Assessment of Radiative Heating for Hypersonic Earth Reentry Using Nongray Step Models
Abstract
1. Introduction
2. Physical Models and Numerical Methods
2.1. Flow Governing Equations with Thermochemical Nonequilibrium Models
2.2. Flowfield Solver
2.3. Step Models for Radiation Properties
2.4. Tangent Slab (TS) Approach for RTE
2.5. Radiation–Flowfield Uncoupling Algorithm
3. Results and Discussion
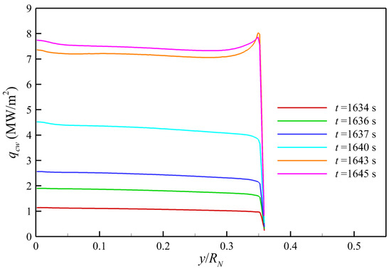
3.1. Convective Heating
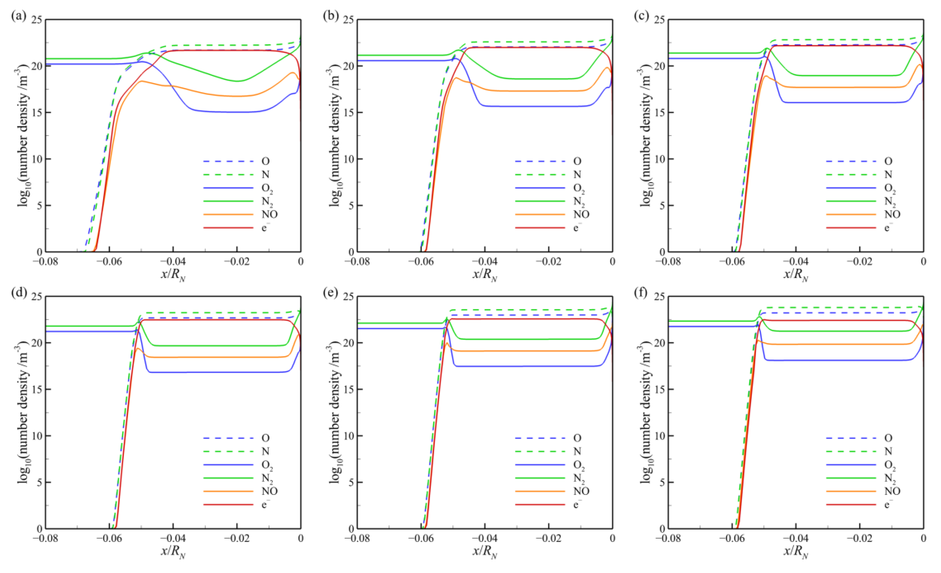
3.2. Thermochemical Nonequilibrium Flowfield
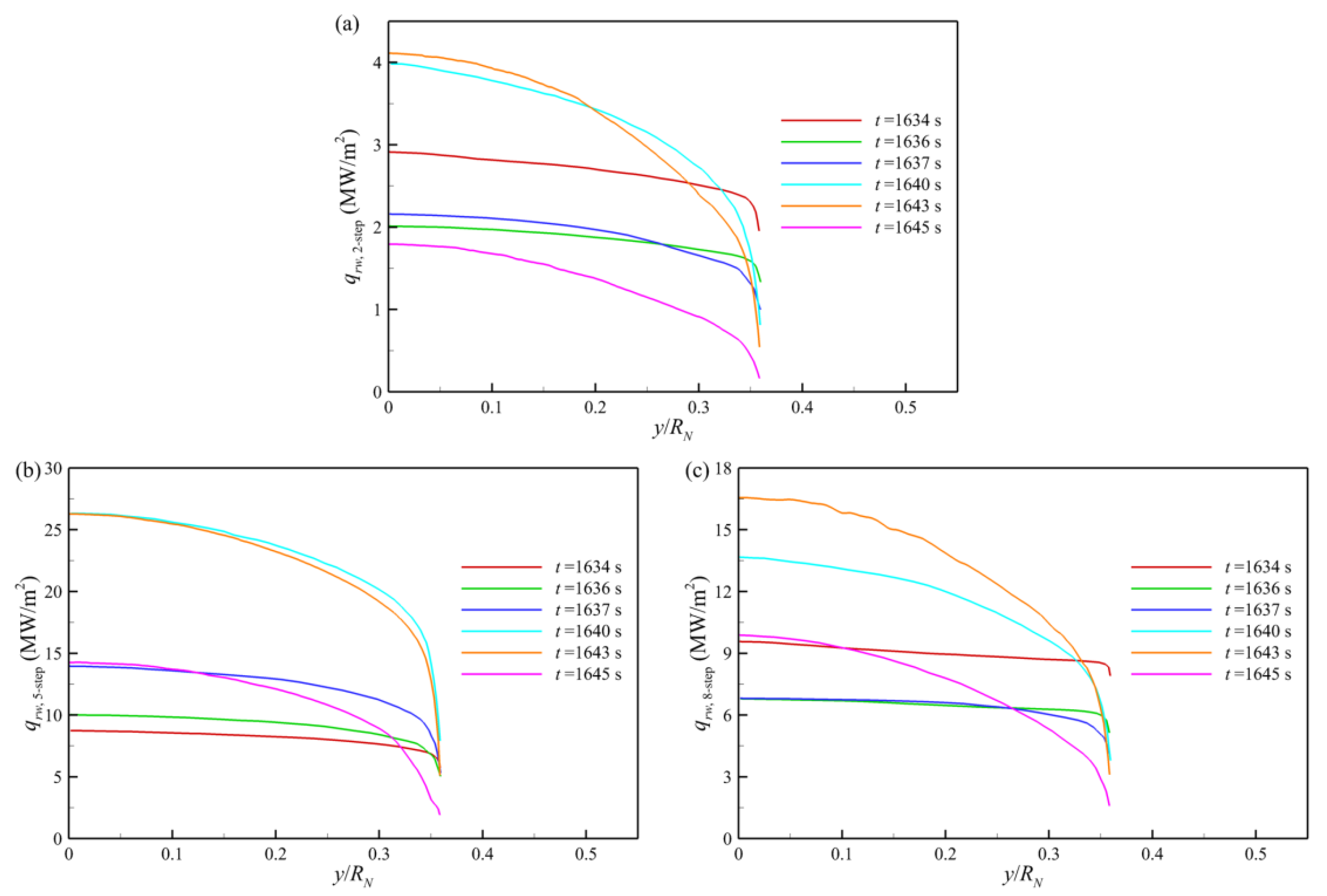
3.3. Radiative Heating
3.4. Radiation Field
4. Conclusions
Author Contributions
Funding
Institutional Review Board Statement
Informed Consent Statement
Data Availability Statement
Conflicts of Interest
Nomenclature
| e | total energy |
| eve | vibrational-electronic energy |
| h | total enthalpy |
| hs | enthalpy for the species s |
| hve,s | vibrational-electronic enthalpy for the species s |
| kf,r | forward reaction rate coefficients of the r-th reaction |
| kb,r | backward reaction rate coefficients of the r-th reaction |
| p | pressure |
| q | total heat flux |
| qve | vibrational-electronic heat flux |
| qcw,stag | convective heat flux at stagnation point |
| qrw,stag | radiative heat flux at stagnation point |
| Bj | j-th component of the unit directional vector |
| H | altitude |
| Hw | enthalpy at the wall |
| He | enthalpy at the outer edge of the boundary layer |
| Iν | spectral radiative intensity at frequency ν |
| Ibv | blackbody radiative intensity at frequency ν |
| Js,j | mass diffusion flux of the species s in the j-th direction |
| Ms | molecular mass per mole of species s |
| Ns | total number of air species |
| Nr | total number of chemical reactions |
| Rs | gas constant for the species s |
| RN | nose radius |
| Ttr | translational-rotational temperature |
| Tve | vibrational-electronic temperature |
| Tw | wall temperature |
| T∞ | freestream temperature |
| εw | wall emissivity |
| κm | absorption coefficient for the m-th spectral step |
| κP | Planck-mean absorption coefficient |
| κν | absorption coefficient at frequency ν |
| ν | radiation frequency |
| stoichiometric coefficient of the species s in the r-th backward reaction | |
| stoichiometric coefficient of the species s in the r-th forward reaction | |
| ρs | density of the species s |
| ρ∞ | freestream density |
| τij | viscous stress tensor |
