Next Article in Journal
That Came as No Surprise! The Processing of Prosody–Grammar Associations in Danish First and Second Language Users
Next Article in Special Issue
A Corpus-Based Study of Syntactic Complexity in L2 Japanese Writing: Insights from Usage-Based Approaches
Previous Article in Journal
Mitigation, Rapport, and Identity Construction in Workplace Requests
 
 
Font Type:
Arial Georgia Verdana
Font Size:
Aa Aa Aa
Line Spacing:
Column Width:
Background:
Article

Learning Environment and Learning Outcome: Evidence from Korean Subject–Predicate Honorific Agreement

1
Department of Linguistics, University of Illinois Chicago, Chicago, IL 60607, USA
2
Department of East Asian Languages and Literatures, Yale University, New Haven, CT 06511, USA
3
Department of Educational Leadership and Policy Analysis, University of Missouri, Columbia, MO 65211, USA
*
Author to whom correspondence should be addressed.
Languages 2025, 10(8), 180; https://doi.org/10.3390/languages10080180
Submission received: 10 March 2025 / Revised: 18 June 2025 / Accepted: 30 June 2025 / Published: 26 July 2025

Abstract

This study examines the relationship between learning environments and learning outcomes in acquiring Korean as a language target. We compare two learner groups residing in the United States: English-speaking learners of Korean in foreign language contexts versus Korean heritage speakers. Both groups share English as their dominant language and receive similar tertiary-level instruction, yet differ in their language-learning profiles. We measure two groups’ comprehension behaviour involving Korean subject−predicate honorific agreement, focusing on two conditions manifesting a mismatch between the honorifiable status of a subject and the realisation of the honorific suffix in a predicate. Results from the acceptability judgement task revealed that (1) both learner groups rated the ungrammatical condition as more acceptable than native speakers did, (2) Korean heritage speakers rated the ungrammatical condition significantly lower than English-speaking learners, and (3) overall proficiency in Korean modulated learners’ evaluations of the ungrammatical condition in opposite directions between the groups. No between-group difference was found in the infelicitous-yet-grammatical condition. Results from reaction time measurement further showed that Korean heritage speakers responded considerably faster than English-speaking learners of Korean. These results underscore the critical role of broad usage experience—whether through home language exposure for heritage language speakers or formal instruction for foreign language learners—in shaping non-dominant language activities.

1. Introduction

Experience with language use is widely recognised as fundamental to the process of language acquisition (Ambridge et al., 2015b; Behrens, 2006; Goldberg, 2019; Tomasello, 2003). Research in the field of second language (L2) acquisition has demonstrated that L2 input—whether estimated indirectly via a first language (L1) proxy (Ellis & Ferreira-Junior, 2009; Kyle & Crossley, 2017) or directly measured through materials employed in L2 instructional settings (Alsaif & Milton, 2012; Jung et al., n.d.; Lee et al., 2024)—plays an important role in shaping the trajectory by which L2 learners attain target-like competence (Ellis, 2002; Madlener, 2015). Concurrently, L2 learners frequently encounter between-language competition during L2 activities (Hartsuiker et al., 2004; Jiang et al., 2011; MacWhinney, 2008), a challenge that is compounded by an increased cognitive load (Cunnings, 2017; Jacob & Felser, 2016; Pozzan & Trueswell, 2016). This interplay often results in a reduced ability to effectively utilise acquired target knowledge during L2 tasks (Futrell & Gibson, 2017; Robenalt & Goldberg, 2016; Tachihara & Goldberg, 2020), thereby modulating the influence of usage experience on the acquisition of target language systems.
The present study investigates how varying usage experience, induced by language-learning environments, impacts learning outcomes in the context of Korean as a non-dominant language. Korean is an agglutinative language with a Subject–Object–Verb word order, characterised by the active use of particles and verbal morphology to convey grammatical information. Moreover, its situational orientation and context dependency permit the omission of essential linguistic elements when such omissions can be readily inferred from the context (Sohn, 1999). Despite the growing global interest in Korean culture and language, research in the field of language acquisition has predominantly focused on a limited number of major languages (Kidd & Garcia, 2022; Nielsen et al., 2017), with the L2 acquisition literature particularly skewed towards English as the target language.
In this study, we examine two distinctive cohorts of L2-Korean learners who share English as their dominant language yet exhibit markedly different language learning profiles. The first group comprises L2 learners situated in foreign language contexts, where acquisition is primarily supported through structured, formal classroom instruction. Prior studies on the acquisition of clausal constructions in L2 Korean have consistently highlighted the individual and interactive roles of morphosyntactic cues and cross-linguistic influence in the comprehension and processing of these constructions (Frenck-Mestre et al., 2019; Hwang et al., 2018; Lee et al., 2024; Park & Kim, 2022, 2023). Kim (2025) elucidates how the scrambling of sentential elements in Korean, together with cue conflicts arising from typological differences between L1 and L2, jointly affects learners’ processing of agreement relations involving honorific numerical quantifiers. The results indicate that, while both L1-Chinese and L1-Japanese learners are capable of employing language-common, language-contrasting, and language-specific cues during sentence processing, the efficacy of utilising these cues is contingent upon the status of the target knowledge shared across languages and the competition between that knowledge and the corresponding L1 knowledge. Through acceptability judgement and self-paced reading tasks conducted with L2-Korean learners from English, Czech, and Japanese backgrounds, Shin and Shin (n.d.) further demonstrate that typological similarity alone does not guarantee the successful processing of Korean dative constructions. Rather, factors such as usage frequency, form–function mapping of case particles, and task requirements substantially influence L2 sentence processing behaviours, highlighting the complex and noisy nature of L2 knowledge.
The other group in this study consists of heritage language speakers—children and adults belonging to a linguistic minority whose home language exposure and formal literacy education are relatively limited, while the majority language in their community remains dominant (Montrul, 2010; Rothman, 2009). These populations tend to exhibit asymmetrical linguistic representations, influenced by factors such as reduced home-language input, the predominance of the majority language, the inherent grammatical properties of specific target items, and available cognitive resources (Felser & Arslan, 2019; Jia & Paradis, 2015; Kondo-Brown, 2005; Mikhaylova, 2018; O’Grady et al., 2011; for an in-depth overview, see Polinsky & Scontras, 2020). Previous research has revealed distinctive aspects of heritage speakers’ morphosyntactic knowledge when compared to that of L1 or L2 speakers (Fuchs, 2022; Kim et al., 2009; Laleko & Polinsky, 2016; Montrul et al., 2019). Our study specifically targets Korean heritage language speakers residing in the United States. With over 1.9 million individuals using Korean as a heritage or community language, this group represents the fifth largest Asian American subgroup (U.S. Census Bureau, 2021). Nonetheless, research within the US context has largely concentrated on dominant heritage language groups such as Hispanics or Chinese (Bice & Kroll, 2021; Hur et al., 2020; Jegerski, 2018; López Otero et al., 2023; Scontras et al., 2017; Torres, 2023), thereby underscoring the pressing need for focused scholarly attention on this population.
Taking these considerations into account, our focus shifts to examining the comprehension behaviour of subject–predicate honorific agreement in Korean among the two groups. As will be detailed in Section 2, this knowledge embodies both cross-linguistic consistency (i.e., an agreement relation at the morphosyntactic level) and language-specific properties (i.e., the context-driven optionality) inherent in its use. This duality offers an intriguing testing ground for the core inquiry in the present study.

