Analysis of Numerical Methods for Droplet Impingement Characteristics under Aircraft Icing Conditions
Abstract
:1. Introduction
2. Numerical Simulation Methods
2.1. Lagrangian Method
2.2. Eulerian Method
3. Results and Discussions
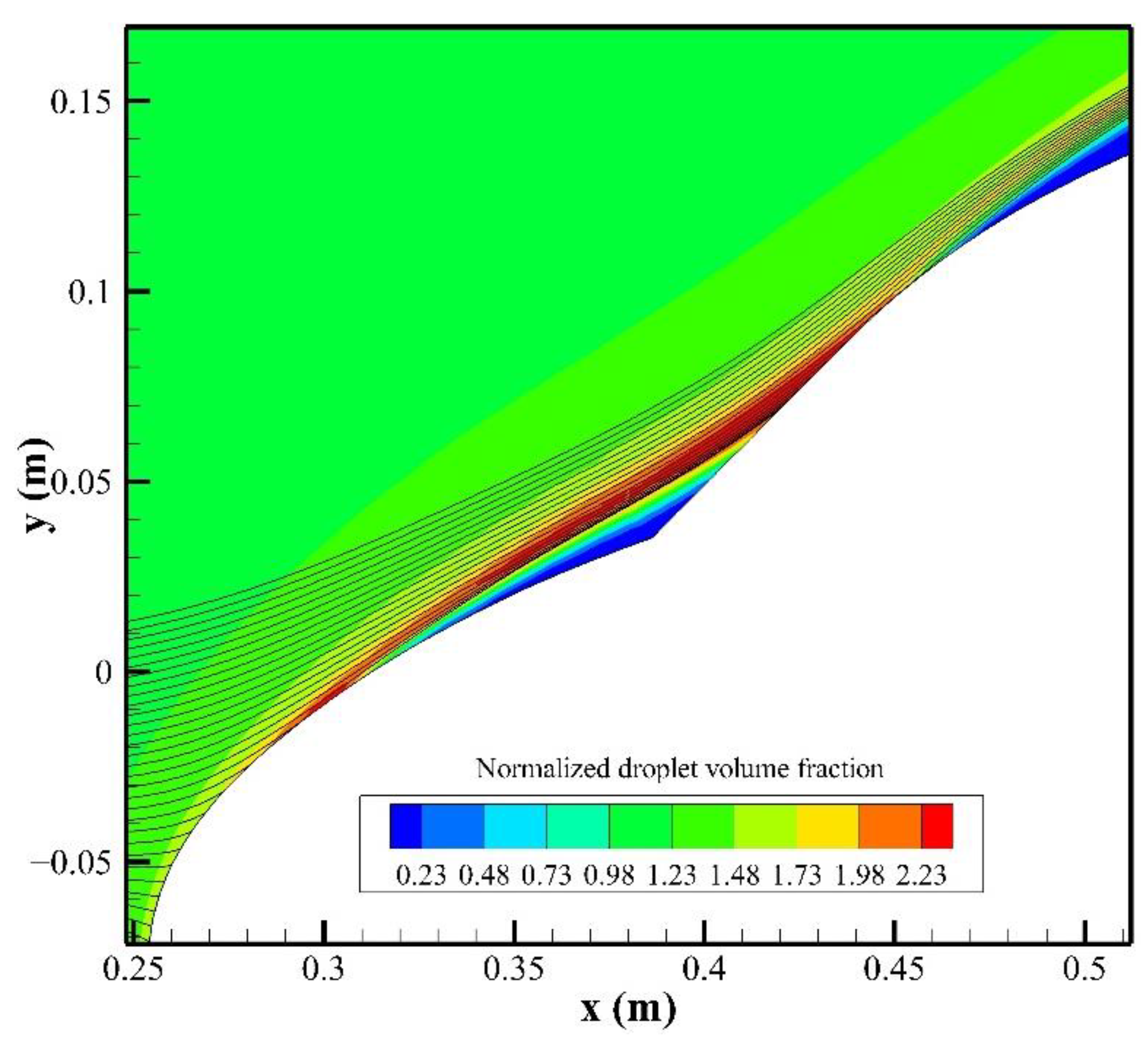
3.1. Method Validation
3.2. Comparison with an Aircraft Head
3.3. Comparison with a Multi-Element Airfoil
3.4. Analyses and Discussions
4. Conclusions
Author Contributions
Funding
Institutional Review Board Statement
Informed Consent Statement
Data Availability Statement
Conflicts of Interest
References
- Liu, Y.; Zhang, K.; Tian, W.; Hu, H. An experimental study to characterize the effects of initial ice roughness on the wind-driven water runback over an airfoil surface. Int. J. Multiph. Flow 2020, 126, 103254. [Google Scholar] [CrossRef]
- Cao, Y.; Tan, W.; Wu, Z. Aircraft icing: An ongoing threat to aviation safety. Aerosp. Sci. Technol. 2018, 75, 353–385. [Google Scholar] [CrossRef]
- Yu, J.; Peng, L.; Bu, X.; Shen, X.; Lin, G.; Bai, L. Experimental investigation and correlation development of jet impingement heat transfer with two rows of aligned jet holes on an internal surface of a wing leading edge. Chin. J. Aeronaut. 2018, 31, 1962–1972. [Google Scholar] [CrossRef]
- Trontin, P.; Villedieu, P. A comprehensive accretion model for glaciated icing conditions. Int. J. Multiph. Flow 2018, 108, 105–123. [Google Scholar] [CrossRef] [Green Version]
- Gutiérrez, B.A.; Della Noce, A.; Gallia, M.; Bellosta, T.; Guardone, A. Numerical simulation of a thermal Ice Protection System including state-of-the-art liquid film model. J. Comput. Appl. Math. 2021, 391, 113454. [Google Scholar] [CrossRef]
- Xie, L.; Li, P.; Chen, H.; Liu, H. Robust and efficient prediction of the collection efficiency in icing accretion simulation for 3D complex geometries using the Lagrangian approach I: An adaptive interpolation method based on the restricted radial basis functions. Int. J. Heat Mass Transf. 2020, 150, 119290. [Google Scholar] [CrossRef]
- Wirogo, S.; Srirambhatla, S. An Eulerian Method to Calculate the Collection Efficiency on two and Three Dimensional Bodies. In Proceedings of the 41st Aerospace Sciences Meeting and Exhibit, Reno, NV, USA, 6–9 January 2003. [Google Scholar]
- Sotomayor-Zakharov, D.; Bansmer, S. Finite-volume Eulerian solver for simulation of particle-laden flows for icing applications. Comput. Fluids 2021, 228, 105009. [Google Scholar] [CrossRef]
- Wright, W. User Manual for the NASA Glenn Ice Accretion Code LEWICE Version 2.2.2. NASA-CR-2002-211793, 2002. [Google Scholar]