| τν | optical thickness at frequency ν |
| ωr | radiative source term |
| ωs | mass production rate of the species s |
| ωve | vibrational-electronic energy source term |
Appendix A. Nongray Two-, Five- and Eight-Step Models
Appendix A.1. Two-Step Model
Appendix A.2. Five-Step Model
Appendix A.3. Eight-Step Model
References
- Sziroczak, D.; Smith, H.A. Review of Design Issues Specific to Hypersonic Flight Vehicles. Prog. Aeronaut. Sci. 2016, 84, 1–28. [Google Scholar] [CrossRef]
- Johnston, C.O.; Mazaheri, A. Impact of Non-Tangent-Slab Radiative Transport on Flowfield–Radiation Coupling. J. Spacecr. Rocket. 2018, 55, 899–913. [Google Scholar] [CrossRef]
- Hao, J.; Wang, J.; Lee, C. Numerical study of hypersonic flows over reentry configurations with different chemical nonequilibrium models. Acta Astronaut. 2016, 126, 1–10. [Google Scholar] [CrossRef]
- Maier, W.T.; Needels, J.T.; Garbacz, C. SU2-NEMO: An open-source framework for high-mach nonequilibrium multi-species flows. Aerospace 2021, 8, 193. [Google Scholar] [CrossRef]
- Hao, J.; Wang, J.; Lee, C. Assessment of vibration-dissociation coupling models for hypersonic nonequilibrium simulations. Aerosp. Sci. Technol. 2017, 67, 433–442. [Google Scholar] [CrossRef]
- Wang, J.; Han, F.; Lei, L. Numerical study of high-temperature nonequilibrium flow around reentry vehicle coupled with thermal radiation. Fluid Dyn. Mater. Process. 2020, 16, 601–613. [Google Scholar] [CrossRef]
- Brandis, A.M.; Saunders, D.A.; Johnston, C.O. Radiative heating on the after-body of Martian entry vehicles. J. Thermophys. Heat Transf. 2020, 34, 66–77. [Google Scholar] [CrossRef]
- Santos Fernandes, L.; Lopez, B.; Lino da Silva, M. Computational fluid radiative dynamics of the Galileo Jupiter entry. Phys. Fluids 2019, 31, 106104. [Google Scholar] [CrossRef]
- Bansal, A.; Modest, M.F.; Levin, D.A. Multi-scale k-distribution model for gas mixtures in hypersonic nonequilibrium flows. J. Quant. Spectrosc. Radiat. Transf. 2011, 112, 1213–1221. [Google Scholar] [CrossRef]
- Jo, S.M.; Kwon, O.J.; Kim, J.G. Stagnation-point heating of Fire II with a non-Boltzmann radiation model. Int. J. Heat Mass Transf. 2020, 153, 119566. [Google Scholar] [CrossRef]
- Feldick, A.M.; Modest, M.F.; Levin, D.A. Closely coupled flowfield-radiation interactions during hypersonic reentry. J. Thermophys. Heat Transf. 2011, 25, 481–492. [Google Scholar] [CrossRef][Green Version]