2. Subject−Predicate Honorific Agreement in Korean

Honorification represents a distinctive feature of Korean, which necessitates a blend of phonological, morphosyntactic, and semantic−pragmatic knowledge for its appropriate use (Brown, 2015; Sohn, 1999), thereby serving as a cornerstone of communicative competence. Our focus centres on the morphosyntactic dimensions of subject–predicate honorific agreement, with particular attention to the honorific verbal suffix-(u)si (-usi following a consonant), which is amongst the most captivating elements in this regard. This suffix exhibits a systematic dependency between a grammatical subject and its corresponding predicate (Kwon & Sturt, 2016; Sohn, 1999). Specifically, it attaches to a predicate stem to signal its connection with an honorifiable subject, such as in the case of sensayngnim ‘teacher,’ as in (1). Importantly, this suffix is not used with subjects that lack the capacity for honorification, as exemplified in (2).
(1) Subject−predicate honorific agreement: Correct usage.
sensayngnim-kkeysepang-ulotuleka-si-ess-ta.
teacher-NOM.HONroom-DIRgo.into-HON-PST-DC1
‘The teacher went into the room.’
(2) Subject−predicate honorific agreement: Incorrect usage
*ai-kapang-ulotuleka-si-ess-ta.
*child-NOMroom-DIRgo.into-HON-PST-DC
‘The child went into the room.’
A further notable attribute of Korean subject–predicate honorific agreement is its gradient nature. The use of -(u)si can be rendered optional in contexts where the formality or hierarchical distinctions between interlocutors are relaxed, or where the relationship between the speaker and addressee is sufficiently close. This optionality may result in a non-honorific predicate accompanying an honorifiable subject, as in (3). Although this combination might be considered infelicitous in strict grammaticality, it is deemed acceptable in colloquial speech and can serve to convey subtle discourse effects, such as the speaker’s sense of intimacy with the entity being referenced (Sohn, 1999).
(3) Subject−predicate honorific agreement: Honorifiable subject + no honorific suffix.
emma-kapang-ulotuleka-ss-ta.
mother-NOMroom-DIRgo.into-PST-DC
‘(My) mother went into the room in haste.’
We delineate four conditions related to the honorifiability of a subject and the corresponding realisation of the honorific verbal suffix, as illustrated in Table 1.
Some experimental studies have investigated native speakers’ behaviour concerning this knowledge (Kwon & Sturt, 2016; Song et al., 2019). Song et al. (2019), amongst others, conducted both an acceptability judgement task (employing a five-point Likert scale) and a grammaticality judgement task (offering binary yes/no responses) with 384 adult speakers using the four condition types described above. Their results indicated that speakers generally accepted condition (b) while rejecting condition (c). A subsequent corpus analysis further demonstrated a high probability of using an honorifically marked subject when the predicate was also marked; however, the reverse pattern was not observed. These findings substantiate that condition (b) is indeed acceptable and not categorically ungrammatical.
Several studies in L2-Korean research have addressed issues of acquisition concerning this knowledge. Brown (2010) examined how dialogues from three textbook types—ranging from novice to advanced levels—present Korean honorification system overall. The study identified three main trends regarding subject honorification. First, the initial presentation of -(u)si in the textbooks was exclusively through the verbal form -(u)seyyo (i.e., -(u)si combined with -e/ayo) used for imperatives and second-person interrogatives, without explicit explanation of this combination. Second, the token frequency of -(u)si increased from the novice to intermediate stages, only to decline from intermediate to advanced levels in two of the textbooks. Third, it was found that in over 60% of dialogues—typically between casual acquaintances—honorification was applied without appropriate contextual modification. These findings imply that the introduction of -(u)si was somewhat sporadic and lacked a systematic progression within these textbooks. Further analysis by Jung et al. (n.d.) revealed two critical aspects in L2 textbook design: an overemphasis on honorification (and particularly on the use of the honorific verbal suffix as a means of honorification) and an insufficient provision of contexts that would encourage learners to develop proper usage of this feature.
Mueller and Jiang (2013) explored the sensitivity of advanced L1-English L2-Korean learners to the grammaticality of this agreement relation using a self-paced reading task that incorporated the same conditional distinctions mentioned earlier. Through pairwise comparisons between the four conditions ([a] vs. [b] and [c] vs. [d]), they observed no significant differences in reading times, leading them to claim that even advanced learners—who demonstrated explicit knowledge of -(u)si through a written test they developed—showed no sensitivity to the error in condition (c) or to the infelicity in condition (b). However, caution is warranted in accepting their conclusions due to methodological limitations. For example, the test sentences were structurally complex, featuring two subjects at the sentence onset, a relative clause in the middle, and three additional segments following an embedded clause. Such complexity complicates the determination of whether the learners’ performance was due to an incomplete maturation of the target knowledge or simply the processing demands imposed by the intricate sentence structure. Additionally, the reliability and validity of the offline fill-in-the-blank test they developed were not rigorously confirmed, leaving uncertainty as to whether it accurately measured the intended linguistic knowledge.

3. Methods

Research on the acquisition of subject–predicate honorific agreement in Korean as a second or non-dominant language remains both limited and unsystematic. To date, no study has investigated how learners manage the notable mismatch between the honorific features of the subject and predicate in response to specific language-use environments. The present study addresses this gap by employing an acceptability judgement task in conjunction with reaction time measurement. In an acceptability judgement task, a reader examines a sentence both partially and holistically within relatively brief time constraints before arriving at a final interpretation and deciding on its acceptability. It is important to note that the outcome of this task does not necessarily confirm that the reader has attained target-like linguistic knowledge, as acceptability reflects a perceptual response to linguistic stimuli (Bresnan, 2007; Schütze, 1996; Sprouse & Almeida, 2013). Nonetheless, extensive research has effectively used this methodology to reveal a reader’s offline knowledge of the target phenomenon (Ambridge et al., 2015a; Bidgood et al., 2014; Dąbrowska, 2010; Robenalt & Goldberg, 2016; Tachihara & Goldberg, 2020). Reaction time adopted in this study is defined as the interval between encountering a sentence and making a final decision regarding its acceptability, irrespective of whether the decision is correct. This measure serves as an index of processing complexity (Schütze & Sprouse, 2014) and acts as a proxy for the recruitment and utilisation of cognitive resources during the task, often reflecting the efficiency and automatism with which target knowledge is processed (Grodner & Gibson, 2005; Kharkwal & Stromswold, 2014; Shapiro et al., 2003).

3.1. Participants

We recruited 24 L1-English L2-Korean learners (USA; age: M = 23.8, SD = 4.3) and 40 Korean heritage language speakers (KHS; age: M = 24.0, SD = 5.2), all of whom were undergraduate students residing in the United States. In addition, 40 native speakers of Korean (NSK; age: M = 23.6, SD = 4.1) were recruited as a control group.
The USA group had studied Korean as a foreign language for approximately four years (M = 4.4 years, SD = 2.0) and had spent less than three months staying in Korea (M = 2.1 months, SD = 2.3) at the time of testing. Their primary exposure to Korean was through university courses and textbooks, although many also supplemented their learning with online resources, including YouTube clips, language-learning apps, and various K-culture products.
The KHS group, on the other hand, were born in the United States and raised in Korean-speaking households, having lived in America for the majority of their lives (length of stay in the USA: M = 21.9, SD = 6.2). They predominantly used English in their daily interactions (English: M = 92.5, SD = 9.5; Korean: M = 37.1, SD = 27.3; score out of 100), and their use of Korean was more frequent in family contexts than with colleagues (family: M = 4.98, SD = 1.25; friends: M = 3.45, SD = 1.38; colleagues: M = 3.25, SD = 1.63; scores were on a six-point scale where 1 indicates ‘English only’ and 6 indicates ‘Korean only’). They reported higher confidence in their listening and speaking abilities in Korean (M = 4.03, SD = 0.92 [0 = not good; 5 = very good]) compared to their reading and writing skills (M = 3.05, SD = 1.20 [0 = not good; 5 = very good]), a difference that was statistically significant as confirmed by a one-sample t-test: t(78) = 4.085, p < 0.001. Despite this, they were somewhat unsatisfied with their spoken Korean (M = 2.83, SD = 1.39 [0 = not satisfied; 5 = very satisfied]) and perceived their overall command of Korean as falling short of target-like use (M = 2.05, SD = 1.66 [0 = fully disagree; 5 = fully agree]). All KHS participants primarily acquired Korean from their parents, with supplementary exposure provided through educational institutions such as language schools, universities, and academies (80%), online resources (70%), and social interactions with friends and peers (70%).
Proficiency in Korean was evaluated using the Korean C-test (Lee-Ellis, 2009), which assesses the comprehension of Korean sentences of varying lengths and complexities. The test comprises five passages in which blanks are inserted at the syllable level. As illustrated in Figure 1, each blank represents a syllable from either a content or function word and may occur in various positions within an eojeol (the minimal language unit in Korean, defined by white-space segmentation). For efficiency, we administered only the first four passages, following the recommendations of the original study. Each correctly filled blank was awarded 1 point, with a maximum possible score of 188. Completion of the test required approximately 20 min.
The main task, acceptability judgement, required a minimum level of reading proficiency. However, the C-test utilised in the current study does not provide standard proficiency indications such as those found in CEFR. Consequently, following the rationale established by Lee et al. (2024), we set a threshold score of 63 out of 188 (approximately 33%) to classify participants as having sufficient proficiency in Korean. Applying this criterion led to the exclusion of six participants from the initial cohort of the USA group—30 participants, resulting in a final sample of 24. We hope that future studies with larger and more balanced samples would replicate the findings reported in our study.

