A Modified RANS Model for Drag Prediction of Practical Configuration with Riblets and Experimental Validation
Abstract
:1. Introduction
2. Numerical Method
2.1. Governing Equations
2.2. Impact Factors of Drag Reduction Ratio
2.3. Steps to Modify the SST-RC Model
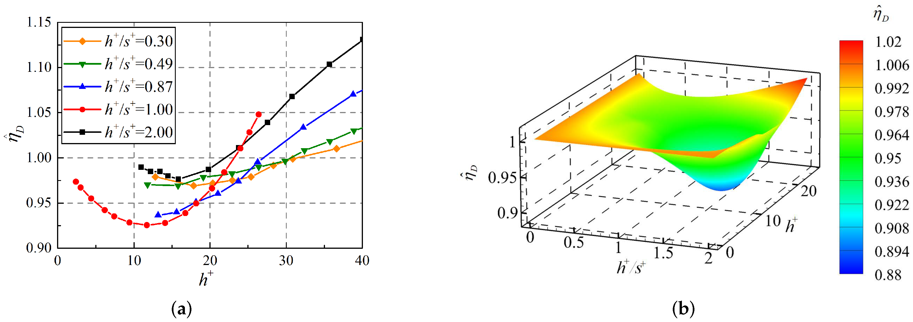
2.3.1. The Effect of Riblet Geometry
2.3.2. The Effect of Angle of Attack
2.3.3. The Effect of Numerical Parameters
3. Validation
3.1. Validation of the k-ω SST-RC Model
3.2. Validation of Riblet Flow without Angle of Attack
3.3. Validation of Riblet Flow with Angle of Attack
4. Numerical and Experimental Investigations on a Wing–Body
4.1. Details of the Practical Configuration
4.2. Computational Details
4.2.1. Computational Domain
4.2.2. Grid Independence Validation
4.2.3. Computational Results
4.3. Experimental Details
4.3.1. Experimental Setup
4.3.2. Experimental Results
5. Analysis of Numerical Results
5.1. Drag Components
5.2. Skin Friction Coefficient Distribution
5.3. Pressure Distribution
6. Discussion and Conclusions
- The riblet-equivalent boundary condition combined with the k- SST-RC model is constructed. In the modified RANS model, the effect of pressure gradient on drag-reducing performance is taken into account, so that the method can be used for the case where there is system curvature and pressure gradient. Comparisons with the previous data illustrate that the modified k- SST-RC model can predict the drag precisely, and the maximum error is 3.00%.
- The results of numerical simulations on the wing–body model are consistent with the corresponding aerodynamic drag measurements, and a maximum error of 3.21% is achieved. The numerical simulations illustrate that a maximum of 2.71% drag-reducing effect is achieved at AoA. This demonstrates that the modified SST-RC model is accurate and can be applied to the drag prediction of the practical configuration.
- Analysis of numerical simulations demonstrates that, with the incline in angle of attack, there is a decrease in the viscous drag while the pressure–drag component increases. For the skin friction coefficient, there is an overall decrease on the riblet surface. In addition, distributions of the pressure coefficient are also modified.
Author Contributions
Funding
Data Availability Statement
Conflicts of Interest
Abbreviations
| Latin characters | |
| Angle of attack | |
| Cross-diffusion term in the k- SST model | |
| Drag coefficient | |
| Drag coefficient of ribleted wing–body | |
| Drag coefficient of smooth wing–body | |
| Skin friction coefficient | |
| Lift coefficient | |
| Pressure coefficient | |
| Empirical constants in k- SST-RC model | |
| D | Aerodynamic drag |
| Drag of riblets without the effect of pressure gradient | |
| Drag acting on flat surface | |
| Dissipation term of -equation | |
| Dimensionless riblet height | |
| k | Turbulence kinetic energy |
| Length of the body of wing–body | |
| Span length of wings of wing–body | |
| Production term of turbulence kinetic energy | |
| Reynolds number | |
| Area of wing of the wing–body | |
| Dimensionless riblet spacing | |
| Three components of mean velocity | |
| Friction velocity | |
| Dimensionless velocity | |
| Additional velocity introduced by riblets | |
| Flow velocity of the free stream | |
| Three coordinates in space | |
| Cartesian coordinates | |
| Wall distance in wall unit | |
| Dimensionless wall distance of computational grid at the wall | |
| Greek characters | |
| Empirical constants in the k- SST model | |
| Angle of attack | |
| Dissipation rate of the turbulent kinetic energy | |
| Tensor of Levi–Civita | |
| Drag-reducing ratio with the effect of pressure gradient | |
| Drag-reducing ratio without the effect of pressure gradient | |
| Drag-reducing ratio of riblets on wing–body | |
| Ratio of to | |
| The von Karman constant | |
| Drag-reducing enhancing factor | |
| Dynamic viscosity | |
| Effective viscosity () | |
| Turbulent viscosity | |
| Kinematic viscosity | |
