Wall-Modeled Large Eddy Simulation and Detached Eddy Simulation of Wall-Mounted Separated Flow via OpenFOAM
Abstract
1. Introduction
2. Numerical Methods
2.1. WMLES
2.1.1. Governing Equations for LES
2.1.2. Wall-Modeled Method
2.2. Detached Eddy Simulation (DES) Method
2.2.1. Spalart–Allmaras DES
2.2.2. k-ω SST DES
3. Physic Models
4. Results and Discussion
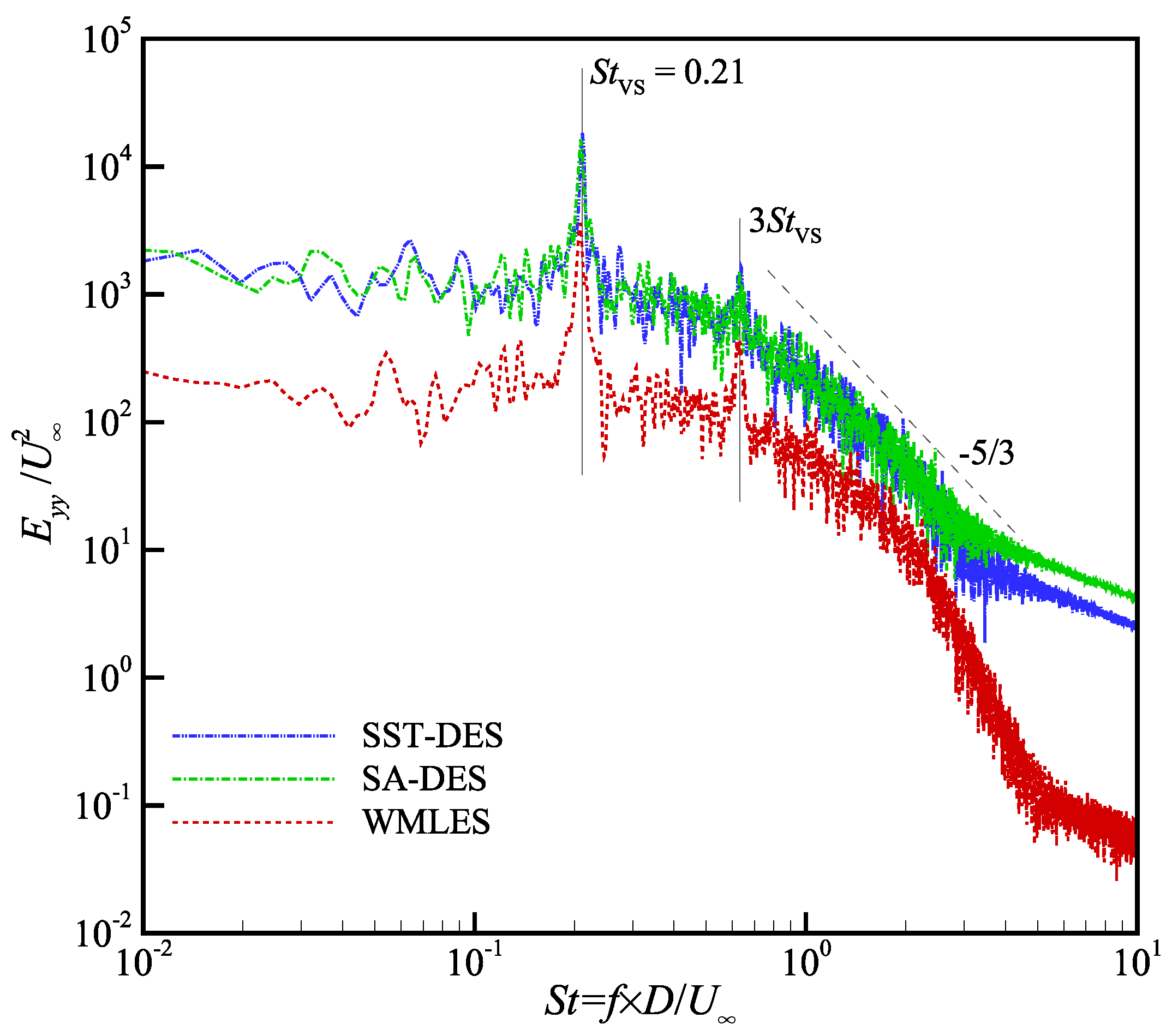
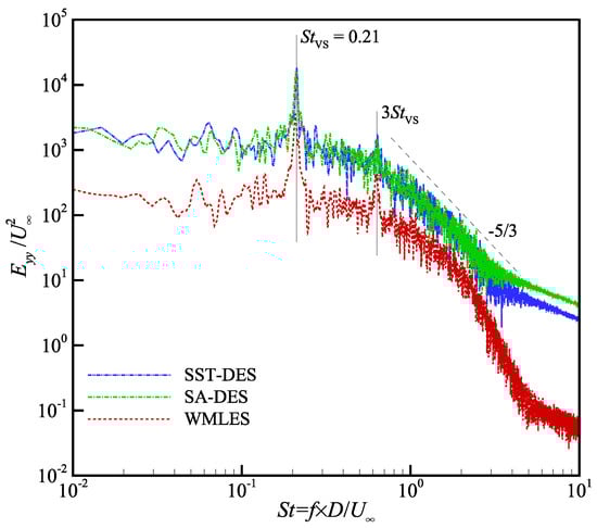
4.1. Flow over a Circular Cylinder
4.2. Flow over a Hump at
4.2.1. Mesh Independence of WMLES and DES
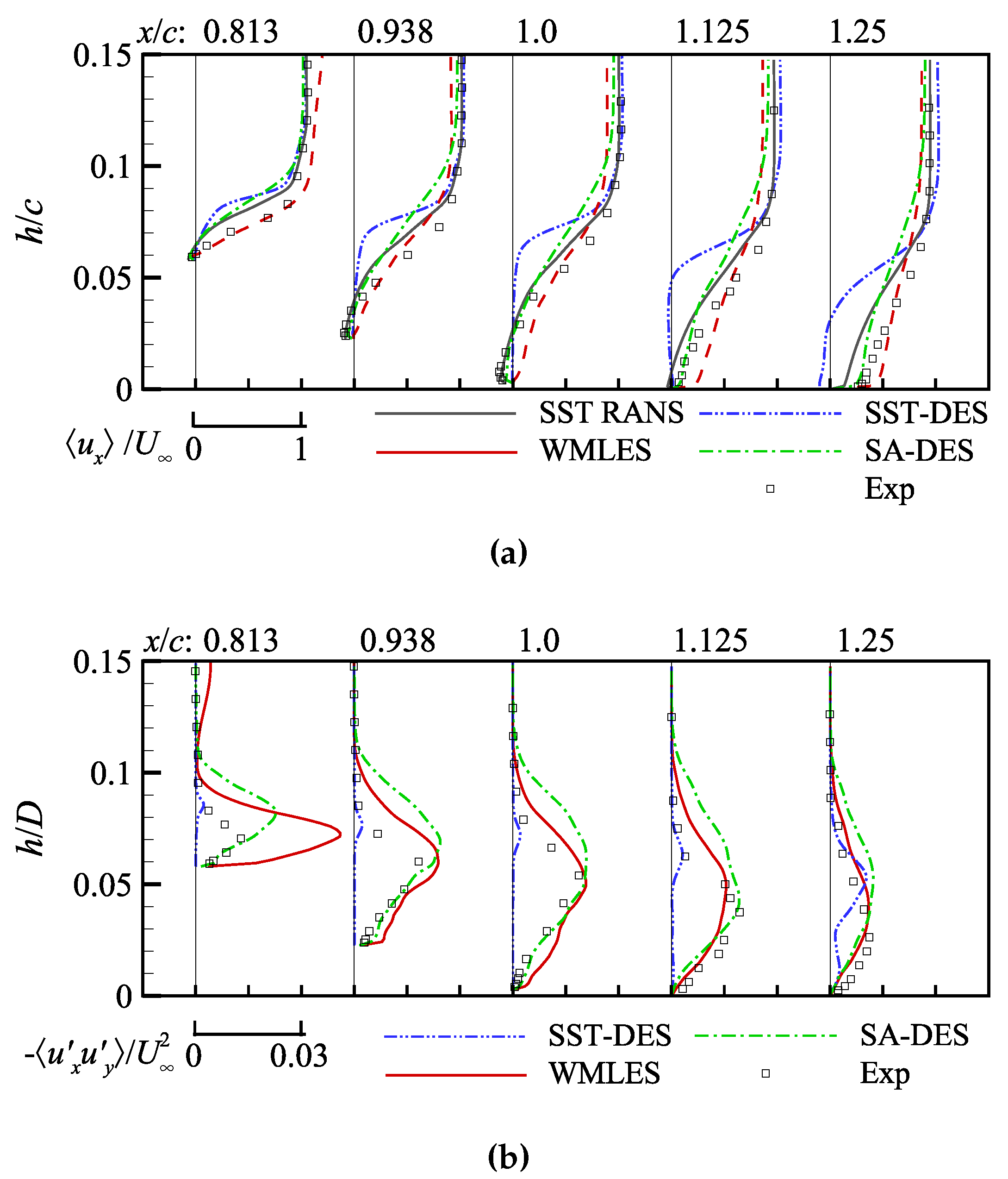
4.2.2. Flow Predicted by DES and WMLES Methods
4.3. Transonic Flow over an Axisymmetric Bump
5. Conclusions
Author Contributions
Funding
Institutional Review Board Statement
Informed Consent Statement
Data Availability Statement
Conflicts of Interest
References
- Smagorinsky, J. General Circulation Experiments with the Primitive Equations: I. The Basic Experiment. Mon. Weather Rev. 1963, 91, 99–164. [Google Scholar] [CrossRef]
- Pope, S.B. Turbulent Flows; Cambridge University Press: Cambridge, MA, USA, 2000. [Google Scholar]
- Pitsch, H. Large-Eddy Simulation of Turbulent Combustion. Annu. Rev. Fluid Mech. 2006, 38, 453–482. [Google Scholar] [CrossRef]