3.2. Materials

We constructed a total of 128 test sentences (32 items * 4 conditions as specified in Table 1; see Supplement Material for a complete list). In each test sentence, we employed simple, common, and frequently occurring nouns for the subjects (such as kinship terms, personal names, and occupations) and paired these with adjectives or verbs for the predicates. Notably, there was no repetition of subjects or predicates across the sentences. Prior to the main experiment, we normed these sentences by having an additional 10 native Korean speakers evaluate their grammaticality and ungrammaticality, in accordance with our intended design. To obscure the true purpose of the experiment, we also incorporated 256 filler sentences that varied in both complexity and grammaticality. The test sentences and fillers were divided into four sub-lists, which were then randomly allocated to participants, with the order of sentence presentation within each sub-list being fully randomised.

3.3. Procedure and Analysis

We conducted an acceptability judgement task using Qualtrics. Each participant joined a Zoom meeting individually and was instructed to rate the acceptability of each sentence on a 6-point Likert scale (with 0 indicating ‘very unacceptable’ and 5 indicating ‘very acceptable’). Participants were advised to respond as quickly as possible while maintaining accuracy and confidence in their evaluations. Once a numeric value was selected and the participant proceeded to the subsequent sentence, they were not able to revisit or modify their previous responses. In addition, we recorded the reaction time—the duration from when a sentence appeared on the screen until the participant made their final decision (as measured by the time taken to register a click on one of the scale points)—as an index of processing cost. To ensure a stable testing environment, the use of mobile devices was not permitted. Participants were allowed to complete the task in any location of their choosing (e.g., at home or on campus), provided they had a reliable internet connection and were able to remain undisturbed throughout the session. For this reason, we requested that all participants (i) check their internet connection and ensure that their surroundings were free of distractions prior to starting the task, and (ii) remain in the meeting room until the entire session was completed, thereby enabling us to monitor their participation in real time. Overall, the task required approximately 20 min to complete.
Data from both measures were initially refined by excluding responses with reaction times below 1000 ms or above 10,000 ms (resulting in a data loss of 10.93%). The remaining, trimmed data were then used for the planned analyses. For the acceptability judgement data, ordinal regression modelling was employed using the cumulative link mixed model function from the ordinal package (Christensen, 2023) in R (R Core Team, 2024). To more accurately assess group differences, pairwise comparisons were conducted (NSK–USA, NSK–KHS, USA–KHS), focusing exclusively on conditions (b, infelicitous) and (c, ungrammatical). Each model included two fixed effects—Group (NSK vs. USA; NSK vs. KHS; USA vs. KHS) and Condition (b vs. c)—as well as their interaction. Both fixed effects were centred around the mean and were deviation-coded. All models included the maximal random-effects structure permitted by the design (cf. Barr et al., 2013). Given the ordinal nature of the outcome variable, a logit link function was applied to model the cumulative probability of higher ratings. Model fitting and validation involved checks for convergence, the verification of the proportional odds assumption, and residual diagnostics. An effect size for each model was computed by approximating Nagelkerke’s R2, using comparisons of the log-likelihoods between the final model and a null model which contained only an intercept for the fixed effects and the full random-effects structure. Pairwise post hoc comparisons were performed using the emmeans package (Lenth, 2025), with p-values derived from Wald z-tests as implemented in the ordinal package.
For the reaction time data, the trimmed values were log-transformed to achieve normality and subsequently fitted to linear mixed-effects models using the lme4 package (Bates et al., 2015). Each model’s R2 was computed using Nakagawa’s R2 (Nakagawa & Schielzeth, 2013), which considers both fixed and random effects (conditional R2). All other specifications mirrored those used in the acceptability judgement data.

4. Results

4.1. Proficiency

The mean scores of the two groups differed notably (USA: M = 94.5, SD = 27.3; KHS: M = 127.3, SD = 25.8), and this difference was statistically significant as evidenced by the Wilcoxon rank-sum test (W = 204, p < 0.001). This finding indicates that the KHS group surpassed the USA group in overall Korean proficiency, also confirming that the KHS participants possessed commendable literacy and reading skills in their home language.

