Aerodynamic Modelling of the Airfoil Immersed in Two-Dimensional Jet Flow
Abstract
1. Introduction
2. Basic Theory
- The flow is inviscid, and the influence of the viscosity is omitted,
- The flow is two-dimensional and incompressible,
- The total pressure difference between inside and outside jet flow remains constant.
2.1. Infinite Vortex Sheet
2.2. Discrete Jet Model
2.3. Jet Bouzndary Condition
2.4. The Free Streamline Model
2.5. Vortex Panel Method
2.6. Generalized Kutta-Joukowski Theorem
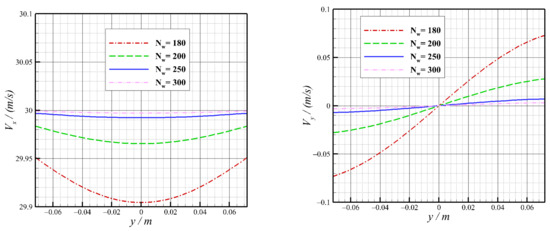
3. Method Validation
3.1. The Solution Process
- (1)
- Input the geometry parameter of the jet and airfoil, and initialize vortex sheet strength and velocity.
- (2)
- Calculate the induced velocity of the wall surfaces (jet outlet walls and the airfoil) including the effects of jet boundary and freestream.
- (3)
- Solve linear equations, and update the vortex strength and circulation on the wall surface.
- (4)
- Update the position of the discrete jet boundary by Equation (9).
- (5)
- Calculate the vortex strength of the discrete jet boundary by Equation (8).
- (6)
- Repeat (2)–(5), until the airfoil circulation and the jet position converge.
3.2. Airfoil in Freestream
3.3. Single Jet Flow
3.4. Airfoil in Jet Flow
4. Method Application
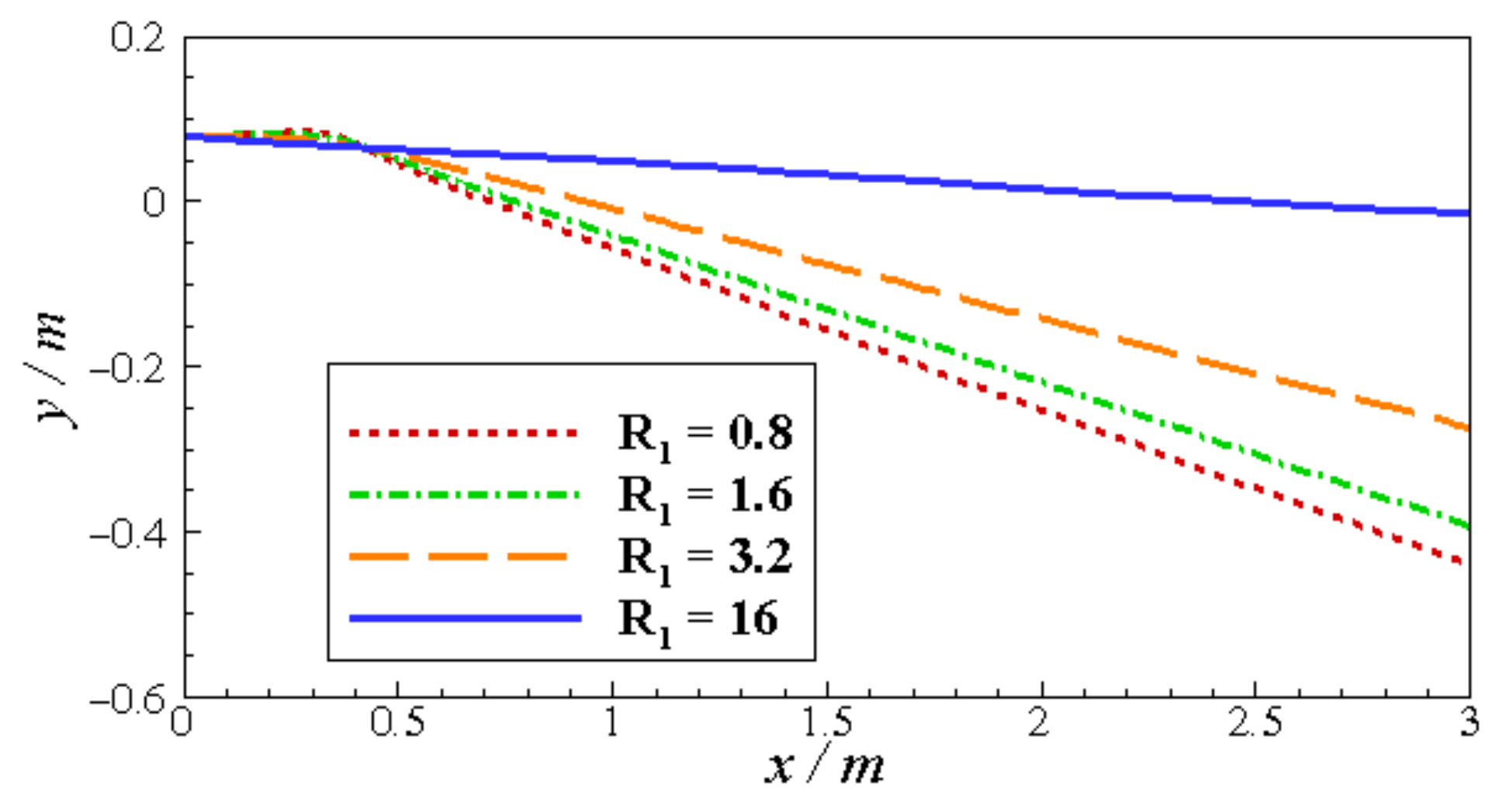
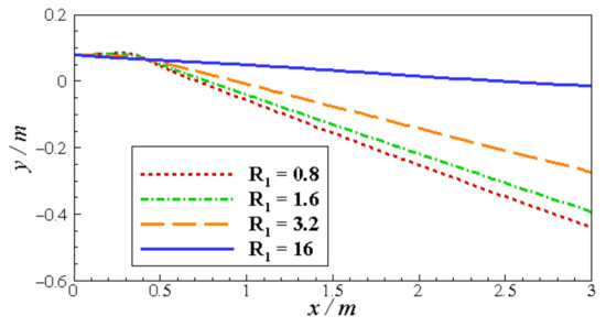
4.1. The Length Ratio of Jet Height to Airfoil Chord
4.2. The Velocity Ratio of Jet Velocity to Freestream Velocity
4.3. Ground Effect for the Airfoil in Jet Flow
5. Conclusions
- (1)
- The proposed method in this study can capture the deflection of the jet flow with a low time cost and can be used at a high-velocity ratio, which is suitable for the preliminary design of a powered-lift wing.
- (2)
- In a finite-width jet, the airfoil will not only generate lift but also drag because of the jet deflection. Besides, the slope of the lift curve in jet flow is lower than the situation in freestream flow. The lift and drag appear in different variations with the increase in the height-chord ratio. When the height-chord ratio is large enough, the aerodynamic characteristics of the airfoil will be close to the freestream condition.
- (3)
- For the inviscid jet flow, the velocity ratio of jet and freestream can be regarded as a similarity parameter, which can be used to describe this composite flow. Keeping the same geometric parameters, the aerodynamic coefficients of the airfoil will be equal at the same velocity ratio no matter how the velocity magnitude of the jet and freestream is.
- (4)
- For the airfoil in the jet flow, by resisting the deflection of the jet boundary, the ground effect can be used to increase lift and decrease drag, which is helpful for short take-off.
Author Contributions
Funding
Institutional Review Board Statement
Informed Consent Statement
Data Availability Statement