- Sohn, I.; Li, Z.; Levin, D.A. Effect of Nonlocal Vacuum Ultraviolet Radiation on a Hypersonic Nonequilibrium Flow. J. Thermophys. Heat Transf. 2012, 26, 393–406. [Google Scholar] [CrossRef]
- Surzhikov, S.T. Radiative gasdynamics of the nose surface of the Apollo-4 command module at its superobrital reentry. Fluid Dyn. 2017, 52, 815–831. [Google Scholar] [CrossRef]
- Lamet, J.M.; Babou, Y.; Riviere, P. Radiative transfer in gases under thermal and chemical nonequilibrium conditions: Application to earth atmospheric re-entry. J. Quant. Spectrosc. Radiat. Transf. 2008, 109, 235–244. [Google Scholar] [CrossRef]
- Sohn, I.; Bansal, A.; Levin, D.A.; Modest, M.F. Advanced radiation calculations of hypersonic reentry flows using efficient databasing schemes. J. Thermophys. Heat Transf. 2010, 24, 623–637. [Google Scholar] [CrossRef]
- Rahmanpour, M.; Ebrahimi, R.; Shams, M. Numerically gas radiation heat transfer modeling in chemically nonequilibrium reactive flow. Heat Mass Transf. 2011, 47, 1659–1670. [Google Scholar] [CrossRef]
- Wang, J.; Ju, P.; Lei, L. A two-dimensional finite volume scheme solving the axisymmetric radiative heat transfer based on general structured grids. J. Therm. Sci. Technol. 2019, 14, JTST0004. [Google Scholar] [CrossRef]
- Andrienko, D.A.; Surzhikov, S.; Shang, J. View-Factor Approach as a Radiation Model for the Reentry Flowfield. J. Spacecr. Rocket. 2016, 53, 74–83. [Google Scholar] [CrossRef]
- Anderson, J.D. An engineering survey of radiating shock layers. AIAA J. 1969, 7, 1665–1675. [Google Scholar] [CrossRef]
- Olstad, W.B. Nongray radiating flow about smooth symmetric bodies. AIAA J. 1971, 9, 122–130. [Google Scholar] [CrossRef]
- Greendyke, R.B.; Hartung, L.C. Approximate method for the calculation of nonequilibrium radiative heat transfer. J. Spacecr. Rocket. 1991, 28, 165–171. [Google Scholar] [CrossRef]
- Anderson, J.D. Hypersonic and High Temperature Gas Dynamics, 2nd ed.; AIAA, Inc.: Reston, VA, USA, 2006; pp. 769–773. [Google Scholar]
- Andrienko, D.A.; Surzhikov, S.T.; Shang, J.S. Spherical harmonics method applied to the multi-dimensional radiation transfer. Comput. Phys. Commun. 2013, 184, 2287–2298. [Google Scholar] [CrossRef]
- Mazaheri, A.; Johnston, C.O.; Sefidbakht, S. Three-dimensional radiation ray-tracing for shock-layer radiative heating simulations. J. Spacecr. Rocket. 2013, 50, 485–493. [Google Scholar] [CrossRef]