4.2. Acceptability Judgement

Figure 2 presents the acceptability ratings for each group. All participants rated conditions (a) and (d), which are both grammatical, as highly acceptable (above 4 on a 5-point scale). For condition (b, infelicitous), the ratings for the NSK and KHS groups were roughly equivalent and numerically higher than those of the USA group. In contrast, for condition (c, ungrammatical), the USA group provided the highest ratings, followed by the KHS group, with the NSK group giving the lowest ratings. Notably, amongst the two learner groups, the USA group rated condition (c) higher than condition (b), whereas the KHS group displayed the opposite pattern, rating condition (b) higher than condition (c).
In the NSK−USA model (Table 2), we found main effects in Condition (odds ratio = 0.47) and Group (odds ratio = 3.82), as well as an interaction effect between the two (odds ratio = 145.6). Bonferroni-corrected post hoc analyses further revealed (i) significant differences between the two conditions within each group (NSK: β = 2.85, SE = 0.277, z = 10.278, p < 0.001; USA: β = –2.14, SE = 0.596, z = –3.585, p = 0.002) and (ii) a significant difference between the two groups within condition (c) (β = –3.75, SE = 0.528, z = –7.094, p < 0.001). These results indicate that the USA group exhibited considerable leniency to the ungrammatical agreement relation in condition (c), while displaying a similar degree of ratings for the infelicitous condition (b), when compared to the NSK group.
In the NSK−KHS model (Table 3), we found main effects of Condition (odds ratio = 0.15) and Group (odds ratio = 2.19), along with an interaction effect between the two (odds ratio = 6.08). Bonferroni-corrected post-hoc analyses further revealed (i) significant differences between the two conditions within each group (NSK: as reported above; KHS: β = 1.034, SE = 0.235, z = 4.401, p < 0.001) and (ii) a significant difference between the two groups within condition (c) (β = –1.681, SE = 0.386, z = –4.349, p < 0.001). These findings indicate that the KHS group also showed considerable leniency with respect to the ungrammatical agreement relation in condition (c), and a similar degree of ratings for the infelicitous-yet-grammatical condition (b), when compared to the NSK group.
In the USA−KHS model (Table 4), we found an interaction effect between Condition and Group (odds ratio = 0.058). Bonferroni-corrected post-hoc analyses further revealed a significant difference between the two groups within condition (c) (β = 1.869, SE = 0.467, z = 4.004, p < 0.001). These results indicate that, compared to the USA group, the KHS group exhibited considerably greater stringency in their ratings of the ungrammatical agreement relation in condition (c).
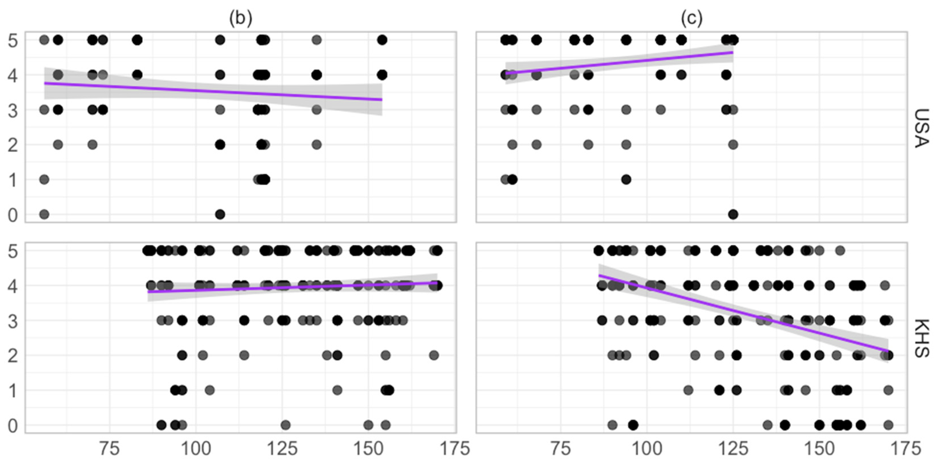
To unpack the relationship between general proficiency in the target language and task performance across the two learner groups, we conducted a Spearman correlation analysis between the proficiency test scores and the trimmed acceptability ratings for each group and condition. As presented in Table 5, significant correlations emerged exclusively in condition (c). Notably, the direction of the correlation differed between the groups, as illustrated in Figure 3. For the USA group, higher proficiency scores were associated with increased acceptability ratings, whereas for the KHS group, higher proficiency scores corresponded with lower acceptability ratings. These findings indicate that, while the acceptability ratings for condition (b) remained stable irrespective of proficiency across both groups, the evaluations for condition (c) exhibited divergent trends as a function of proficiency in Korean.

4.3. Reaction Time

Figure 4 displays the reaction time results for each group. Overall, both learner groups took significantly longer to rate the sentences than the NSK group across all conditions, with the KHS group generally responding faster than the USA group. For conditions (b, infelicitous) and (c, ungrammatical), the USA group exhibited numerically longer reaction times for condition (c) compared to that for condition (b), whereas the KHS group showed similar reaction times across both conditions.
Based on the marked differences in reaction times between the NSK group and the two learner groups, we limited the subsequent analysis to the USA–KHS comparison, focusing specifically on conditions (b, infelicitous) and (c, ungrammatical). Table 6 presents the model outputs for this comparison. We found a main effect in Group, with no significant differences observed between the two conditions within each group (USA: p = 0.411; KHS: p = 0.397). These results indicate that the KHS group consistently spent less time than the USA group when evaluating the (un)grammaticality of the agreement relation in the two conditions.
In a manner analogous to the acceptability judgement analysis, we conducted a Pearson correlation analysis to examine the relationship between proficiency test scores and reaction times for each group and condition. As illustrated in Table 7 and Figure 5, significant correlations were identified in both conditions, with higher proficiency scores being associated with shorter reaction times.

5. General Discussion

The two learner groups—English-speaking learners of Korean and heritage language speakers of Korean—demonstrated notable difference in performance when rating sentences involving subject–predicate honorific agreement. In the acceptability judgement task, although both groups rated the infelicitous condition (b) similarly, the heritage speaker group evaluated the ungrammatical condition (c) to be substantially less acceptable than did the English-speaking learner group. General proficiency in Korean modulated the evaluations of condition (c) in opposite directions between the two groups. Regarding reaction time, both learner groups spent considerably more time to assess acceptability than the native speaker group, which is consistent with previous studies indicating that non-dominant language or L2 users face global challenges in online sentence processing (Grüter & Rohde, 2021; Hopp, 2014; McDonald, 2006). Notably, the heritage speaker group responded significantly faster for both conditions (b) and (c) when compared to the English-speaking learner group. A higher proficiency in Korean was correlated with faster reaction times in both groups.
The USA group’s comprehension behaviour appeared to result from the combined influence of their exposure to specific linguistic environments and the linguistic properties of their L1. For example, this group’s leniency towards the ungrammatical condition (c) seemed to derive from two primary factors. One is the nature of L2 textbooks, which tend to over-emphasise honorification, particularly through the heavy reliance on the honorific verbal suffix. Research has shown that the characteristics of L2 input—as typified by textbook materials—contribute significantly to shaping the broad framework of L2 knowledge (Alsaif & Milton, 2012; Lee et al., 2024). Consequently, this may have led the USA group in the current study to be more generous in their ratings of sentences featuring the overt honorific verbal suffix, irrespective of the actual agreement relation.
The second factor is related to the morphosyntactic properties of English, the L1 of the USA group. As an analytic language with a relatively weak inflection and agreement system compared to agglutinative or (poly)synthetic languages, English may predispose learners to certain processing challenges. Given that the L2 mind is often heavily taxed during language activities (Cunnings, 2017; Pozzan & Trueswell, 2016), the USA group in the current study may have occasionally been less attentive to accurately computing the agreement relation between the subject and predicate, particularly under the strong influence of L2 textbook input. Supporting this interpretation, Jung et al. (n.d.) provided independent evidence by comparing English-speaking and Czech-speaking learners of Korean using the same experimental paradigm. They found that L1-Czech L2-Korean learners demonstrated greater stringency when rating the ungrammatical condition (c) than their English-speaking counterparts, despite similar reaction times. This suggests that the more robust agreement system in Czech may enable learners to better discern the appropriateness of the honorific verbal suffix.2 In this respect, the USA group in our experiment may have experienced difficulty in consistently and reliably handling the honorific verbal suffix when assessing the agreement relation.3
The KHS group’s acceptability ratings for the ungrammatical condition (c) were significantly higher than those of the NSK group, albeit not as high as those observed for the USA group. Furthermore, the KHS group spent considerably less time than the USA group to evaluate the acceptability of test sentences in this condition (and across all conditions). These findings suggest that the KHS group’s performance may be attributed to their enhanced capacity for engaging in home language activities in two distinct ways. First, it is plausible that the KHS group mitigated the influence of L2 textbook input regarding honorification to some extent, enabling them to more closely approximate target-like interpretations of sentences involving the agreement relation, as evidenced by their acceptability ratings. Second, the processing load associated with their home language may have been somewhat alleviated during the sentence evaluation process, thereby allowing them to perform the requisite computations more efficiently than the USA group, as reflected in their reaction times. We contend that these two aspects are engendered by the extensive use of the home language by the KHS group, albeit in an imperfect or asymmetrical manner with respect to register and type of language item.
The KHS group’s greater agility in the non-dominant language, as compared to the USA group, is also reflected in their proficiency scores, which serve as an additional proxy for usage experience. Overall proficiency in Korean was found to be significantly higher in the KHS group than in the USA group. While the proficiency scores were positively associated with reaction time patterns across both groups (i.e., higher scores corresponded with shorter reaction times), these scores exhibited an asymmetric relationship with acceptability rating patterns. Specifically, whereas the proficiency scores correlated positively with the ratings for condition (c) within the USA group (indicating that higher proficiency was associated with higher ratings), the scores correlated negatively with the ratings for the same condition within the KHS group (indicating that higher proficiency was linked to lower ratings). These divergent trends imply that, although higher proficiency in the target language could enhance overall processing efficiency for both learner groups, it may not necessarily have facilitated the acquisition of the target knowledge reinforced in a non-target-like manner through formal instruction, as observed in USA.
In this regard, the finding that the three groups exhibited no substantial differences in acceptability ratings for the infelicitous-yet-grammatical condition (b)—with these ratings remaining largely unaffected by proficiency scores in the two learner groups—opens up several possibilities. For example, the presence of the honorific nominative case marker (-kkeyse) may have served as a sufficient cue, reducing learners’ sensitivity to the presence or absence of the honorific verbal suffix. Alternatively, the local pairing of an honorifiable subject with the honorific nominative case marker itself may have enabled learners to preserve a certain degree of subject honorification. As our experimental design did not vary the honorific status of the nominative case marker attached to honorifiable subjects, our study does not directly speak to the validity of these alternatives. Consequently, further investigation into this matter is warranted.
Meanwhile, as this study focused exclusively on morphosyntactic features involving subject honorification, it did not consider pragmatic factors or Korean-specific cultural norms that may influence learners’ perception and processing of honorification. For instance, our findings do not directly speak to learners’ nuanced understanding of the social implications of using a person’s first name, which was present in some test sentences, in relation to social hierarchy. In this respect, future research should integrate pragmatic and cultural dimensions when exploring learners’ understanding of Korean subject honorification, particularly those with diverse language-use experiences.