| Fluid density | |
| Fluid density in free stream | |
| Wall shear stress | |
| Turbulence eddy frequency | |
| Value of at wall | |
| Wall value of the modified SST-RC model | |
| Wall value of the original SST-RC model | |
| Vorticity tensor | |
| Components of | |
| Components of system rotation vector |
References
- Abu Salem, K.; Cipolla, V.; Palaia, G.; Binante, V.; Zanetti, D. A Physics-Based Multidisciplinary Approach for the Preliminary Design and Performance Analysis of a Medium Range Aircraft with Box-Wing Architecture. Aerospace 2021, 8, 292. [Google Scholar] [CrossRef]
- Walsh, M.J. Riblets as a viscous drag reduction technique. AIAA J. 1983, 21, 485–486. [Google Scholar] [CrossRef]
- Walsh, M.J. Effect of detailed surface geometry on riblet drag reduction performance. J. Aircr. 1990, 27, 572–573. [Google Scholar] [CrossRef]
- Walsh, M. Turbulent boundary layer drag reduction using riblets. In Proceedings of the 20th Aerospace Sciences Meeting, Orlando, FL, USA, 11–14 January 1982; p. 169. [Google Scholar]
- Luchini, P.; Manzo, F.; Pozzi, A. Resistance of a grooved surface to parallel flow and cross-flow. J. Fluid Mech. 1991, 228, 87–109. [Google Scholar] [CrossRef]
- Vukoslavcevic, P.; Wallace, J.; Balint, J.L. Viscous drag reduction using streamwise-aligned riblets. AIAA J. 1992, 30, 1119–1122. [Google Scholar] [CrossRef]
- Bruse, M.; Bechert, D.W.; van der Hoeven, J.; Hage, W.; Hoppe, G. Experiments with Conventional and with Novel Adjustable Drag Reducing Surfaces. In Proceedings of the International Conference on Near-Wall Turbulent Flows, Tempe, AZ, USA, 15–18 March 1993. [Google Scholar]
- Chu, D.C.; Karniadakis, G.E. A direct numerical simulation of laminar and turbulent flow over riblet-mounted surfaces. J. Fluid Mech. 1993, 250, 1–42. [Google Scholar] [CrossRef] [Green Version]
- Choi, H.; Moin, P.; Kim, J. Direct numerical simulation of turbulent flow over riblets. J. Fluid Mech. 1993, 255, 503–539. [Google Scholar] [CrossRef]
- Goldstein, D.; Handler, R.; Sirovich, L. Direct numerical simulation of turbulent flow over a modeled riblet covered surface. J. Fluid Mech. 1995, 302, 333–376. [Google Scholar] [CrossRef]
- Garcia-Mayoral, R.; Jimenez, J. Hydrodynamic stability and breakdown of the viscous regime over riblets. J. Fluid Mech. 2011, 678, 317–347. [Google Scholar] [CrossRef]
- Zhang, Z.; Zhang, M.; Cai, C.; Kang, K. A general model for riblets simulation in turbulent flows. Int. J. Comput. Fluid Dyn. 2020, 34, 333–345. [Google Scholar] [CrossRef]
- Wu, Z.; Yang, Y.; Liu, M.; Li, S. Analysis of the influence of transverse groove structure on the flow of a flat-plate surface based on Liutex parameters. Eng. Appl. Comp. Fluid 2021, 15, 1282–1297. [Google Scholar] [CrossRef]
- Li, W. Turbulence statistics of flow over a drag-reducing and a drag-increasing riblet-mounted surface. Aerosp. Sci. Technol. 2020, 104, 106003. [Google Scholar] [CrossRef]
- Li, C.; Tang, S.; Li, Y.; Geng, Z. Numerical and experimental investigations on drag-reducing effects of riblets. Eng. Appl. Comp. Fluid 2021, 15, 1726–1745. [Google Scholar] [CrossRef]
- Debisschop, J.; Nieuwstadt, F. Turbulent boundary layer in an adverse pressure gradient-effectiveness of riblets. AIAA J. 1996, 34, 932–937. [Google Scholar] [CrossRef]
- Nieuwstadt, F.; Wolthers, W.; Leijdens, H.; Prasad, K.K.; Schwarz-van Manen, A. The reduction of skin friction by riblets under the influence of an adverse pressure gradient. Exp. Fluids 1993, 15, 17–26. [Google Scholar] [CrossRef]
- Jung, Y.C.; Bhushan, B. Biomimetic structures for fluid drag reduction in laminar and turbulent flows. J. Phys. Condens. Matter 2009, 22, 035104. [Google Scholar] [CrossRef]
- Sundaram, S.; Viswanath, P.R.; Rudrakumar, S. Viscous drag reduction using riblets on NACA 0012 airfoil to moderate incidence. AIAA J. 1996, 34, 676–682. [Google Scholar] [CrossRef]
- Subaschandar, N.; Kumar, R.; Sundaram, S. Drag reduction due to riblets on a GAW (2) airfoil. J. Aircr. 1999, 36, 890–892. [Google Scholar] [CrossRef]