Acknowledgments
Conflicts of Interest
Nomenclature
| the chord of the airfoil, m | |
| two-dimensional drag coefficient | |
| two-dimensional lift coefficient | |
| two-dimensional drag, N | |
| the jet height, m | |
| the ground height, m | |
| two-dimensional lift, N | |
| the length of the jet outlet wall, m | |
| the length of the discrete jet boundary, m | |
| the number of the panel for the airfoil | |
| the number of the element at the discrete sheet | |
| static pressure of freestream, N/m2 | |
| R1 | the length ratio of jet height to airfoil chord |
| R2 | the velocity ratio of jet velocity to freestream velocity |
| jet velocity, m∙s−1 | |
| freestream velocity, m∙s−1 | |
| the velocity at the discrete jet boundary, m∙s−1 | |
| the velocity just inside the jet boundary, m∙s−1 | |
| the velocity just outside the jet boundary, m∙s−1 | |
| total pressure difference inside and outside jet flow, N/m2 | |
| the length of the element at discrete sheet, m | |
| the rotation center coordinates of the airfoil, m | |
| the coordinates of the starting point for the discrete jet boundary, m | |
| the velocity of the jth element at the discrete vortex sheet, m∙s−1 | |
| angle of attack, deg | |
| air density of freestream, kg/m3 | |
| circulation magnitude, m2∙s−1 | |
| vortex strength, m∙s−1 | |
| initial vortex strength at the jet boundary, m∙s−1 |
References
- Bacchini, A.; Cestino, E.C. Electric VTOL Configurations Comparison. Aerospace 2019, 6, 26. [Google Scholar] [CrossRef]
- Falarski, M.D.; Mort, K.W. Large Scale Wind Tunnel Investigation of a Ducted Fan Deflected Slipstream Model with an Auxiliary Wing; Technical Report NASA-TN-D-6323; NASA: Washington, DC, USA, 1971. [Google Scholar]
- Drondi, G.; Gibertini, G.; Grassi, D.; Campannardi, G.; Liprino, C. Proprotor–wing aerodynamic interaction in the first stages of conversion from helicopter to aeroplane mode. Aerosp. Sci. Technol. 2016, 58, 116–133. [Google Scholar] [CrossRef]
- Rothhaar, P.M.; Murphy, P.C.; Bacon, B.J.; Gregory, I.M.; Grauer, J.A.; Busan, R.C.; Croom, M.A. NASA Langley Distributed Propulsion VTOL TiltWing Aircraft Testing, Modeling, Simulation, Control, and Flight Test Development. In Proceedings of the 14th AIAA Aviation Technology, Integration, and Operations Conference, Atlanta, GA, USA, 16–20 June 2014. [Google Scholar] [CrossRef]
- Li, J.; Gong, Z.B.; Zhang, H.; Jin, J. Numerical Investigation of Powered High-lift model with Externally Blown Flap. J. Aircr. 2017, 54, 1539–1551. [Google Scholar] [CrossRef]
- Cui, G.P.; Feng, L.H.; Wang, W.J. Aerodynamic Characteristic of Deflected Slipstream Aimed at Vertical Takeoff and Landing. J. Aircr. 2019, 56, 1418–1426. [Google Scholar] [CrossRef]
- Chadha, S.A.; Pomeroy, B.W.; Selig, M.S. Computational Study of a Lifting Surface in Propeller Slipstreams. In Proceedings of the 34th AIAA Applied Aerodynamics Conference, Washington, DC, USA, 13–17 June 2016. [Google Scholar] [CrossRef][Green Version]
- Kuhn, R.E. Semiempirical Procedure for Estimating Lift and Drag Characteristics of Propeller-Wing-Flap Configurations for Vertical-and Short-Take-Off-and-Landing Airplanes; Technical Report NASA-MEMO-1-16-59L; NASA: Washington, DC, USA, 1959. [Google Scholar]
- Obert, E. A Method for the Determination of the Effect of Propeller Slipstream on the Static Longitudinal Stability and Control of Multi-Engined Aircraft; Technical Report LR-761; Delft University of Technology: Delft, The Netherlands, 1994. [Google Scholar]
- Chow, F.; Krause, E.; Liu, C.H.; Mao, J. Numerical investigations of an airfoil in a nonuniform stream. J. Aircr. 1970, 7, 531–537. [Google Scholar] [CrossRef]
- Ting, L.; Liu, C.H.; Kleinstein, G. Interference of Wing and Multipropellers. J. Aircr. 1972, 10, 906–914. [Google Scholar] [CrossRef]
- Ting, L.; Liu, C.H. Thin airfoil in nonuniform parallel streams. J. Aircr. 1969, 6, 173–175. [Google Scholar] [CrossRef]
- Lan, C.E. Some characteristics of airfoil-jet interaction with Mach number nonuniformity. J. Aircr. 1974, 11, 491–494. [Google Scholar] [CrossRef]
- Stone, R.H. Aerodynamic Modeling of the Wing-Propeller Interaction for a Tail-Sitter Unmanned Air Vehicle. J. Aircr. 2008, 45, 198–210. [Google Scholar] [CrossRef]
- Khan, W.; Nahon, M. Development and Validation of a Propeller Slipstream Model for Unmanned Aerial Vehicles. J. Aircr. 2015, 52, 1985–1994. [Google Scholar] [CrossRef]
- Joseph, C.; Mohan, R. A Parallel, Object-Oriented Framework for Unsteady Free-Wake Analysis of Multi-Rotor/Wing Systems. Comput. Fluids 2020, 215, 104788. [Google Scholar] [CrossRef]
- Leng, Y.; Bronz, M.; Jardin, T.; Moschetta, J.M. Slipstream Deformation of a Propeller-Wing Combination Applied for Convertible UAVs in Hover Condition. Unmanned Syst. 2020, 8, 295–308. [Google Scholar] [CrossRef]
- Lewis, R.I. Vortex Element Methods for Fluid Dynamic Analysis of Engineering Systems; Cambridge University Press: Cambridge, UK, 1991. [Google Scholar]
- Shollenberger, C.A. An Investigation of a Two-Dimensional Propulsive Lifting System; Technical Report NASA-CR-2250; NASA: Washington, DC, USA, 1973. [Google Scholar]
- Shollenberger, C.A. Analysis of the Interaction of Jets and Airfoils in Two Dimensions. J. Aircr. 1973, 10, 267–273. [Google Scholar] [CrossRef]
- Bontempo, R.; Manna, M. A ring-vortex free-wake model for uniformly loaded propellers. Part I—Model description. Energy Procedia 2018, 148, 360–367. [Google Scholar] [CrossRef]
- Bontempo, R.; Manna, M. A ring-vortex free-wake model for uniformly loaded propellers. Part II—Solution procedure and analysis of the results. Energy Procedia 2018, 148, 368–375. [Google Scholar] [CrossRef]
- Bontempo, R.; Manna, M. Ring-Vortex Panel Method for the Uniformly Loaded Propeller with Axisymmetric Hub. AIAA J. 2020, 58, 496–500. [Google Scholar] [CrossRef]
- Katz, J.; Plotkin, A. Low Speed Aerodynamics; Cambridge University Press: Cambridge, UK, 2001. [Google Scholar]
- Tritton, D.J. Physical Fluid Dynamics; Oxford University Press: Oxford, UK, 1988. [Google Scholar]
- Bai, C.Y.; Wu, Z.N. Generalized Kutta–Joukowski theorem for multi-vortices and multi-airfoil flow (lumped vortex model). Chin. J. Aeronaut. 2014, 27, 34–39. [Google Scholar] [CrossRef]
- Bai, C.Y.; Li, J.; Wu, Z.N. Generalized Kutta Joukowski theorem for multi-vortex and multi-airfoil flow with vortex production (general model). Chin. J. Aeronaut. 2014, 27, 1037–1050. [Google Scholar] [CrossRef]
- Drela, M. XFOIL: An Analysis and Design System for Low Reynolds Number Airfoils, Low Reynolds Number Aerodynamics; Springer: Berlin/Heidelberg, Germany, 1989. [Google Scholar]
- Ahmed, M.R.; Ali, S.H.; Imran, G.M.; SHARMA, S.D. Experimental Investigation of the Flowfield of a Symmetrical Airfoil in Ground Effect. In Proceedings of the 21st AIAA Applied Aerodynamics Conference, Orlando, FL, USA, 23–26 June 2003. [Google Scholar] [CrossRef]
- Guo, J.; Zhou, Z. Multi-Objective Design of a Distributed Ducted Fan System. Aerospace 2022, 9, 165. [Google Scholar] [CrossRef]
- Phillips, W.F.; Snyder, D.O. Modern Adaptation of Prandtl’s Classic Lifting-Line Theory. J. Aircr. 2000, 37, 662–670. [Google Scholar] [CrossRef]
- Gallay, S.; Laurendeau, E. Preliminary-Design Aerodynamic Model for Complex Configurations Using Lifting-Line Coupling Algorithm. J. Aircr. 2016, 53, 1145–1159. [Google Scholar] [CrossRef]
- Epema, H.K. Wing Optimisation for Tractor Propeller Configurations. Master’s Thesis, Delft University of Technology, Delft, The Netherlands, 2017. [Google Scholar]
























Publisher’s Note: MDPI stays neutral with regard to jurisdictional claims in published maps and institutional affiliations. |
© 2022 by the authors. Licensee MDPI, Basel, Switzerland. This article is an open access article distributed under the terms and conditions of the Creative Commons Attribution (CC BY) license (https://creativecommons.org/licenses/by/4.0/).
Share and Cite
Li, X.; Zhou, Z. Aerodynamic Modelling of the Airfoil Immersed in Two-Dimensional Jet Flow. Aerospace 2022, 9, 291. https://doi.org/10.3390/aerospace9060291
Li X, Zhou Z. Aerodynamic Modelling of the Airfoil Immersed in Two-Dimensional Jet Flow. Aerospace. 2022; 9(6):291. https://doi.org/10.3390/aerospace9060291
Chicago/Turabian StyleLi, Xu, and Zhou Zhou. 2022. "Aerodynamic Modelling of the Airfoil Immersed in Two-Dimensional Jet Flow" Aerospace 9, no. 6: 291. https://doi.org/10.3390/aerospace9060291
APA StyleLi, X., & Zhou, Z. (2022). Aerodynamic Modelling of the Airfoil Immersed in Two-Dimensional Jet Flow. Aerospace, 9(6), 291. https://doi.org/10.3390/aerospace9060291