6. Conclusions

Taken together, these findings suggest that usage experience of home language (amongst heritage language speakers) or of the target language in classroom settings (amongst foreign language learners) plays a pivotal role in non-dominant language activities. By comparing two learner groups that share the same dominant language yet have contrasting experiences with the non-dominant language, which is combined with similar tertiary-level instruction in the target language, the implications of this study provide robust empirical support for the influential role of learning environments in shaping learning outcomes.
To conclude, we acknowledge that the findings of this study warrant further verification in two major areas. First, usage characteristics of home language amongst heritage language speakers should be more precisely quantified to delineate the specific environments in which they engage. The current study does not fully address the complex nature of the KHS group’s home language use or its relationship with their overall language proficiency scores. Future research may benefit from employing distinct measures that have been developed in previous studies (cf. Kondo-Brown, 2005; Paradis, 2011). Second, learners’ L1 backgrounds need to be diversified to more effectively reveal the cross-linguistic influences on non-dominant language activities. Beyond the language pair examined in this study, researchers may consider comparing learners whose L1 is typologically closer to Korean, such as L1-Japanese L2-Korean learners versus heritage language speakers of Korean residing in Japan. Both of these avenues are directions we intend to pursue in our forthcoming research.

Supplementary Materials

The following supporting information can be downloaded at: https://www.mdpi.com/article/10.3390/languages10080180/s1.

Author Contributions

Conceptualization, G.-H.S., B.K.J., and M.Y.; methodology, G.-H.S. and B.K.J.; software, G.-H.S.; validation, G.-H.S., B.K.J., and M.Y.; formal analysis, G.-H.S.; investigation, G.-H.S., B.K.J., and M.Y.; resources, B.K.J. and M.Y.; data curation, G.-H.S. and B.K.J.; writing—original draft preparation, G.-H.S.; writing—review and editing, G.-H.S., B.K.J., and M.Y.; visualization, G.-H.S.; supervision, G.-H.S.; project administration, B.K.J. and M.Y.; funding acquisition, B.K.J. and M.Y. All authors have read and agreed to the published version of the manuscript.

Funding

This research was supported by the 2022 Korean Studies Grant Program of the Academy of Korean Studies (AKS-2022-R-026), awarded to the second author. The APC was funded by the first author’s affiliation (University of Illinois Chicago).

Institutional Review Board Statement

The study was conducted in accordance with the Declaration of Helsinki, and approved by the Institutional Review Board of the University of Pittsburgh (STUDY 22020040).

Informed Consent Statement

Informed consent was obtained from all subjects involved in the study.

Data Availability Statement

The data and code of this study can be found in OSF at: https://osf.io/qk67s/?view_only=23898b74a7a84a80b984a2e50acaf65b, accessed on 9 March 2025.

Acknowledgments

This study is part of a larger project investigating comprehension and processing patterns of Korean clausal constructions by learners of Korean. Portions of this work were presented at the 48th Annual Boston University Conference on Language Development.

Conflicts of Interest

The authors declare no conflicts of interest.

Notes

1
Abbreviation throughout the article. DC = ending, declarative; DIR = directional marker; HON = honorific marker; NOM = nominative case marker; PST = past tense marker.
2
Czech is a synthetic, highly inflectional language with an active agreement system marked by word inflection, including grammatical case. Its contemporary honorific system comprises two primary styles: the informal second-person singular pronoun ty (T-form) and the formal second-person plural pronoun vy (V-form). This system creates a grammatical chain of address, pronoun selection, and verbal conjugation: (i) the conversational address requires an appropriate salutation, (ii) the pronoun must be vy, and (iii) the verb must be conjugated to agree with vy (see Kwak, 2021, for a detailed account). Lee et al. (2024) argue that, unlike English which lacks such a system, this sophisticated Czech honorific system may afford L1-Czech L2-Korean learners greater facility in identifying the honorific verbal suffix within conjugated predicates and evaluating its appropriateness, compared to L1-English L2-Korean learners. For the full details on the findings and interpretations, see Lee et al. (2024).
3
A related observation was made by Yoshimura and MacWhinney (2010): while L2-Japanese learners did not use an honorific cue as well as native Japanese speakers, the learners overused this cue when competing with a case-marking cue. They interpreted this as reflecting L2 learners’ tendency to focus on a single cue, although they often fail to correctly process subject–verb honorific agreement under heightened cognitive load, particularly when the case-marking cue is absent.

References

  1. Alsaif, A., & Milton, J. (2012). Vocabulary input from school textbooks as a potential contributor to the small uptake gained by English as a foreign language learners in Saudi Arabia. Language Learning Journal, 40(1), 21–33. [Google Scholar] [CrossRef]
  2. Ambridge, B., Bidgood, A., Twomey, K. E., Pine, J. M., Rowland, C. F., & Freudenthal, D. (2015a). Preemption versus entrenchment: Towards a construction-general solution to the problem of the retreat from verb argument structure overgeneralization. PLoS ONE, 10(4), e0123723. [Google Scholar] [CrossRef] [PubMed]
  3. Ambridge, B., Kidd, E., Rowland, C. F., & Theakston, A. L. (2015b). The ubiquity of frequency effects in first language acquisition. Journal of Child Language, 42(2), 239–273. [Google Scholar] [CrossRef] [PubMed]
  4. Barr, D. J., Levy, R., Scheepers, C., & Tily, H. J. (2013). Random effects structure for confirmatory hypothesis testing: Keep it maximal. Journal of Memory and Language, 68(3), 255–278. [Google Scholar] [CrossRef] [PubMed]
  5. Bates, D., Mächler, M., Bolker, B., & Walker, S. (2015). Fitting linear mixed-effects models using lme4. Journal of Statistical Software, 67(1), 1–48. [Google Scholar] [CrossRef]
  6. Behrens, H. (2006). The input–Output relationship in first language acquisition. Language and Cognitive Processes, 21(1–3), 2–24. [Google Scholar] [CrossRef]
  7. Bice, K., & Kroll, J. F. (2021). Grammatical processing in two languages: How individual differences in language experience and cognitive abilities shape comprehension in heritage bilinguals. Journal of Neurolinguistics, 58, 100963. [Google Scholar] [CrossRef] [PubMed]
  8. Bidgood, A., Ambridge, B., Pine, J. M., & Rowland, C. F. (2014). The retreat from locative overgeneralisation errors: A novel verb grammaticality judgment study. PLoS ONE, 9(5), e97634. [Google Scholar] [CrossRef] [PubMed]
  9. Bresnan, J. (2007). Is syntactic knowledge probabilistic? Experiments with the English dative alternation. In S. Featherston, & W. Sternefeld (Eds.), Roots: Linguistics in search of its evidential base (pp. 77–96). Mouton de Gruyter. [Google Scholar]
  10. Brown, L. (2010). Questions of appropriateness and authenticity in the representation of Korean honorifics in textbooks for second language learners. Language, Culture and Curriculum, 23(1), 35–50. [Google Scholar] [CrossRef]
  11. Brown, L. (2015). Honorifics and politeness. In L. Brown, & J. Yeon (Eds.), The handbook of Korean linguistics (pp. 303–319). John Wiley & Sons, Inc. [Google Scholar]
  12. Christensen, R. (2023). Ordinal-Regression Models for Ordinal Data (R package version 2023.12-4.1). Available online: https://cran.r-project.org/web/packages/ordinal/index.html (accessed on 7 July 2025).
  13. Cunnings, I. (2017). Parsing and working memory in bilingual sentence processing. Bilingualism: Language and Cognition, 20(4), 659–678. [Google Scholar] [CrossRef]
  14. Dąbrowska, E. (2010). Naive v. expert intuitions: An empirical study of acceptability judgments. The Linguistic Review, 27(1), 1–23. [Google Scholar] [CrossRef]
  15. Ellis, N. C. (2002). Frequency effects in language processing: A review with implications for theories of implicit and explicit language acquisition. Studies in Second Language Acquisition, 24(2), 143–188. [Google Scholar] [CrossRef]
  16. Ellis, N. C., & Ferreira-Junior, F. G. (2009). Constructions and their acquisition: Islands and the distinctiveness of their occupancy. Annual Review of Cognitive Linguistics, 7(1), 188–221. [Google Scholar] [CrossRef]
  17. Felser, C., & Arslan, S. (2019). Inappropriate choice of definites in Turkish heritage speakers of German. Heritage Language Journal, 16(1), 22–43. [Google Scholar] [CrossRef]
  18. Frenck-Mestre, C., Kim, S. K., Choo, H., Ghio, A., Herschensohn, J., & Koh, S. (2019). Look and listen! The online processing of Korean case by native and non-native speakers. Language, Cognition and Neuroscience, 34(3), 385–404. [Google Scholar] [CrossRef]
  19. Fuchs, Z. (2022). Eyetracking evidence for heritage speakers’ access to abstract syntactic agreement features in real-time processing. Frontiers in Psychology, 13, 960376. [Google Scholar] [CrossRef] [PubMed]
  20. Futrell, R., & Gibson, E. (2017). L2 processing as noisy channel language comprehension. Bilingualism: Language and Cognition, 20(4), 683–684. [Google Scholar] [CrossRef]
  21. Goldberg, A. E. (2019). Explain me this: Creativity, competition, and the partial productivity of constructions. Princeton University Press. [Google Scholar]
  22. Grodner, D., & Gibson, E. (2005). Consequences of the serial nature of linguistic input for sentenial complexity. Cognitive Science, 29(2), 261–290. [Google Scholar] [CrossRef] [PubMed]
  23. Grüter, T., & Rohde, H. (2021). Limits on expectation-based processing: Use of grammatical aspect for co-reference in L2. Applied Psycholinguistics, 42, 51–75. [Google Scholar] [CrossRef]
  24. Hartsuiker, R. J., Pickering, M. J., & Veltkamp, E. (2004). Is syntax separate or shared between languages? Cross-linguistic syntactic priming in Spanish-English bilinguals. Psychological Science, 15(6), 409–414. [Google Scholar] [CrossRef] [PubMed]
  25. Hopp, H. (2014). Working memory effects in the L2 processing of ambiguous relative clauses. Language Acquisition, 21(3), 250–278. [Google Scholar] [CrossRef]
  26. Hur, E., Lopez Otero, J. C., & Sanchez, L. (2020). Gender agreement and assignment in Spanish heritage speakers: Does frequency matter? Languages, 5(4), 48. [Google Scholar] [CrossRef]
  27. Hwang, H., Shin, J. A., & Hartsuiker, R. J. (2018). Late bilinguals share syntax unsparingly between L1 and L2: Evidence from crosslinguistically similar and different constructions. Language Learning, 68(1), 177–205. [Google Scholar] [CrossRef]
  28. Jacob, G., & Felser, C. (2016). Reanalysis and semantic persistence in native and non-native garden-path recovery. Quarterly Journal of Experimental Psychology, 69(5), 907–925. [Google Scholar] [CrossRef] [PubMed]
  29. Jegerski, J. (2018). Sentence processing in Spanish as a heritage language: Relative clause attachment in early bilinguals. Language Learning, 68(3), 598–634. [Google Scholar] [CrossRef]
  30. Jia, R., & Paradis, J. (2015). The use of referring expressions in narratives by Mandarin heritage language children and the role of language environment factors in predicting individual differences. Bilingualism: Language and Cognition, 18(4), 737–752. [Google Scholar] [CrossRef]
  31. Jiang, N., Novokshanova, E., Masuda, K., & Wang, X. (2011). Morphological congruency and the acquisition of L2 morphemes. Language Learning, 61(3), 940–967. [Google Scholar] [CrossRef]
  32. Jung, B. K., Shin, G.-H., & Lee, C. (n.d.). Interactive roles of L1 properties and L2 textbook input for constructing L2 knowledge: Subject-predicate honorific agreement in Korean. ITL-International Journal of Applied Linguistics. in press. [Google Scholar]
  33. Kharkwal, G., & Stromswold, K. (2014). Good-enough language processing: Evidence from sentence-video matching. Journal of Psycholinguistic Research, 43(1), 27–43. [Google Scholar] [CrossRef] [PubMed]
  34. Kidd, E., & Garcia, R. (2022). How diverse is child language acquisition research? First Language, 42(6), 703–735. [Google Scholar] [CrossRef]
  35. Kim, H. (2025). Crosslinguistic influence in bilingual morphosyntactic processing: Effects of language-common, language-contrasting, and language-specific information. Bilingualism: Language and Cognition, 28(1), 172–184. [Google Scholar] [CrossRef]