- Zhang, Y.; Chen, H.; Fu, S.; Dong, W. Numerical study of an airfoil with riblets installed based on large eddy simulation. Aerosp. Sci. Technol. 2018, 78, 661–670. [Google Scholar] [CrossRef]
- Boomsma, A.; Sotiropoulos, F. Riblet drag reduction in mild adverse pressure gradients: A numerical investigation. Int. J. Heat Fluid Flow 2015, 56, 251–260. [Google Scholar] [CrossRef]
- Buzica, A.; Debschütz, L.; Knoth, F.; Breitsamter, C. Leading-Edge Roughness Affecting Diamond-Wing Aerodynamic Characteristics. Aerospace 2018, 5, 98. [Google Scholar] [CrossRef] [Green Version]
- Bai, R.; Li, J.; Zeng, F.; Yan, C. Mechanism and Performance Differences between the SSG/LRR-omega and SST Turbulence Models in Separated Flows. Aerospace 2022, 9, 20. [Google Scholar] [CrossRef]
- Wilcox, D.C. Reassessment of the scale-determining equation for advanced turbulence models. AIAA J. 1988, 26, 1299–1310. [Google Scholar] [CrossRef]
- Menter, F.R. Two-equation eddy-viscosity turbulence models for engineering applications. AIAA J. 1994, 32, 1598–1605. [Google Scholar] [CrossRef] [Green Version]
- Spalart, P.; Shur, M. On the sensitization of turbulence models to rotation and curvature. Aerosp. Sci. Technol. 1997, 1, 297–302. [Google Scholar] [CrossRef]
- Shur, M.L.; Strelets, M.K.; Travin, A.K.; Spalart, P.R. Turbulence Modeling in Rotating and Curved Channels: Assessing the Spalart-Shur Correction. AIAA J. 2000, 38, 784–792. [Google Scholar] [CrossRef]
- Aupoix, B.; Pailhas, G.; Houdeville, R. Towards a general strategy to model riblet effects. AIAA J. 2012, 50, 708–716. [Google Scholar] [CrossRef]
- Mele, B.; Tognaccini, R. Numerical simulation of riblets on airfoils and wings. In Proceedings of the 50th AIAA Aerospace Sciences Meeting Including the New Horizons Forum and Aerospace Exposition, Nashville, TN, USA, 9–12 January 2012; p. 861. [Google Scholar]
- Catalano, P.; de Rosa, D.; Mele, B.; Tognaccini, R.; Moens, F. Effects of riblets on the performances of a regional aircraft configuration in NLF conditions. In Proceedings of the 2018 AIAA Aerospace Sciences Meeting, Kissimmee, FL, USA, 8–12 January 2018; p. 1260. [Google Scholar]
- Koepplin, V.; Herbst, F.; Seume, J. Correlation-based riblet model for turbomachinery applications. J. Turbomach. 2017, 139, 71006. [Google Scholar] [CrossRef]
- Li, J.; Liu, Y.; Wang, J. Evaluation method of riblets effects and application on a missile surface. Aerosp. Sci. Technol. 2019, 95, 105418. [Google Scholar] [CrossRef]
- Song, X.; Qi, Y.; Zhang, M.; Zhang, G.; Zhan, W. Application and optimization of drag reduction characteristics on the flow around a partial grooved cylinder by using the response surface method. Eng. Appl. Comp. Fluid 2019, 13, 158–176. [Google Scholar] [CrossRef] [Green Version]
- Menter, F.R. Review of the shear-stress transport turbulence model experience from an industrial perspective. Int. J. Comput. Fluid Dyn. 2009, 23, 305–316. [Google Scholar] [CrossRef]
- Zhang, Q.; Yang, Y. A new simpler rotation/curvature correction method for Spalart–Allmaras turbulence model. Chin. J. Aeronaut. 2013, 26, 326–333. [Google Scholar] [CrossRef] [Green Version]
- Smirnov, P.E.; Menter, F.R. Sensitization of the SST turbulence model to rotation and curvature by applying the Spalart–Shur correction term. J. Turbomach. 2009, 131, 41010. [Google Scholar] [CrossRef]
- Walsh, M.; Lindemann, A. Optimization and application of riblets for turbulent drag reduction. In Proceedings of the 22nd Aerospace Sciences Meeting, Reno, NV, USA, 9–12 January 1984; p. 347. [Google Scholar]
- Bushnell, D.M. Viscous Drag Reduction in Boundary Layers; AIAA: Reston, VA, USA, 1990; Volume 123. [Google Scholar]
- Gregory, N.; O’reilly, C. Low-Speed Aerodynamic Characteristics of NACA 0012 Aerofoil Section, Including the Effects of Upper-Surface Roughness Simulating Hoar Frost. 1970. Available online: https://reports.aerade.cranfield.ac.uk/handle/1826.2/3003 (accessed on 21 October 2014).