- Villedieu, P.; Trontin, P.; Chauvin, R. Glaciated and mixed phase ice accretion modeling using ONERA 2D icing suite. In Proceedings of the 6th AIAA Atmospheric and Space Environments Conference, Atlanta, GA, USA, 16–20 June 2014. [Google Scholar]
- Papadakis, M.; Hung, K.; Vu, G.; Yeong, H.; Bidwell, C.; Breer, M.; Bencic, T. Experimental Investigation of Water Droplet Impingement on Airfoils, Finite Wings, and an S-Duct Engine Inlet. NASA/TM-2002-211700, 2002. [Google Scholar]
- Papadakis, M.; Wong, S.; Rachman, A.; Hung, K.; Vu, G.; Bidwell, C. Large and Small Droplet Impingement Data on Airfoils and Two Simulated Ice Shapes. NASA/TM—2007-213959, 2007. [Google Scholar]
- Norde, E.; Van Der Weide, E.T.A.; Hoeijmakers, H.W.M. Eulerian Method for Ice Crystal Icing. AIAA J. 2018, 56, 222–234. [Google Scholar] [CrossRef]
- Bourgault, Y.; Boutanios, Z.; Habashi, W.G. Three-Dimensional Eulerian Approach to Droplet Impingement Simulation Using FENSAP-ICE, Part 1: Model, Algorithm, and Validation. J. Aircr. 2000, 37, 95–103. [Google Scholar] [CrossRef]
- Aliaga, C.N.; Aubé, M.S.; Baruzzi, G.S.; Habashi, W.G. FENSAP-ICE-Unsteady: Unified In-Flight Icing Simulation Methodology for Aircraft, Rotorcraft, and Jet Engines. J. Aircr. 2011, 48, 119–126. [Google Scholar] [CrossRef]
- Wang, C.; Chang, S.; Leng, M.; Wu, H.; Yang, B. A two-dimensional splashing model for investigating impingement characteristics of supercooled large droplets. Int. J. Multiph. Flow 2016, 80, 131–149. [Google Scholar] [CrossRef] [Green Version]
- Tong, X.; Luke, E. Eulerian simulations of icing collection efficiency using a singularity diffusion model. In Proceedings of the 43rd AIAA Aerospace Sciences Meeting and Exhibit, Reno, NV, USA, 10–13 January 2005. [Google Scholar]
- Shen, X.; Tan, Y.; Yu, R.; Liu, X.; Lin, G.; Xu, Z.; Guo, Y. Effects of upstream component and air injection on water droplet impingement characteristics for downstream surfaces. Int. J. Aerosp. Eng. 2021, 2021, 2698028. [Google Scholar] [CrossRef]
- Fujiwara, G.E.C.; Bragg, M.B.; Broeren, A.P. Comparison of Computational and Experimental Ice Accretions of Large Swept Wings. J. Aircr. 2020, 57, 342–359. [Google Scholar] [CrossRef]
- Li, S.; Paoli, R. Modeling of Ice Accretion over Aircraft Wings Using a Compressible OpenFOAM Solver. Int. J. Aerosp. Eng. 2019, 2019, 4864927. [Google Scholar] [CrossRef]
- Liu, T.; Qu, K.; Cai, J.; Pan, S. A three-dimensional aircraft ice accretion model based on the numerical solution of the unsteady Stefan problem. Aerosp. Sci. Technol. 2019, 93, 105328. [Google Scholar] [CrossRef]