  36. Kim, J. H., Montrul, S., & Yoon, J. (2009). Binding interpretations of anaphors by Korean heritage speakers. Language Acquisition, 16(1), 3–35. [Google Scholar] [CrossRef]
  37. Kondo-Brown, K. (2005). Differences in language skills: Heritage language learner subgroups and foreign language learners. The Modern Language Journal, 89(4), 563–581. [Google Scholar] [CrossRef]
  38. Kwak, Y. (2021). Grammatical Expressions of Politeness in Czech and Korean: Tykání and Vykání in Korean [Unpublished Ph.D. dissertation, Palacký University Olomouc]. [Google Scholar]
  39. Kwon, N., & Sturt, P. (2016). Attraction effects in honorific agreement in Korean. Frontiers in Psychology, 7, 1302. [Google Scholar] [CrossRef] [PubMed]
  40. Kyle, K., & Crossley, S. (2017). Assessing syntactic sophistication in L2 writing: A usage-based approach. Language Testing, 34(4), 513–535. [Google Scholar] [CrossRef]
  41. Laleko, O., & Polinsky, M. (2016). Between syntax and discourse: Topic and case marking in heritage speakers and L2 learners of Japanese and Korean. Linguistic Approaches to Bilingualism, 6(4), 396–439. [Google Scholar] [CrossRef]
  42. Lee, C., Shin, G.-H., & Jung, B. K. (2024). How ‘good-enough’ is second language comprehension? Morphological causative and suffixal passive constructions in Korean. Applied Linguistics Review, 15(6), 2685–2712. [Google Scholar] [CrossRef]
  43. Lee-Ellis, S. (2009). The development and validation of a Korean C-test using Rasch analysis. Language Testing, 26(2), 245–274. [Google Scholar] [CrossRef]
  44. Lenth, R. (2025). emmeans: Estimated Marginal Means, aka Least-Squares Means (R package version 1.11.1-00001). Available online: https://rvlenth.github.io/emmeans/ (accessed on 7 July 2025).
  45. López Otero, J. C., Hur, E., & Goldin, M. (2023). Syntactic optionality in heritage Spanish: How patterns of exposure and use affect clitic climbing. International Journal of Bilingualism, 28, 13670069231170691. [Google Scholar] [CrossRef]
  46. MacWhinney, B. (2008). A unified model. In P. Robinson, & N. C. Ellis (Eds.), Handbook of cognitive linguistics and second language acquisition (pp. 341–371). Routledge. [Google Scholar]
  47. Madlener, K. (2015). Frequency effects in instructed second language acquisition (Vol. 29). Walter de Gruyter GmbH & Co KG. [Google Scholar]
  48. McDonald, J. L. (2006). Beyond the critical period: Processing-based explanations for poor grammaticality judgment performance by late second language learners. Journal of Memory and Language, 55(3), 381–401. [Google Scholar] [CrossRef]
  49. Mikhaylova, A. (2018). Morphological bottleneck: The case of Russian heritage speakers. Journal of Language Contact, 11(2), 268–303. [Google Scholar] [CrossRef]
  50. Montrul, S. (2010). Current issues in heritage language acquisition. Annual Review of Applied Linguistics, 30, 3–23. [Google Scholar] [CrossRef]
  51. Montrul, S., Bhatia, A., Bhatt, R., & Puri, V. (2019). Case marking in Hindi as the weaker language. Frontiers in Psychology, 10, 461. [Google Scholar] [CrossRef] [PubMed]
  52. Mueller, J., & Jiang, N. (2013). The acquisition of the Korean honorific affix (u)si by advanced L2 learners. The Modern Language Journal, 97(2), 318–339. [Google Scholar] [CrossRef]
  53. Nakagawa, S., & Schielzeth, H. (2013). A general and simple method for obtaining R2 from generalized linear mixed-effects models. Methods in Ecology and Evolution, 4(2), 133–142. [Google Scholar] [CrossRef]
  54. Nielsen, M., Haun, D., Kärtner, J., & Legare, C. H. (2017). The persistent sampling bias in developmental psychology: A call to action. Journal of Experimental Child Psychology, 162, 31–38. [Google Scholar] [CrossRef] [PubMed]
  55. O’Grady, W., Kwak, H. Y., Lee, O. S., & Lee, M. (2011). An emergentist perspective on heritage language acquisition. Studies in Second Language Acquisition, 33(2), 223–245. [Google Scholar] [CrossRef]
  56. Paradis, J. (2011). Individual differences in child English second language acquisition: Comparing child-internal and child-external factors. Linguistic Approaches to Bilingualism, 1(3), 213–237. [Google Scholar] [CrossRef]
  57. Park, S. H., & Kim, H. (2022). Cross-linguistic influence in the second language processing of Korean morphological and syntactic causative constructions. Linguistic Approaches to Bilingualism, 12(5), 687–713. [Google Scholar] [CrossRef]
  58. Park, S. H., & Kim, H. (2023). Bilingual processing of case-marking and locative verbs in Korean: Use of L2-unique information. International Journal of Bilingualism, 27(5), 586–602. [Google Scholar] [CrossRef]
  59. Polinsky, M., & Scontras, G. (2020). Understanding heritage languages. Bilingualism: Language and Cognition, 23(1), 4–20. [Google Scholar] [CrossRef]
  60. Pozzan, L., & Trueswell, J. C. (2016). Second language processing and revision of garden-path sentences: A visual word study. Bilingualism: Language and Cognition, 19(3), 636–643. [Google Scholar] [CrossRef] [PubMed]
  61. R Core Team. (2024). R: A language and environment for statistical computing. R Foundation for Statistical Computing. [Google Scholar]
  62. Robenalt, C., & Goldberg, A. E. (2016). Nonnative speakers do not take competing alternative expressions into account the way native speakers do. Language Learning, 66(1), 60–93. [Google Scholar] [CrossRef]
  63. Rothman, J. (2009). Understanding the nature and outcomes of early bilingualism: Romance languages as heritage languages. International Journal of Bilingualism, 13(2), 155–163. [Google Scholar] [CrossRef]
  64. Schütze, C. T. (1996). The empirical base of linguistics: Grammaticality judgments and linguistic methodology. University of Chicago Press. [Google Scholar]
  65. Schütze, C. T., & Sprouse, J. (2014). Judgment data. In R. J. Podesva, & D. Sharma (Eds.), Research methods in linguistics (pp. 27–50). Cambridge University Press. [Google Scholar]
  66. Scontras, G., Polinsky, M., Tsai, C. Y. E., & Mai, K. (2017). Cross-linguistic scope ambiguity: When two systems meet. Glossa: A Journal of General Linguistics, 2(1), 1–28. [Google Scholar] [CrossRef]
  67. Shapiro, L. P., Hestvik, A., Lesan, L., & Garcia, A. R. (2003). Charting the time-course of VP-ellipsis sentence comprehension: Evidence for an initial and independent structural analysis. Journal of Memory and Language, 49(1), 1–19. [Google Scholar] [CrossRef] [PubMed]
  68. Shin, G.-H., & Shin, J. (n.d.). Typological similarity is not always helpful: Second language processing of Korean dative construction. Revista Española de Lingüística Aplicada/Spanish Journal of Applied Linguistics. in press. [Google Scholar]
  69. Sohn, H. M. (1999). The Korean language. Cambridge University Press. [Google Scholar]
  70. Song, S., Choe, J. W., & Oh, E. (2019). An empirical study of honorific mismatches in Korean. Language Sciences, 75, 47–71. [Google Scholar] [CrossRef]
  71. Sprouse, J., & Almeida, D. (2013). The role of experimental syntax in an integrated cognitive science of language. In K. K. Grohmann, & C. Boeckx (Eds.), The Cambridge handbook of biolinguistics (pp. 181–202). Cambridge University Press. [Google Scholar][Green Version]
  72. Tachihara, K., & Goldberg, A. E. (2020). Reduced competition effects and noisier representations in a second language. Language Learning, 70(1), 219–265. [Google Scholar] [CrossRef]
  73. Tomasello, M. (2003). Constructing a language: A usage-based theory of language acquisition. Harvard University Press. [Google Scholar][Green Version]
  74. Torres, J. (2023). Exploring working memory and language dominance in heritage bilinguals’ writing processes. Studies in Second Language Acquisition, 45(3), 710–736. [Google Scholar] [CrossRef]