- Ladson, C.L. Effects of Independent Variation of Mach and Reynolds Numbers on the Low-Speed Aerodynamic Characteristics of the NACA 0012 Airfoil Section; National Aeronautics and Space Administration, Scientific and Technical Information Division: Washington, DC, USA, 1988; Volume 4074.
- Abbott, I.H.; Von Doenhoff, A.E. Theory of Wing Sections: Including a Summary of Airfoil Data; Courier Corporation: Honolulu, HI, USA, 2012. [Google Scholar]
- Kim, J.; Moin, P.; Moser, R. Turbulence statistics in fully developed channel flow at low Reynolds number. J. Fluid Mech. 1987, 177, 133–166. [Google Scholar] [CrossRef] [Green Version]
- Wu, D.; Wang, J.; Cui, G.; Pan, C. Effects of surface shapes on properties of turbulent/non-turbulent interface in turbulent boundary layers. Sci. China Technol. Sci. 2020, 63, 214–222. [Google Scholar] [CrossRef]



























| Case | Drag Reduction Ratio |
|---|---|
| Numerical result of Choi et al. [9] | −6.00% |
| Experimental result of Walsh [4] | −3.90% |
| Present work | −3.91% |
| Parameters | Value | |
|---|---|---|
| Fuselage | Equivalent diameter (m) | |
| Length (m) | ||
| Wing | Mean aerodynamic chord (m) | |
| Area (m2) | ||
| Span (m) | ||
| Horizontal stabilizer | Mean aerodynamic chord (m) | |
| Area (m2) | ||
| Span (m) | ||
| Vertical stabilizer | Mean aerodynamic chord (m) | |
| Area (m2) | ||
| Span (m) | ||
Publisher’s Note: MDPI stays neutral with regard to jurisdictional claims in published maps and institutional affiliations. |
© 2022 by the authors. Licensee MDPI, Basel, Switzerland. This article is an open access article distributed under the terms and conditions of the Creative Commons Attribution (CC BY) license (https://creativecommons.org/licenses/by/4.0/).
Share and Cite
Li, C.; Tang, S.; Li, Y.; Geng, Z. A Modified RANS Model for Drag Prediction of Practical Configuration with Riblets and Experimental Validation. Aerospace 2022, 9, 125. https://doi.org/10.3390/aerospace9030125
Li C, Tang S, Li Y, Geng Z. A Modified RANS Model for Drag Prediction of Practical Configuration with Riblets and Experimental Validation. Aerospace. 2022; 9(3):125. https://doi.org/10.3390/aerospace9030125
Chicago/Turabian StyleLi, Chaoqun, Shuo Tang, Yi Li, and Zihai Geng. 2022. "A Modified RANS Model for Drag Prediction of Practical Configuration with Riblets and Experimental Validation" Aerospace 9, no. 3: 125. https://doi.org/10.3390/aerospace9030125
APA StyleLi, C., Tang, S., Li, Y., & Geng, Z. (2022). A Modified RANS Model for Drag Prediction of Practical Configuration with Riblets and Experimental Validation. Aerospace, 9(3), 125. https://doi.org/10.3390/aerospace9030125