- Iuliano, E.; Brandi, V.; Mingione, G. Water impingement prediction on multi-element airfoils by means of Eulerian and Lagrangian approach with viscous and inviscid air flow. In Proceedings of the 44th AIAA Aerospace Sciences Meeting and Exhibit, Reno, NV, USA, 9–12 January 2006. [Google Scholar]
- Cloete, S.; Johansen, S.T.; Amini, S. Performance evaluation of a complete Lagrangian KTGF approach for dilute granular flow modelling. Powder Technol. 2012, 226, 43–52. [Google Scholar] [CrossRef] [Green Version]
- Chen, X.; Wang, J. A comparison of two-fluid model, dense discrete particle model and CFD-DEM method for modeling impinging gas-solid flows. Powder Technol. 2014, 254, 94–102. [Google Scholar] [CrossRef]
- Fox, R. A quadrature-based third-order moment method for dilute gas-particle flows. J. Comput. Phys. 2008, 227, 6313–6350. [Google Scholar] [CrossRef]
- Shen, X.; Lin, G.; Yang, S.; Wang, H. Eulerian method for droplets impingement calculation. In Proceedings of the 48th SAFE Symposium, San Diego, CA, USA, 8–10 November 2010. [Google Scholar]
- Ansys Inc. Ansys FLUENT User’s Guide, Software Package, Ver. 19.1. 2019. Available online: http://www.pmt.usp.br/academic/martoran/notasmodelosgrad/ANSYS%20Fluent%20Users%20Guide.pdf (accessed on 23 June 2022).
- Papadakis, M.; Rachman, A.; Wong, S.; Yeong, H.; Hung, K.; Vu, G.; Bidwell, C. Water Droplet Impingement on Simulated Glaze, Mixed, and Rime IceAccretions. NASA/TM-2007-213961, 2007. [Google Scholar]













Publisher’s Note: MDPI stays neutral with regard to jurisdictional claims in published maps and institutional affiliations. |
© 2022 by the authors. Licensee MDPI, Basel, Switzerland. This article is an open access article distributed under the terms and conditions of the Creative Commons Attribution (CC BY) license (https://creativecommons.org/licenses/by/4.0/).
Share and Cite
Shen, X.; Zhao, W.; Qi, Z.; Lin, G.; Wang, L. Analysis of Numerical Methods for Droplet Impingement Characteristics under Aircraft Icing Conditions. Aerospace 2022, 9, 416. https://doi.org/10.3390/aerospace9080416
Shen X, Zhao W, Qi Z, Lin G, Wang L. Analysis of Numerical Methods for Droplet Impingement Characteristics under Aircraft Icing Conditions. Aerospace. 2022; 9(8):416. https://doi.org/10.3390/aerospace9080416
Chicago/Turabian StyleShen, Xiaobin, Wenzhao Zhao, Zicheng Qi, Guiping Lin, and Liangquan Wang. 2022. "Analysis of Numerical Methods for Droplet Impingement Characteristics under Aircraft Icing Conditions" Aerospace 9, no. 8: 416. https://doi.org/10.3390/aerospace9080416
APA StyleShen, X., Zhao, W., Qi, Z., Lin, G., & Wang, L. (2022). Analysis of Numerical Methods for Droplet Impingement Characteristics under Aircraft Icing Conditions. Aerospace, 9(8), 416. https://doi.org/10.3390/aerospace9080416