  75. U.S. Census Bureau. (2021). Asian American and Pacific Islander heritage month: May 2021. Available online: https://www.census.gov/newsroom/facts-for-features/2021/asian-american-pacific-islander.html (accessed on 17 April 2024).[Green Version]
  76. Yoshimura, Y., & MacWhinney, B. (2010). Honorifics: A sociocultural verb agreement cue in Japanese sentence processing. Applied Psycholinguistics, 31(3), 551–569. [Google Scholar] [CrossRef]
Figure 1. Example of the Korean C-test (1st paragraph; Lee-Ellis, 2009).
Figure 1. Example of the Korean C-test (1st paragraph; Lee-Ellis, 2009).
Languages 10 00180 g001
Figure 2. Acceptability judgement (raw). X-axis = group/condition; Y-axis = acceptability. M = mean score; SD = standard deviation. Error bars indicate 95% CIs.
Figure 2. Acceptability judgement (raw). X-axis = group/condition; Y-axis = acceptability. M = mean score; SD = standard deviation. Error bars indicate 95% CIs.
Languages 10 00180 g002
Figure 3. Correlation by Group (USA; KHS) and Condition ([b]; [c]): Proficiency~acceptability judgement. X-axis: proficiency score; Y-axis: rating. Dots represent individual data points. Purple lines represent regression lines. The grey region represents the standard error, visually conveying the variability around the mean estimate.
Figure 3. Correlation by Group (USA; KHS) and Condition ([b]; [c]): Proficiency~acceptability judgement. X-axis: proficiency score; Y-axis: rating. Dots represent individual data points. Purple lines represent regression lines. The grey region represents the standard error, visually conveying the variability around the mean estimate.
Languages 10 00180 g003
Figure 4. Reaction time (raw; trimmed). X-axis = Group (NSK; USA; KHS) and Condition ([a]; [b]; [c]; [d]), Y-axis = reaction time (ms). M = mean score; SD = standard deviation. Error bars indicate 95% CIs.
Figure 4. Reaction time (raw; trimmed). X-axis = Group (NSK; USA; KHS) and Condition ([a]; [b]; [c]; [d]), Y-axis = reaction time (ms). M = mean score; SD = standard deviation. Error bars indicate 95% CIs.
Languages 10 00180 g004
Figure 5. Correlation by Group (USA; KHS) and Condition ([b]; [c]): Proficiency ~ reaction time. X-axis: proficiency score; Y-axis: reaction time (log-transformed). Dots represent individual data points. Purple lines represent regression lines. The grey region represents the standard error, visually conveying the variability around the mean estimate.
Figure 5. Correlation by Group (USA; KHS) and Condition ([b]; [c]): Proficiency ~ reaction time. X-axis: proficiency score; Y-axis: reaction time (log-transformed). Dots represent individual data points. Purple lines represent regression lines. The grey region represents the standard error, visually conveying the variability around the mean estimate.
Languages 10 00180 g005
Table 1. Four conditions involving Korean subject−predicate honorific agreement.
Table 1. Four conditions involving Korean subject−predicate honorific agreement.
HON Predicate
+
Subject(a): grammatical(c): ungrammatical
Mia-kapang-ulo tuleka-ss-ta.Mia-kapang-ulo tuleka-si-ess-ta.
Mia-nomroom-dir go.into-pst-dcMia-nomroom-dir go.into-hon-pst-dc
‘Mia went into the room.’‘Mia went into the room.’
+(b): infelicitous(d): grammatical
sensayngnim-kkeysepang-ulosensayngnim-kkeysepang-ulo
teacher-nom.honroom-dirteacher-nom.honroom-dir
tuleka-ss-ta.tuleka-si-ess-ta.
go.into-pst-dcgo.into-hon-pst-dc
‘The teacher went into the room.’‘The teacher went into the room.’
“+” and “–” indicate the presence and absence of the honorific feature, respectively. Condition (c) is considered ungrammatical owing to the incongruity between a non-honorifiable subject and the overt presence of the honorific verbal suffix in the predicate. Conversely, condition (b) is regarded as infelicitous, albeit acceptable, as it stems from the reverse mismatch—namely, an honorifiable subject paired with a predicate that does not exhibit the honorific verbal suffix.
Table 2. Model output: acceptability judgement, NSK−USA (α = 0.05).
Table 2. Model output: acceptability judgement, NSK−USA (α = 0.05).
βSEzp
Thresholds
0|1−3.9550.312−12.683
1|2−2.3070.238−9.689
2|3−1.4740.217−6.779
3|4−0.4120.205−2.010
4|51.2160.2125.731
Intercepts
Condition−0.7600.286−2.6620.008 **
Group1.3390.3853.474<0.001 ***
Condition × Group4.9830.6777.356<0.001 ***
Note. Nagelkerke’s pseudo-R2: 0.281. ** < 0.01; *** < 0.001.
Table 3. Model output: acceptability judgement, NSK−KHS (α = 0.05).
Table 3. Model output: acceptability judgement, NSK−KHS (α = 0.05).
βSEzp
Thresholds
0|1−3.5660.265−13.446
1|2−2.2090.216−10.241
2|3−1.5270.200−7.625
3|4−0.3940.187−2.107
4|51.3470.1946.941
Intercepts
Condition−1.8680.185−10.110<0.001***
Group0.7840.350 2.2420.025 *
Condition × Group1.8060.3395.322<0.001***
Note. Nagelkerke’s pseudo-R2: 0.194. * < 0.05; *** < 0.001.
Table 4. Model output: acceptability judgement, USA−KHS (α = 0.05).
Table 4. Model output: acceptability judgement, USA−KHS (α = 0.05).
βSEzp
Thresholds
0|1−3.5780.282−12.682
1|2−2.4400.221−11.045
2|3−1.7920.199−8.980
3|4−0.8400.181−4.642
4|50.6090.1783.421
Intercepts
Condition0.188 0.2510.7480.455
Group−0.4970.345−1.4400.150
Condition × Group−2.8440.607−4.689<0.001 ***
Note. Nagelkerke’s pseudo-R2: 0.065. *** < 0.001.
Table 5. Correlation: Proficiency ~ acceptability judgement (α = 0.05).
Table 5. Correlation: Proficiency ~ acceptability judgement (α = 0.05).
Group
USAKHS
Condition(b)p = 0.254, rho = −0.098p = 0.962, rho = −0.003
(c)p = 0.003 **, rho = 0.236p < 0.001 ***, rho = −0.419
Note. ** < 0.01; *** < 0.001.
Table 6. Model output: reaction time, USA−KHS (log-transformed; α = 0.05).
Table 6. Model output: reaction time, USA−KHS (log-transformed; α = 0.05).
βSEtp
(Intercept)1.6340.03842.706<0.001 ***
Condition0.0070.0560.1230.902
Group−0.1890.077−2.4590.017 *
Condition × Group−0.1100.129−0.8590.393
Note. Nakagawa’s R2 = 0.411. * < 0.05; *** < 0.001.
Table 7. Correlation: Proficiency ~ reaction time (α = 0.05).
Table 7. Correlation: Proficiency ~ reaction time (α = 0.05).
Group
USAKHS
Condition(b)p < 0.001 ***, r = −0.282p < 0.001 ***, r = −0.256
(c)p = 0.027 **, r = −0.175p < 0.001 ***, r = −0.330
Note. ** < 0.01; *** < 0.001.
Disclaimer/Publisher’s Note: The statements, opinions and data contained in all publications are solely those of the individual author(s) and contributor(s) and not of MDPI and/or the editor(s). MDPI and/or the editor(s) disclaim responsibility for any injury to people or property resulting from any ideas, methods, instructions or products referred to in the content.

Share and Cite

MDPI and ACS Style

Shin, G.-H.; Jung, B.K.; Yang, M. Learning Environment and Learning Outcome: Evidence from Korean Subject–Predicate Honorific Agreement. Languages 2025, 10, 180. https://doi.org/10.3390/languages10080180

AMA Style

Shin G-H, Jung BK, Yang M. Learning Environment and Learning Outcome: Evidence from Korean Subject–Predicate Honorific Agreement. Languages. 2025; 10(8):180. https://doi.org/10.3390/languages10080180

Chicago/Turabian Style

Shin, Gyu-Ho, Boo Kyung Jung, and Minseok Yang. 2025. "Learning Environment and Learning Outcome: Evidence from Korean Subject–Predicate Honorific Agreement" Languages 10, no. 8: 180. https://doi.org/10.3390/languages10080180

APA Style

Shin, G.-H., Jung, B. K., & Yang, M. (2025). Learning Environment and Learning Outcome: Evidence from Korean Subject–Predicate Honorific Agreement. Languages, 10(8), 180. https://doi.org/10.3390/languages10080180

Article Metrics

Back to TopTop