- Chai, J.C.; Lee, H.O.S.; Patankar, S.V. Finite volume method for radiation heat transfer. J. Thermophys. Heat Transf. 1994, 8, 419–425. [Google Scholar] [CrossRef]
- Wang, J.; Hao, J.; Du, G. Thermal radiation solving method library for the reentry vehicle flowfield simulation. K. Cheng Je Wu Li Hsueh Pao/J. Eng. Thermophys. 2017, 38, 1972–1979. [Google Scholar]
- Ozawa, T.; Levin, D.A.; Wang, A. Development of Coupled Particle Hypersonic Flowfield-Photon Monte Carlo Radiation Methods. J. Thermophys. Heat Transf. 2010, 24, 612–622. [Google Scholar] [CrossRef][Green Version]
- Andrienko, D.A.; Surzhikov, S.T. P1 approximation applied to the radiative heating of descent spacecraft. J. Spacecr. Rocket. 2012, 49, 1088–1098. [Google Scholar] [CrossRef]
- Stanley, S.A.; Carlson, L.A. Effects of shock wave precursors ahead of hypersonic entry vehicles. J. Spacecr. Rocket. 1992, 29, 190–197. [Google Scholar] [CrossRef]
- Hartung, L.C.; Mitcheltree, R.A.; Gnoffo, P.A. Coupled radiation effects in thermochemical nonequilibrium shock-capturing flowfield calculations. J. Thermophys. Heat Transf. 1994, 8, 244–250. [Google Scholar] [CrossRef]
- Wright, M.J.; Bose, D.; Olejniczak, J. Impact of flowfield-radiation coupling on aeroheating for titan aerocapture. J. Thermophys. Heat Transf. 2005, 19, 17–27. [Google Scholar] [CrossRef]
- Johnston, C.O.; Hollis, B.R.; Sutton, K. Nonequilibrium stagnation-line radiative heating for Fire II. J. Spacecr. Rocket. 2008, 45, 1185–1195. [Google Scholar] [CrossRef]
- Bauman, P.T.; Stogner, R.; Carey, G.F. Loose-coupling algorithm for simulating hypersonic flows with radiation and ablation. J. Spacecr. Rocket. 2011, 48, 72–80. [Google Scholar] [CrossRef]
- Johnston, C.O.; Brandis, A.M. Features of afterbody radiative heating for earth entry. J. Spacecr. Rocket. 2015, 52, 105–119. [Google Scholar] [CrossRef]
- Viviani, A.; Pezzella, G. Aerodynamic and Aerothermodynamic Analysis of Space Mission Vehicles; Springer International Publishing: Heidelberg, Germany, 2015; pp. 199–204. [Google Scholar]
- Tauber, M.E.; Palmer, G.E.; Yang, L. Earth atmospheric entry studies for manned Mars missions. J. Thermophys. Heat Transf. 1992, 6, 193–199. [Google Scholar] [CrossRef]
- Gupta, R. Navier-Stokes and viscous shock-layer solutions for radiating hypersonic flows. In Proceedings of the AIAA 22nd Thermophysics Conference, Honolulu, HI, USA, 8–10 June 1987. [Google Scholar]