- Sagaut, P. Large Eddy Simulation for Incompressible Flows: An Introduction; Springer Science & Business Media: Berlin/Heidelberg, Germany, 2006. [Google Scholar] [CrossRef]
- Garnier, E.; Adams, N.; Sagaut, P. Large Eddy Simulation for Compressible Flows; Scientific Computation; Springer: Dordrecht, The Netherlands, 2009. [Google Scholar] [CrossRef]
- Yang, Z. Large-Eddy Simulation: Past, Present and the Future. Chin. J. Aeronaut. 2015, 28, 11–24. [Google Scholar] [CrossRef]
- Choi, H.; Moin, P. Grid-Point Requirements for Large Eddy Simulation: Chapman’s Estimates Revisited. Phys. Fluids 2012, 24, 011702. [Google Scholar] [CrossRef]
- Piomelli, U.; Balaras, E. Wall-Layer Models for Large-Eddy Simulations. Annu. Rev. Fluid Mech. 2002, 34, 349–374. [Google Scholar] [CrossRef]
- Larsson, J.; Kawai, S.; Bodart, J.; Bermejo-Moreno, I. Large Eddy Simulation with Modeled Wall-Stress: Recent Progress and Future Directions. Mech. Eng. Rev. 2016, 3, 15-00418. [Google Scholar] [CrossRef]
- Bose, S.T.; Park, G.I. Wall-Modeled Large-Eddy Simulation for Complex Turbulent Flows. Annu. Rev. Fluid Mech. 2018, 50, 535–561. [Google Scholar] [CrossRef]
- Menter, F.R. Best Practice: Scale-Resolving Simulations in ANSYS CFD; ANSYS, Inc.: Canonsburg, PA, USA, 2012. [Google Scholar]
- Spalart, P.; Jou, W.H.; Strelets, M.; Allmaras, S. Comments on the Feasibility of LES for Wings, and on a Hybrid RANS/LES Approach. In Proceedings of the First AFOSR International Conference on DNS/LES, Ruston, LA, USA, 4–8 August 1997. [Google Scholar]
- Spalart, P.R.; Deck, S.; Shur, M.L.; Squires, K.D.; Strelets, M.K.; Travin, A. A New Version of Detached-Eddy Simulation, Resistant to Ambiguous Grid Densities. Theor. Comp. Fluid Dyn. 2006, 20, 181. [Google Scholar] [CrossRef]
- Shur, M.L.; Spalart, P.R.; Strelets, M.K.; Travin, A.K. A Hybrid RANS-LES Approach with Delayed-DES and Wall-Modelled LES Capabilities. Int. J. Heat Fluid Flow 2008, 29, 1638–1649. [Google Scholar] [CrossRef]
- Menter, F.R.; Kuntz, M.; Langtry, R. Ten Years of Industrial Experience with the SST Turbulence Model. In Proceedings of the 4th International Symposium on Turbulence, Heat and Mass Transfer, Antalya, Turkey, 12–17 October 2003; Volume 4, pp. 625–632. [Google Scholar]
- Nicoud, F.; Ducros, F. Subgrid-Scale Stress Modelling Based on the Square of the Velocity Gradient Tensor. Flow Turbul. Combust. 1999, 62, 183–200. [Google Scholar] [CrossRef]
- Yoshizawa, A. Statistical Theory for Compressible Turbulent Shear Flows, with the Application to Subgrid Modeling. Phys. Fluids 1986, 29, 2152–2164. [Google Scholar] [CrossRef]
- Mukha, T.; Rezaeiravesh, S.; Liefvendahl, M. A Library for Wall-Modelled Large-Eddy Simulation Based on OpenFOAM Technology. