnke, and Natascha Müller. 2021. On the acquisition of French (null) subjects and (in)definiteness: Simultaneous and early sequential bi-, tri-and multilinguals. Probus 33: 181–225. [Google Scholar] [CrossRef]
- Arnaus Gil, Laia, Natascha Müller, Marina Hüppop, Meike Poeste Elena Scalise, Nadine Sette Abira Sivakumar, Mabel Tirado Espinosa, and Katharina Sonja Zimmermann. 2019. Frühkindlicher Trilinguismus. Französisch, Spanisch, Deutsch. Tübingen: Narr. [Google Scholar]
- Bailleul, Oksana. 2017. Aspects Psycholinguistiques du Développement du Bilinguisme précoce: Une Étude de cas d’un Enfant Bilingue Français-Russe de 2 à 4 ans. Rouen: University of Rouen Normandy. Available online: https://theses.hal.science/tel-01700913/document (accessed on 30 August 2023).
- Baker, Mark. 2008. The macroparameter in a microparametric world. In The Limits of Syntax Variation. Edited by Theresa Biberauer. Amsterdam: Benjamins, pp. 351–74. [Google Scholar] [CrossRef]
- Barbosa, Pilar. 2019. Pro as a minimal nP: Towards a unified approach to pro-drop. Linguistic Inquiry 50: 487–526. [Google Scholar] [CrossRef]
- Barron-Hauwaert, Suzanne. 2000. Issues surrounding trilingual families: Children with simultaneous exposure to three languages. Zeitschrift für Interkulturellen Fremdsprachenunterricht 5: 1–13. [Google Scholar]
- Bel, Aurora. 2003. The syntax of subjects in the acquisition of Spanish and Catalan. Probus 15: 1–26. [Google Scholar] [CrossRef]
- Bernardini, Petra, and Suzanne Schlyter. 2004. Growing syntactic structure and code-mixing in the weaker language: The Ivy Hypothesis. Bilingualism: Language and Cognition 7: 49–69. [Google Scholar] [CrossRef]
- Bialystok, Ellen. 2001. Bilingualism in Development. Language, Literacy, and Cognition. Cambridge: Cambridge University Press. [Google Scholar] [CrossRef]
- Bialystok, Ellen. 2009. Bilingualism: The good, the bad, and the indifferent. Bilingualism: Language and Cognition 12: 3–11. [Google Scholar] [CrossRef]
- Bialystok, Ellen, and Michelle M. Martin. 2004. Attention and inhibition in bilingual children: Evidence from the dimensional change card sort task. Developmental Science 7: 325–39. [Google Scholar] [CrossRef] [PubMed]
- Bialystok, Ellen, Fergus I. M. Craik, and Morris Freedman. 2007. Bilingualism as a protection against the onset of symptoms of dementia. Neuropsychologia 45: 459–64. [Google Scholar] [CrossRef] [PubMed]
- Biberauer, Theresa. 2019. Children always go beyond the input: The Maximise Minimal Means perspective. Theoretical Linguistics 45: 211–24. [Google Scholar] [CrossRef]
- Biberauer, Theresa, Anders Holmberg, Ian Roberts, and Michelle Sheenan. 2014. Complexity in comparative syntax: The view from modern parametric theory. In Measuring Grammatical Complexity. The View from Modern Parametric Theory. Edited by Frederick J. Newmeyer and Laurel B. Preston. Oxford: Oxford University Press, pp. 103–27. [Google Scholar] [CrossRef]
- Biró, Andrea. 2017. El sujeto y la cópula en la adquisición trilingüe del húngaro-español-catalán. Ph.D. thesis, Universitat Pompeu Fabra, Barcelona, Spain. Available online: http://hdl.handle.net/10803/456046 (accessed on 10 May 2023).
- Borer, Hagit. 1984. Parametric Syntax. Dordrecht: Foris. [Google Scholar] [CrossRef]
- Borer, Hagit. 1986. I-Subjects. Linguistic Inquiry 17: 375–416. Available online: https://www.jstor.org/stable/4178498 (accessed on 13 June 2023).
- Bosch, Laura, and Núria Sebastián-Gallés. 1997. Native-language recognition abilities in 4-month-old infants from monolingual and bilingual environments. Cognition 65: 33–69. [Google Scholar] [CrossRef] [PubMed]
- Bosch, Laura, and Núria Sebastián-Gallés. 2001. Early language differentiation in bilingual infants. In Trends in Bilingual Acquisition. Edited by Jasone Cenoz and Fred Genesee. Philadelphia: Benjamins, pp. 71–93. [Google Scholar] [CrossRef]
- Braun, Andreas, and Tony Cline. 2010. Trilingual families in mainly monolingual societies: Working towards a typology. International Journal of Multilingualism 7: 110–27. [Google Scholar] [CrossRef]
- Braun, Andreas, and Tony Cline. 2014. Language Strategies for Trilingual Families. Parents’ Perspectives. Bristol and Blue Ridge Summit: Multilingual Matters. [Google Scholar] [CrossRef]
- Brown, Roger. 1973. A First Language: The Early Stages. Cambridge: Havard University Press. [Google Scholar]
- Campbell, Ruth, and Efisia Sais. 1995. Accelerated metalinguistic (phonological) awareness in bilingual children. British Journal of Developmental Psychology 13: 61–68. [Google Scholar] [CrossRef]
- Cantone, Katja F. 2007. Code-Switching in Bilingual Children. Dordrecht: Springer. [Google Scholar]
- Cantone, Katja F. 2019. Language exposure in early bilingual and trilingual acquisition. International Journal of Multilingualism 19: 402–17. [Google Scholar] [CrossRef]
- Cardinaletti, Anna. 2014. Cross-linguistic variation in the syntax of subjects. In Linguistic Variation in the Minimalist Framework. Edited by M. Carme Picallo. Oxford: Oxford University Press, pp. 82–107. [Google Scholar] [CrossRef]
- Carlson, Stephanie M., and Andrew N. Meltzoff. 2008. Bilingual experience and executive functioning in young children. Developmental Science 11: 282–98. [Google Scholar] [CrossRef]
- Carroll, Susanne. 2017. Exposure and input in bilingual development. Bilingualism: Language and Cognition 20: 3–16. [Google Scholar] [CrossRef]
- Cenoz, Jasone, and Durk Gorter. 2021. Pedagogical Translanguaging. Cambridge: Cambridge University Press. [Google Scholar] [CrossRef]
- Champaud, Christian. 1994. The Development of Verb forms in French Children at around Two Years of Age: Some Comparisons with Romance and Non-Romance Languages. Paper presented at the First Lisbon Meeting on Child Language, Lisbon, Portugal, June 14–17. [Google Scholar]
- Chevalier, Sarah. 2015. Trilingual Language Acquisition. Contextual Factors Influencing Active Trilingualism in Early Childhood. Amsterdam: John Benjamins. [Google Scholar] [CrossRef]
- Chomsky, Noam. 1981. Lectures of Government and Binding. Dordrecht: Foris. [Google Scholar] [CrossRef]
- Chomsky, Noam. 1986. Knowledge of Language: Its Nature, Origin, and Use. New York: Praeger. [Google Scholar]
- Chomsky, Noam. 1993. Lectures on Government and Binding. The Pisa Lectures, 7th ed. Berlin: De Gruyter. [Google Scholar]
- Chomsky, Noam. 1994. Language and Problems of Knowledge. The Managua Lectures, 6th ed. Cambridge: MIT Press. [Google Scholar]
- Chomsky, Noam. 2005. Three factors in language design. Linguistic Inquiry 36: 1–22. Available online: http://www.jstor.org/stable/4179307 (accessed on 15 May 2023). [CrossRef]
- Clahsen, Harald. 1990. Constraints on parameter setting: A grammatical analysis of some acquisition stages in German child language. Language Acquisition 1: 361–91. Available online: http://www.jstor.org/stable/20011360 (accessed on 15 May 2023). [CrossRef]
- Clahsen, Harald, Jürgen M. Meisel, and Manfred Pienemann. 1983. Deutsch als Zweitsprache. Der Spracherwerb ausländischer Arbeiter. Tübingen: Narr. [Google Scholar]
- D’Aurizio, Laura, Isabel Silva Colaço, Laia Arnaus Gil, Johanna Stahnke, and Natascha Müller. 2023. e dis pas ça. Protoforms in Bilingual French Children Acquiring the Null Subject Property. Paper presented at ‘The Romance Turn’, Madrid, Spain, September 19–21. [Google Scholar]
- de Bruin, Angela. 2019. Not all bilinguals are the same: A call for more detailed assessments and descriptions of bilingual experiences. Behavioural Sciences 9: 33. [Google Scholar] [CrossRef] [PubMed]
- de Cat, Cécile, and Bernadette Plunkett. 2002. QU’ est ce qu’i (l) dit, celui+Là?: Notes méthodologiques sur la transcription d’un corpus francophone. In Romance Corpus Linguistics: Corpora and Spoken Language. Edited by Claus D. Pusch. Tübingen: Narr. [Google Scholar]
- de Cat, Cécile, Draško Kašćelan, Philippe Prévost, Laurie Tuller, and Sharon Unsworth. 2022. Quantifying Bilingual Experience (Q-BEx): Questionnaire Manual and Documentation. Available online: https://www.q-bex.org.researchers (accessed on 10 April 2023).
- de Houwer, Annick. 2004. Trilingual input and children’s language use in trilingual families in Flanders. In Trilingualism in Family, School and Community. Edited by Charlotte Hoffmann and Johannes Ytsma. Clevedon: Multilingual Matters, pp. 118–35. [Google Scholar]
- Déprez, Viviane, and Amy Pierce. 1993. Negation and functional projections in early grammar. Linguistic Inquiry 24: 25–67. Available online: http://www.jstor.org/stable/4178801 (accessed on 20 May 2023).
- Duguine, Maia. 2017. Reversing the approach to null subject: A perspective from language acquisition. Frontiers in Psychology 8: 27. [Google Scholar] [CrossRef] [PubMed]
- Eichler, Nadine. 2011. Code-Switching bei bilingual aufwachsenden Kindern: Eine Analyse der gemischtsprachlichen Nominalphrasen unter Besonderer Berücksichtigung des Genus. Tübingen: Narr. [Google Scholar]
- Ezeizabarrena, María-José. 1996. Adquisición de la morfología verbal en euskera y castellano por niños bilingües. Vitoria-Gasteiz: Servicio Editoral Universidad del País Vasco. [Google Scholar]
- Ezeizabarrena, María-José. 2003. Null subjects and optional infinitives in Basque. In (In)vulnerable Domains in Multilingualism. Edited by Natascha Müller. Amsterdam and Philadelphia: Benjamins, pp. 83–106. [Google Scholar] [CrossRef]
- Ezeizabarrena, María-José. 2013. Overt subjects in early Basque and other null subject languages. International Journal of Bilingualism 17: 309–36. [Google Scholar] [CrossRef]
- Faingold, Eduardo D. 1999. The re-emergence of Spanish and Hebrew in a multilingual adolescent. International Journal of Bilingual Education and Bilingualism 2: 283–95. [Google Scholar] [CrossRef]
- Fernández-Berkes, Éva, and Suzanne Flynn. 2021. Vindicating the need for a principled theory of language acquisition. Linguistic Approaches to Bilingualism 11: 30–36. [Google Scholar] [CrossRef]
- Fernández Fuertes, Raquel, and Juana M. Liceras. 2010. Copula omission in the English developing grammar of English/Spanish bilingual children. International Journal of Bilingual Education and Bilingualism 13: 525–51. [Google Scholar] [CrossRef]
- Flynn, Susan, Claire Foley, and Inna Vinnitskaya. 2004. The Cumulative-Enhancement Model of language acquisition: Comparing adults’ and children’s patterns of development in first, second and third language acquisition of relative clauses. International Journal of Multilingualism 1: 3–16. [Google Scholar] [CrossRef]
- Friedman, Naomi. 2019. Research on individual differences in executive functions. Implications for the bilingual advantage hypothesis. In Bilingualism, Executive Function, and beyond. Questions and Insights. Edited by Irina A. Sekerina, Lauren Spradlin and Virginia Valian. Amsterdam and Philadelphia: Benjamins, pp. 210–21. [Google Scholar] [CrossRef]
- Gabriel, Christoph, Jonas Grünke, and Claudia Schlaak. 2020. Positiver Transfer aus dem Türkischen ins Französische? Materialien zur individuellen Förderung des Ausspracheerwerbs. ProDaZ: Deutsch als Zweitsprache in allen Fächern, 1–27. Available online: https://www.uni-due.de/prodaz (accessed on 10 May 2023).
- Gavarró, Anna, and Yolanda Cabré-Sans. 2009. Subjects, verb classes and word order in child Catalan. In Hispanic Child Languages: Typical and Impaired Development. Edited by John Grinstead. Amsterdam and Philadelphia: Benjamins, pp. 175–94. [Google Scholar] [CrossRef]
- Gawlitzek-Maiwald, Ira, and Rosemarie Tracy. 1996. Bilingual bootstrapping. Linguistics 34: 901–26. [Google Scholar] [CrossRef]
- Genesee, Fred. 1989. Early bilingual development: One language or two? Journal of Child Language 16: 161–79. [Google Scholar] [CrossRef] [PubMed]
- Genesee, Fred, Elena Nicoladis, and Johanne Paradis. 1995. Language differentiation in early bilingual development. Journal of Child Language 22: 611–31. [Google Scholar] [CrossRef] [PubMed]
- Genesee, Fred, Isabelle Boivin, and Elena Nicoladis. 1996. Talking with strangers: A study of bilingual children’s communicative competence. Applied Psycholinguistics 17: 427–42. [Google Scholar] [CrossRef]
- Genesee, Fred, Johanne Paradis, and Martha B. Crago. 2004. Dual Language Development and Disorders: A Handbook on Bilingualism and Second Language Learning. Baltimore: Paul Brookes. Available online: https://www.thefreelibrary.com/Fred+Genesee%2c+Johanne+Paradis%2c+and+Martha+B.+Crago%3a+Dual+Language..-a0161012252 (accessed on 10 May 2023).
- Grosjean, François. 1989. Neurolinguistis, beware! The bilingual is not two monolinguals in one person. Brain and Language 36: 3–15. [Google Scholar] [CrossRef]
- Grosjean, François. 2001. The bilingual’s language modes. In One Mind, Two Languages. Bilingual Language Processing. Edited by Janet L. Nicol. Oxford: Blackwell, pp. 1–22. [Google Scholar]
- Grünke, Jonas, and Christoph Gabriel. 2022. Acquiring French intonation against the backdrop of heritage bilingualism: The case of German–Turkish learners. Languages 7: 68. [Google Scholar] [CrossRef]
- Guasti, Maria Teresa. 2002. Language Acquisition. The Growth of Grammar. Cambridge: MIT Press. [Google Scholar]
- Haider, Hubert. 1993. Principled variability. Parametrization without parameter fixing? In Parametrization of Universal Grammar. Edited by Gisbert Fanselow. Amsterdam and Philadelphia: Benjamins, pp. 1–16. [Google Scholar]
- Hamann, Cornelia. 1996. Null arguments in German child language. Language Acquisition 5: 155–208. Available online: https://www.jstor.org/stable/20011441 (accessed on 15 April 2023). [CrossRef]
- Hamann, Cornelia. 2002. From Syntax to Discourse: Pronominal Clitics, Null Subjects, and Infinitives in Child Language. Dordrecht: Kluwer. [Google Scholar]
- Hernandez, Arturo E., Mirella Dapretto, John Mazziotta, and Susan Bookheimer. 2001. Language switching and language representation in Spanish-English bilinguals: An fMRI study. NeuroImage 14: 510–20. [Google Scholar] [CrossRef] [PubMed]
- Hoffmann, Charlotte. 1985. Language acquisition in two trilingual children. Journal of Multilingual and Multicultural Development 6: 479–95. [Google Scholar] [CrossRef]
- Hoffmann, Charlotte, and Anat Stavans. 2007. The evolution of trilingual codeswitching from infancy to school age: The shaping of trilingual competence through dynamic language dominance. International Journal of Bilingualism 11: 55–72. [Google Scholar] [CrossRef]
- Hoffmann, Dinah. 2022. Die Sprachkombination als Einflussfaktor beim Erwerb der Subjekt-Verb-Kongruenz im Französischen: Eine empirische Untersuchung bilingual französisch-italienischer Kinder im Vergleich zu monolingualen und bilingualen Kindern mit den Kombinationen Französisch-Deutsch und Französisch-Spanisch. Unpublished Master thesis, Bergische Universität Wuppertal, Wuppertal, Germany. [Google Scholar]
- Holmberg, Anders. 2010. Parameters in minimalist theory: The case of Scandinavian. Theoretical Linguistics 36: 1–48. [Google Scholar] [CrossRef]
- Hornstein, Norbert, and David Lightfoot. 1981. Introduction. In Explanation in Linguistics: The Logical Problem of Language Acquisition. Edited by Norbert Hornstein and David Lightfoot. London: Longman, pp. 9–31. [Google Scholar]
- Hsin, Lisa. 2014. English questions, Spanish structure: A shared-structure account of interlinguistic influence in bilingual first language acquisition. In Variation within and across Romance Languages. Edited by Marie-Hélène Côté and Eric Mathieu. Amsterdam and Philadelphia: Benjamins, pp. 379–400. [Google Scholar] [CrossRef]
- Huang, C.-T. James. 1984. On the distribution and reference of empty pronouns. Linguistic Inquiry 15: 531–44. Available online: https://www.jstor.org/stable/4178404 (accessed on 20 May 2023).
- Hyams, Nina. 1986. Language Acquisition and the Theory of Parameters. Dordrecht: Reidel. [Google Scholar]
- Hyams, Nina. 2011. Missing subjects in early child language. In Handbook of Generative Approaches to Language Acquisition. Edited by Jill de Villiers and Thomas Roeper. Dordrecht: Springer, pp. 13–52. [Google Scholar]
- Jakubowicz, Celia, Natascha Müller, Beate Riemer, and Catherine Rigaut. 1997. The case of subject and object omissions in French and German. Paper presented at 21st Boston University Conference on Language Development, Boston, MA, USA, November 2–5; Edited by Elizabeth Hughes, Mary Hughes and Annabel Greenhill. Somerville: Cascadilla Press, pp. 331–42. [Google Scholar]
- Jansen, Veronika. 2015. Dislokation im Bilingualen Erstspracherwerb: Eine Untersuchung am Beispiel Deutsch-Französischer Kinder. Berlin, München and Boston: De Gruyter. [Google Scholar]
- Kašćelan, Draško, Philippe Prévost, Ludovica Serratrice, Laurie Tuller, Sharon Unsworth, and Cécile De Cat. 2022. A review of questionnaires quantifying bilingual experience in children: Do they document the same constructs? Bilingualism: Language and Cognition 25: 29–41. [Google Scholar] [CrossRef]
- Kayne, Richard S. 2000. Parameters and Universals. New York: Oxford University Press. [Google Scholar]
- Kupisch, Tanja. 2006. The Acquisition of Determiners in Bilingual German-Italian and German-French Children. München: Lincom Europa. [Google Scholar]
- Larrañaga, María Pilar. 2000. Ergative Sprachen, akkusative Sprachen. Der Erwerb des Kasus bei Bilingualen Kindern. Frankfurt am Main: Vervuert. [Google Scholar]
- Liceras, Juana M., and Raquel Fernández Fuertes. 2016. Subject omission/production in child bilingual English and child bilingual Spanish: The view from linguistic theory. Probus 31: 245–78. [Google Scholar] [CrossRef]
- Liceras, Juana M., Raquel Fernández Fuertes, and Anahí Alba de la Fuente. 2012. Overt subjects and copula omission in the Spanish and the English grammar of English-Spanish bilinguals. On the locus and directionality of interlinguistic influence. First Language 32: 88–115. [Google Scholar] [CrossRef]
- Liceras, Juana M., Raquel Fernández Fuertes, Susana Pelares, Rocío Pérez-Tattam, and Kenton Todd Spradlin. 2008. Gender and gender agreement in bilingual native and non-native grammars: A view from child and adult functional–lexical mixings. Lingua 118: 827–51. [Google Scholar] [CrossRef]
- Lleó, Conxita, Imme Kuchenbrandt, Margret Kehoe, and Cristina Trujillo. 2003. Syllable final consonants in Spanish and German monolingual and bilingual acquisition. In (In)vulnerable Domains in Multilingualism. Edited by Natascha Müller. Amsterdam and Philadelphia: Benjamins, pp. 191–220. [Google Scholar] [CrossRef]
- Lust, Barbara. 2006. Child Language. Acquisition and Growth. Cambridge: Cambridge University Press. [Google Scholar]
- MacSwan, Jeff. 2000. The architecture of the bilingual language faculty: Evidence from intrasentential code swichting. Bilingualism: Language and Cognition 3: 37–54. [Google Scholar] [CrossRef]
- MacWhinney, Brian. 2000. The Childes Project: Tools for Analyzing Talk. Mahwah: Lawrence Erlbaum Associates. [Google Scholar]
- MacWhinney, Brian. 2017. Exposure is not enough. Bilingualism: Language and Cognition 20: 25–26. [Google Scholar] [CrossRef]
- Marton, Klara. 2019. Executive control in bilingual children. Factors that influence the outcomes. In Bilingualism, Executive Function, and beyond. Questions and Insights. Edited by Irina A. Sekerina, Lauren Spradlin and Virginia Valian. Amsterdam and Philadelphia: Benjamins, pp. 265–79. [Google Scholar] [CrossRef]
- Mateu, Victoria, and Megha Sundara. 2022. Spanish input accelerates bilingual infants’ segmentation of English words. Cognition 218: 104936. [Google Scholar] [CrossRef] [PubMed]
- Matushansky, Ora. 1998. Le sujet nul à travers les langues: Pour une catégorie vide unique. Ph.D. thesis, Université Paris VIII, Paris, France. [Google Scholar]
- Meisel, Jürgen M. 1983. Transfer as a second-language strategy. Language & Communication 3: 11–46. [Google Scholar]
- Meisel, Jürgen M. 1989. Early differentiation of languages in bilingual children. In Bilingualism Across the Lifespan: Aspects of Acquisition, Maturity, and Loss. Edited by Kenneth Hyltenstam and Lorraine Obler. Cambridge: Cambridge University Press, pp. 13–40. [Google Scholar]
- Meisel, Jürgen M. 1990. INFL-ection: Subjects and asubject-verb agreement. In Two First Languages. Early Grammatical Development in Bilingual Children. Edited by Jürgen M. Meisel. Dordrecht: Foris, pp. 237–98. [Google Scholar]
- Meisel, Jürgen M. 1994a. Code-cwitching in young bilingual children: The acquisition of grammatical constraints. Studies in Second Language Acquisition 16: 413–39. Available online: https://www.jstor.org/stable/44487780 (accessed on 15 January 2023). [CrossRef]
- Meisel, Jürgen M., ed. 1994b. Bilingual First Language Acquisition. French and German Grammatical Development. Amsterdam and Philadelphia: Benjamins. [Google Scholar] [CrossRef]
- Meisel, Jürgen M., ed. 1994c. La adquisición del vasco y castellano en niños bilingües. Frankfurt am Main: Vervuert. [Google Scholar]
- Meisel, Jürgen M. 2007. The weak language in early child bilingualism: Acquiring a first language as a second language? Applied Psycholinguistics 28: 495–514. [Google Scholar] [CrossRef]
- Meisel, Jürgen M. 2009. Second language acquisition in early childhood. Zeitschrift für Sprachwissenschaft 28: 5–34. [Google Scholar] [CrossRef]
- Meisel, Jürgen M. 2011. First and Second Language Acquisition. Cambridge: Cambridge University Press. [Google Scholar] [CrossRef]
- Miller, Earl K., and Jonathan D. Cohen. 2001. An integrative theory of prefrontal cortex function. Annual Review of Neuroscience 24: 167–202. [Google Scholar] [CrossRef]
- Montanari, Simona. 2010. Language Differentiation in Early Trilingual Development. Evidence from a Case Study. Saarbrücken: Verlag Dr. Müller. [Google Scholar]
- Morgenstern, Aliyah. 2006. Un JE en construction. Ontogenèse de l’auto-désignation chez l’enfant. Bibliothèque de Faits de langues: Ophrys. [Google Scholar]
- Morgenstern, Aliyah, and Christophe Parisse. 2007. Codage et interprétation du langage spontané d’enfants de 1 à 3 ans. Corpus-Interpretation, Contextes, Codage 6: 55–78. [Google Scholar] [CrossRef]
- Müller, Natascha. 1993. Komplexe Sätze. Der Erwerb von COMP und von Wortstellungsmustern bei bilingualen Kindern (Französisch/Deutsch). Tübingen: Narr. [Google Scholar]
- Müller, Natascha. 1998. Transfer in bilingual first language acquisition. Bilingualism: Language and Cognition 1: 151–71. [Google Scholar] [CrossRef]
- Müller, Natascha. 2017. Different sources of delay and acceleration in early child bilingualism. Zeitschrift für Sprachwissenschaft 36: 7–30. [Google Scholar] [CrossRef]
- Müller, Natascha. 2023. Das mehrsprachige Kind als Ausgangspunkt für eine optimale Lernergrammatik. Ergebnisse simultan bi- und trilingualer Kinder. In Jahrbuch für Internationale Germanistik. Akten des XIV. Kongresses der Internationalen Vereinigung für Germanistik (IVG). Edited by Laura Auteri, Natascia Barrale, Arianna di Bella and Sabine Hoffmann. Pieterlen and Bern: Lang, vol. 10, pp. 721–32. Available online: https://www.peterlang.com/document/1246814 (accessed on 1 July 2023).
- Müller, Natascha, Laia Arnaus Gil, Nadine Eichler, Jasmin Geveler, Malin Hager, Veronika Jansen, Marisa Patuto, Valentina Repetto, and Anika Schmeißer. 2015. Code-Switching: Spanisch, Italienisch, Französisch. Eine Einführung. Tübingen: Narr. [Google Scholar]
- Newmeyer, Frederick J. 1986. Linguistic Theory in America. Orlando: Academic Press. [Google Scholar]
- Newmeyer, Frederick J. 2004. Against a parameter-setting approach to typological variation. In Linguistic Variation Yearbook. Edited by Pierre Pica. Amsterdam and Philadelphia: Benjamins, vol. 4, pp. 181–234. [Google Scholar] [CrossRef]
- Newmeyer, Frederick J. 2017. Where, if anywhere, are parameters? A critical historical overview of parametric theory. In On Looking into Words (and Beyond). Edited by Laire Bowern, Laurence Horn and Raffaella Zanuttini. Berlin: Language Science Press, pp. 547–69. [Google Scholar] [CrossRef]
- Oller, D. Kimbrough, and Rebecca Eilers, eds. 2002. Language and Literacy in Bilingual Children. Clevedon: Multilingual Matters. [Google Scholar] [CrossRef]
- Paradis, Johanne. 2007. Second language acquisition in childhood. In Blackwell Handbook of Language Development. Edited by Erika Hoff and Marilyn Shatz. Oxford: Blackwell, pp. 387–405. [Google Scholar] [CrossRef]
- Paradis, Johanne. 2010. The interplay between bilingual development and specific language impairment. Applied Psycholinguistics 31: 227–52. [Google Scholar] [CrossRef]
- Paradis, Johanne, and Fred Genesee. 1996. Syntactic acquisition in bilingual children: Autonomous or interdependent? Studies in Second Language Acquisition 18: 1–25. Available online: https://www.jstor.org/stable/44487857 (accessed on 15 May 2023). [CrossRef]
- Paradis, Johanne, and Fred Genesee. 1997. On continuity and the emergence of functional categories in bilingual first language acquisition. Language Acquisition 6: 91–124. Available online: https://www.jstor.org/stable/20011458 (accessed on 15 May 2023). [CrossRef]
- Paradis, Johanne, Elena Nicoladis, and Fred Genesee. 2000. Early emergence of structural constraints on code-mixing: Evidence from French–English bilingual children. Bilingualism: Language and Cognition 3: 245–61. [Google Scholar] [CrossRef]
- Patuto, Marisa. 2012. Der Erwerb des Subjekts in (Nicht-)Nullsubjektsprachen. Die Rolle des Spracheneinflusses und der Dominanz bei Bilingual Deutsch-Italienischen, Deutsch-Spanischen und Französisch-Italienisch Aufwachsenden Kindern. Tübingen: Narr. [Google Scholar]
- Patuto, Marisa, Malin Hager, Laia Arnaus Gil, Nadine Eichler, Veronika Jansen, Anika Schmeißer, and Natascha Müller. 2014. Child-External and -Internal Factors in Bilingual Code-Switching: Spanish, Italian, French and German. In Language Contact around the Globe. Paper presented at LCTG3 Conference, Greifswald, Germany, June 30. Edited by Amei Koll-Stobbe and Sebastian Knospe. Frankfurt am Main: Lang, pp. 191–209. [Google Scholar]
- Pierce, Amy. 1992. Language Acquisition and Syntactic Theory. A Comparative Analysis of French and English Child Grammars. Dordrecht: Kluwer. [Google Scholar]
- Pléh, Csaba. 2019. The inspirational role of Chomsky in the cognitive turn of psychology. Acta Linguistica Academica 66: 397–428. [Google Scholar] [CrossRef]
- Poeste, Meike, Natascha Müller, and Laia Arnaus Gil. 2019. Code-mixing and language dominance: Bilingual, trilingual and multilingual children compared. International Journal of Multilingualism 16: 459–91. [Google Scholar] [CrossRef]
- Prévost, Philippe. 2009. Acquisition of French: The Development of Inflectional Morphology and Syntax in L1 Acquisition, Bilingualism, and L2 Acquisition. Amsterdam and Philadelphia: Benjamins. [Google Scholar] [CrossRef]
- Price, Cathy J., David W. Green, and Roswitha von Studnitz. 1999. A functional imaging study of translation and language switching. Brain 122: 2221–35. [Google Scholar] [CrossRef]
- Quay, Suzanne. 2001. Managing linguistic boundaries in early trilingual development. In Trends in Bilingual Acquisition. Edited by Jasone Cenoz and Fred Genesee. Amsterdam: Benjamins, pp. 149–99. [Google Scholar] [CrossRef]
- Quay, Suzanne. 2008. Dinner conversations with a trilingual two-year-old: Language socialization in a multilingual context. First Language 28: 5–33. [Google Scholar] [CrossRef]
- Quay, Suzanne. 2011. Trilingual toddlers at daycare centres: The role of caregivers and peers in language development. International Journal of Multilingualism 8: 22–41. [Google Scholar] [CrossRef]
- Rasetti, Lucienne. 2003. Optional Categories in Early French Syntax: A Developmental Study of Root Infinitives and Null Arguments. Ph.D. thesis, Université de Genève, Genève, Switzerland. [Google Scholar]
- Repetto, Valentina, and Natascha Müller. 2010. The acquisition of German V2 in bilingual Italian-German children residing in Germany and Italy: A case of acceleration? In Movement and Clitics: Adult and Child Grammar. Edited by Vincenç Torrens, Linda Escobar, Anna Gavarró and Juncal Gutiérrez. Newcastle upon Tyne: Cambridge Scholars Publishing, pp. 155–84. Available online: https://www.cambridgescholars.com/resources/pdfs/978-1-4438-6-sample.pdf (accessed on 20 May 2011).
- Repnik, Katharina M., Vicky Chondrogianni, and Antonella Sorace. 2021. Linking disambiguation and retention in a developmental eye-tracking study with monolingual and multilingual children. Journal of Experimental Child Psychology 206: 105072. [Google Scholar] [CrossRef]
- Rizzi, Luigi. 1982. Issue in Italian Syntax. Dordrecht: Foris. [Google Scholar]
- Rizzi, Luigi. 1986a. Null objects in Italian and the theory of pro. Linguistic Inquiry 17: 501–58. [Google Scholar] [CrossRef]
- Rizzi, Luigi. 1986b. On the status of subject clitics in Romance. In Studies in Romance Linguistics. Selected Papers of the Fourteenth Linguistic Symposium on Romance Languages. Edited by Osvaldo Jaeggli and Carmen Silva-Corvalán. Berlin and Boston: De Gruyter Mouton, pp. 391–420. [Google Scholar] [CrossRef]
- Rizzi, Luigi. 1990. Relativized Minimality. Cambridge: MIT Press. [Google Scholar]
- Rizzi, Luigi. 2014. On the elements of syntactic variation. Carme Picallo. In Linguistic Variation in the Minimalist Framework. Edited by M. Carme Picallo. Oxford: Oxford University Press, pp. 13–35. [Google Scholar] [CrossRef]
- Roberts, Ian. 2019. Parameter Hierarchies & Universal Grammar. Oxford: Oxford University Press. [Google Scholar]
- Ronjat, Jules. 1913. Le Développement du Langage observé Chez un Enfant Bilingue. Paris: Champion. [Google Scholar]
- Ruiz, Richard. 1984. Orientations in language planning. NABE Journal 8: 15–34. [Google Scholar] [CrossRef]
- Scalise, Elena, Johanna Stahnke, and Natascha Müller. 2021. Parameter hierarchy and acceleration: Subject omissions in a trilingual child with special reference to French. Language, Interaction, Acquisition (LIA) 12: 157–84. [Google Scholar] [CrossRef]
- Schlyter, Suzsanne. 1993. The weaker language in bilingual Swedish-French children. In Progression and Regression in Language. Edited by Kenneth Hyltenstam and Ǻke Viberg. Cambridge: Cambridge University Press, pp. 289–308. Available online: http://media06.euv-frankfurt-o.de/Literatur/Schlyter_1993.pdf (accessed on 3 February 2023).
- Schmeißer, Anika, and Veronika Jansen. 2016. Finite verb placement in French language change and in bilingual German-French language acquisition. In The Acquisition of French in its Different Constellations. Edited by Katrin Schmitz, Pedro Guijarro-Fuentes and Natascha Müller. Bristol: Multilingual Matters, pp. 10–42. [Google Scholar]
- Schmitz, Katrin, and Natascha Müller. 2008. Strong and clitic pronouns in monolingual and bilingual language acquisition: Comparing French and Italian. Bilingualism: Language and Cognition 11: 19–41. [Google Scholar] [CrossRef]
- Schneegans, Janine. 2022. Subjektauslassung und -platzierung bei monolingual französisch- und englischsprachigen Kindern als Problem des linguistischen Vorteils mehrsprachiger Kinder. Unpublished Bachelor thesis, Universität Wuppertal, Wuppertal, Germany. [Google Scholar]
- Schroedler, Tobias, Judith Purkarthofer, and Katja F. Cantone. 2022. The prestige and perceived value of home languages. Insights from an exploratory study on multilingual speakers’ own perceptions and experiences of linguistic discrimination. Journal of Multilingual and Multicultural Development, 1–18. [Google Scholar] [CrossRef]
- Schwarz, Bonnie D., and Rex A. Sprouse. 2021. The Full Transfer/Full Access model and L3 cognitive states. Linguistic Approaches to Bilingualism 11: 1–29. [Google Scholar] [CrossRef]
- Sekerina, Irina A., Lauren Spradlin, and Virginia Valian, eds. 2019. Bilingualism, Executive Function, and beyond. Questions and Insights. Amsterdam and Philadelphia: Benjamins. [Google Scholar] [CrossRef]
- Serratrice, Ludovica, Antonella Sorace, and Sandra Paoli. 2004. Cross-linguistic influence at the syntax-pragmatics interface: Subjects and objects in English-Italian bilingual and monolingual acquisition. Bilingualism: Language and Cognition 7: 183–205. [Google Scholar] [CrossRef]
- Silva Colaço, Isabel. 2022. Der Einfluss der Sprachkombination auf den Erwerb der Subjekt-Verb-Kongruenz: Eine Untersuchung eines bilingual französisch portugiesischen Kindes. Unpublished Bachelor thesis, University of Wuppertal, Wuppertal, Germany. [Google Scholar]
- Silva Colaço, Isabel, Dinah Hoffmann, Laura D’Aurizio, and Natascha Müller. 2023. Acceleration in multilingual children. The case of French. International Multilingual Research Journal, under review. [Google Scholar]
- Sivakumar, Abira, Nadine Sette, Natascha Müller, and Laia Arnaus Gil. 2020. Die Entwicklung des rezeptiven Wortschatzes bei bi-, tri- und multilingual aufwachsenden Kindern. Linguistische Berichte 263: 329–64. [Google Scholar] [CrossRef]
- Siyambalapitiya, Samantha, Jessica Paynter, Vishnu K. K. Nair, Christina Reuterskiöld, Madonna Tucker, and David Trembath. 2022. Longitudinal social and communication outcomes in children with autism raised in bi/multilingual environments. Journal of Autism and Developmental Disorders 52: 339–48. [Google Scholar] [CrossRef]
- Stahnke, Johanna. 2022. The acquisition of French determiners by bilingual children: A prosodic account. Languages 7: 200. [Google Scholar] [CrossRef]
- Stahnke, Johanna, Laia Arnaus Gil, and Natascha Müller. 2021. French as a Heritage Language in Germany. Languages 6: 122. [Google Scholar] [CrossRef]
- Suppes, Patrick, Robert Lawrence Smith, and Madeleine Leveillé. 1973. The French syntax of a child’s noun phrases. Archives de Psychologie 42: 207–69. [Google Scholar]
- Tomasello, Michael. 2003. Constructing a Language: A Usage-Based Theory of Language Acquisition. Cambridge: Havard University Press. [Google Scholar]
- Torregrossa, Jacopo, Maria Andreou, Christine Bongartz, and Ianthi Tsimpli. 2021. Bilingual acquisition of reference: The role of language experience, executive functions and cross-linguistic effects. Bilingualism: Language and Cognition 24: 694–706. [Google Scholar] [CrossRef]
- Torregrossa, Jacopo, Sonja Eisenbeiß, and Christine Bongartz. 2022. Boosting Bilingual Metalinguistic Awareness Under Dual Language Activation: Some Implications for Bilingual Education. Language Learning 73: 683–722. [Google Scholar] [CrossRef]
- Tracy, Rosemarie. 1996. Vom Ganzen und seinen Teilen: Überlegungen zum doppelten Erstspracherwerb. Sprache und Kognition 15: 70–92. [Google Scholar]
- Trutkowski, Ewa. 2016. Topic Drop and Null Subjects in German. Berlin and Boston: De Gruyter. [Google Scholar]
- Tsimpli, Ianthi Maria. 2014. Early, late or very late? Timing acquisition and bilingualism. Linguistic Approaches to Bilingualism 4: 283–313. [Google Scholar] [CrossRef]
- Unsworth, Sharon. 2005. Child L2, Adult, Child L1: Differences and Similarities. A Study on the Acquisition of Direct Object Scramling in Dutch. Utrecht: LOT. Available online: https://www.lotpublications.nl/Documents/119_fulltext.pdf (accessed on 14 April 2023).