- Olynick, D.; Henline, W.; Chamberg, L. Comparisons of coupled radiative Navier-Stokes flow solutions with the project Fire II flight data. In Proceedings of the 6th AIAA/AMSE Joint Thermophysics and Heat Transfer Conference, Colorado Springs, CO, USA, 20–23 June 1994. [Google Scholar]
- Palmer, G.E.; White, T.; Pace, A. Direct coupling of the NEQAIR radiation and DPLR CFD codes. J. Spacecr. Rocket. 2011, 48, 836–845. [Google Scholar] [CrossRef]
- Soucasse, L.; Scoggins, J.B.; Rivière, P. Flow-radiation coupling for atmospheric entries using a Hybrid Statistical Narrow Band model. J. Quant. Spectrosc. Radiat. Transf. 2016, 180, 55–69. [Google Scholar] [CrossRef]
- Bonin, J.; Mundt, C. Full three-dimensional Monte Carlo radiative transport for hypersonic entry vehicles. J. Spacecr. Rocket. 2019, 56, 44–52. [Google Scholar] [CrossRef]
- Park, C. Assessment of two-temperature kinetic model for ionizing air. J. Thermophys. Heat Transf. 1989, 3, 233–244. [Google Scholar] [CrossRef]
- Liu, Y.; Vinokur, F.S. A comparison of Internal Energy Calculation Methods for Diatomic Molecules. Phys. Fluids A 1990, 2, 1888–1902. [Google Scholar] [CrossRef]
- Gupta, R.N.; Yos, J.M.; Thompson, R.A. A Review of Reaction and Thermodynamic and Transport Properties for an 11-Species Air Model for Chemical and Thermal Nonequilibrium Calculations to 30,000 K; NASA RP 1232; National Aeronautics and Space Administration: Washington, DC, USA, 1990. [Google Scholar]
- Wang, J. Numerical Study on Coupled Chemical Nonequilibrium and Thermal Radiation Effects in High Speed and High Temperature Flows. Ph.D. Thesis, Beihang University, Beijing, China, 2015. [Google Scholar]
- Gnoffo, P.A.; Gupta, R.N.; Shinn, J.L. Conservation Equations and Physical Models for Hypersonic Air Flows in Thermal and Chemical Nonequilibrium; NASA TP 2867; National Aeronautics and Space Administration: Washington, DC, USA, 1989. [Google Scholar]
- Shoev, G.; Oblapenko, G.; Kunova, O. Validation of vibration-dissociation coupling models in hypersonic non-equilibrium separated flows. Acta Astronaut. 2018, 144, 147–159. [Google Scholar] [CrossRef]
- Millikan, R.C.; White, D.R. Systematics of Vibrational Relaxation. J. Chem. Phys. 1963, 39, 3209–3213. [Google Scholar] [CrossRef]
- Boyd, D. Rotational and vibrational nonequilibrium effects in rarefied hypersonic flow. J. Thermophys. Heat Transf. 1990, 4, 478–484. [Google Scholar] [CrossRef]
- Hao, J.; Wang, J.; Lee, C. Development of a Navier-Stokes code for hypersonic nonequilibrium simulations. In Proceedings of the 21st AIAA International Space Planes and Hypersonics Technologies Conference, Xiamen, China, 6–9 March 2017. [Google Scholar]
- MacCormack, R.W.; Candler, G.V. The solution of the Navier-Stokes equations using Gauss-Seidel line relaxation. Comput. Fluids 1989, 17, 135–150. [Google Scholar] [CrossRef]
- Van Leer, B. Towards the ultimate conservative difference scheme. J. Comput. Phys. 1997, 135, 229–248. [Google Scholar] [CrossRef]
- Wright, M.J.; Candler, G.V.; Bose, D. Data-parallel line relaxation method for the Navier-Stokes equations. AIAA J. 1998, 36, 1603–1609. [Google Scholar] [CrossRef]
- Hao, J.; Wang, J.; Gao, Z. Comparison of transport properties models for numerical simulations of Mars entry vehicles. Acta Astronaut. 2017, 130, 24–33. [Google Scholar] [CrossRef]
- Carlson, L.A. Approximations for hypervelocity nonequilibrium radiating, reacting, and conducting stagnation regions. J. Thermophys. Heat Transf. 1989, 3, 380–388. [Google Scholar] [CrossRef]
- Carlson, L.A.; Bobskill, G.J.; Greendyke, R.B. Comparison of vibration-dissociation coupling and radiative transfermodels for AOTV/AFE flowfields. J. Thermophys. Heat Transf. 1990, 4, 16–26. [Google Scholar] [CrossRef]
- Modest, M.F. Radiative Heat Transfer, 2nd ed.; Academic Press: San Diego, CA, USA, 2003; pp. 269–271; 288–346. [Google Scholar]
- Bertin, J.J.; Cummings, R.M. Critical hypersonic aerothermodynamic phenomena. Annu. Rev. Fluid Mech. 2006, 38, 129–157. [Google Scholar] [CrossRef]
- Scalabrin, L.C. Numerical Simulation of Weakly Ionized Hypersonic Flow over Reentry Capsules. Ph.D. Thesis, University of Michigan, Ann Arbor, MI, USA, 2007. [Google Scholar]
- Ramjatan, S.; Lani, A.; Boccelli, S. Blackout analysis of Mars entry missions. J. Fluid Mech. 2020, 904, A26. [Google Scholar] [CrossRef]
- Tauber, M.E.; Sutton, K. Stagnation-point radiative heating relations for Earth and Mars entries. J. Spacecr. Rocket. 1991, 28, 40–42. [Google Scholar] [CrossRef]
- Mazzoni, C.M.; Lentini, D.; D’Ammando, G. Evaluation of radiative heat transfer for interplanetary re-entry under vibrational nonequilibrium conditions. Aerosp. Sci. Technol. 2013, 28, 191–197. [Google Scholar] [CrossRef]
- Anderson, J.D. Heat transfer from a viscous nongray radiating shock layer. AIAA J. 1968, 6, 1570–1573. [Google Scholar] [CrossRef]
- Knott, P.R.; Carlson, L.A.; Nerem, R.M. A further note on shock-tube measurements of end-wall radiative heat transfer in air. AIAA J. 1969, 7, 2170–2172. [Google Scholar] [CrossRef]









| Model | Step No. | Wavelength (Å) | Spectral Band |
|---|---|---|---|
| Two-step | 1 | 0–1100 | VUV (vacuum ultraviolet) |
| 2 | 1100–∞ | Visible | |
| Five-step | 1 | 620–1100 | VUV continuum |
| 2 | 1100–1300 | VUV continuum | |
| 3 | 1300–1570 | VUV lines | |
| 4 | 1570–7870 | Visible | |
| 5 | 7870–9552 | IR (infrared) lines | |
| Eight-step | 1 | 400–852 | VUV continuum |
| 2 | 852–911 | VUV continuum | |
| 3 | 911–1020 | VUV continuum | |
| 4 | 1020–1130 | VUV continuum | |
| 5 | 1130–1801 | Continuum + line wings | |
| 6 | 1130–1801 | Line “centers” | |
| 7 | 1801–4000 | Visible | |
| 8 | 4000–∞ | Visible + infrared |
| Time (s) | H (km) | V∞ (km/s) | Ma | RN (m) | ρ∞ (kg/m3) | T∞ (K) | Tw (K) |
|---|---|---|---|---|---|---|---|
| 1634 | 76.42 | 11.36 | 40.58 | 0.935 | 3.72 × 10−5 | 195 | 615 |
| 1636 | 71.02 | 11.31 | 38.94 | 0.935 | 8.57 × 10−5 | 210 | 810 |
| 1637 | 67.05 | 11.25 | 37.17 | 0.935 | 1.47 × 10−4 | 228 | 1030 |
| 1640 | 59.62 | 10.97 | 34.34 | 0.935 | 3.86 × 10−4 | 254 | 1560 |
| 1643 | 53.04 | 10.48 | 31.47 | 0.805 | 7.80 × 10−4 | 276 | 640 |
| 1645 | 48.37 | 9.83 | 29.05 | 0.805 | 1.32 × 10−3 | 285 | 1520 |
Publisher’s Note: MDPI stays neutral with regard to jurisdictional claims in published maps and institutional affiliations. |
© 2022 by the authors. Licensee MDPI, Basel, Switzerland. This article is an open access article distributed under the terms and conditions of the Creative Commons Attribution (CC BY) license (https://creativecommons.org/licenses/by/4.0/).
Share and Cite
Yang, X.; Wang, J.; Zhou, Y.; Sun, K. Assessment of Radiative Heating for Hypersonic Earth Reentry Using Nongray Step Models. Aerospace 2022, 9, 219. https://doi.org/10.3390/aerospace9040219
Yang X, Wang J, Zhou Y, Sun K. Assessment of Radiative Heating for Hypersonic Earth Reentry Using Nongray Step Models. Aerospace. 2022; 9(4):219. https://doi.org/10.3390/aerospace9040219
Chicago/Turabian StyleYang, Xinglian, Jingying Wang, Yue Zhou, and Ke Sun. 2022. "Assessment of Radiative Heating for Hypersonic Earth Reentry Using Nongray Step Models" Aerospace 9, no. 4: 219. https://doi.org/10.3390/aerospace9040219
APA StyleYang, X., Wang, J., Zhou, Y., & Sun, K. (2022). Assessment of Radiative Heating for Hypersonic Earth Reentry Using Nongray Step Models. Aerospace, 9(4), 219. https://doi.org/10.3390/aerospace9040219