- Unsworth, Sharon. 2013. Current issues in multilingual first language acquisition. Annual Review of Applied Linguistics 33: 21–50. [Google Scholar] [CrossRef]
- Unsworth, Sharon, Froso Argyri, Leonie Cornips, Aafke Hulk, Antonella Sorace, and Iianthi Maria Tsimpli. 2014. On the role of age of onset and input in early child bilingualism in Greek and Dutch. Applied Psycholinguistics 35: 765–805. [Google Scholar] [CrossRef]
- Valian, Virginia. 1990. Null-subjects: A problem for parameter-setting models of language acquisition. Cognition 35: 105–22. [Google Scholar] [CrossRef]
- van den Noort, Mauritz, Esli Struys, Peggy Bosch, Lars Jaswetz, Benoît Perriard, Sujung Yeo, Pia Barisch, Katrien Vermeire, Sook-Hyun Lee, and Sabina Lim. 2019. Does the bilingual advantage in cognitive control exist and if so, what are its modulating factors? A Systematic Review. Behavioural Sciences 9: 27. [Google Scholar] [CrossRef]
- van Dijk, Chantal, Elise van Wonderen, Elly Koutamanis, Gerrit Jan Kootstra, Ton Dijkstra, and Sharon Unsworth. 2021. Cross-linguistic influence in simultaneous and early sequential bilingual children: A meta-analysis. Journal of Child Language 49: 897–929. [Google Scholar] [CrossRef] [PubMed]
- Wang, Qi, Diane Lillo-Martin, Catherine T. Best, and Andrea Levitt. 1992. Null subject versus null object: Some evidence from the acquisition of Chinese and English. Language Acquisition 2: 221–54. [Google Scholar] [CrossRef]
- Wang, Xiao-Lei. 2008. Growing Up with Three Languages. Birth to Eleven. Parents’ and Teachers’ Guides. Bristol: Multilingual Matters. [Google Scholar]
- White, Lydia. 2003. Second Language Acquisition and Universal Grammar. Cambridge: Cambridge University Press. [Google Scholar]
- Wiltschko, Martina. 2014. The Universal Structure of Categories. Towards a Formal Typology. Cambridge: Cambridge University Press. [Google Scholar] [CrossRef]
- Yip, Virginia, and Stephen Matthews. 2000. Syntactic transfer in a Cantonese-English bilingual child. Bilingualism: Language and Cognition 3: 193–208. [Google Scholar] [CrossRef]


| Child | Language(s) | Age Span/MLUw Span | Country of Birth | No. of Utterances | 
|---|---|---|---|---|
| Grégoire * | French | 1;9–2;5/1.5–4.5 | France | 2.570 | 
| Léonard * | French | 1;8–3;3/1.0–5.0 | France | 3.264 | 
| Madeleine * | French | 1;0–4;10/1.0–-5.6 | France | 8.589 | 
| Max * | French | 1;9–2;5/1.3–4.1 | Canada | 1.778 | 
| Philippe * | French | 2;1–3;3/3.0–6.0 | France | 7.176 | 
| Théophile * | French | 1;0–3;3/1.5–4.5 | France | 2.858 | 
| Al_df # | German–French | 2;2–5;3/2.0–6.0 | Germany | 9.775 | 
| Am_df # | German–French | 1;6–5;1/1.0–6.5 | Germany | 13.343 | 
| Barbara_pf * | Portuguese–French | 1;0–3;11/1.0–7.5 | Portugal | 3.242 | 
| Ce_df # | German–French | 2;0–5;5/1.5–5.0 | Germany | 5.775 | 
| Camilla_rf * | Russian–French | 2;4–3;8/2.0–3.5 | France | 2.193 | 
| Di_fis # | French–Italian–Spanish | 2;8–3;2/2.5–4.5 | France | 1.771 | 
| Em_df # | German–French | 1;4–5;0/1.5–7.0 | France | 8.518 | 
| Ju_fi # | French–Italian | 1;8–5;0/1.0–4.5 | France | 8.015 | 
| Ma_df # | German–French | 1;9–5;2/1.0–6.0 | France | 5.496 | 
| Si_fi # | French–Italian | 1;6–5;1/1.5–4.5 | Italy | 3.799 | 
| Disclaimer/Publisher’s Note: The statements, opinions and data contained in all publications are solely those of the individual author(s) and contributor(s) and not of MDPI and/or the editor(s). MDPI and/or the editor(s) disclaim responsibility for any injury to people or property resulting from any ideas, methods, instructions or products referred to in the content. | 
© 2023 by the author. Licensee MDPI, Basel, Switzerland. This article is an open access article distributed under the terms and conditions of the Creative Commons Attribution (CC BY) license (https://creativecommons.org/licenses/by/4.0/).
Share and Cite
Müller, N. AAiMLL: Acquisition Advantages in MultiLingual Learners: The Case of the Multilingual Child. Languages 2024, 9, 8. https://doi.org/10.3390/languages9010008
Müller N. AAiMLL: Acquisition Advantages in MultiLingual Learners: The Case of the Multilingual Child. Languages. 2024; 9(1):8. https://doi.org/10.3390/languages9010008
Chicago/Turabian StyleMüller, Natascha. 2024. "AAiMLL: Acquisition Advantages in MultiLingual Learners: The Case of the Multilingual Child" Languages 9, no. 1: 8. https://doi.org/10.3390/languages9010008
APA StyleMüller, N. (2024). AAiMLL: Acquisition Advantages in MultiLingual Learners: The Case of the Multilingual Child. Languages, 9(1), 8. https://doi.org/10.3390/languages9010008
 
        


 
       
       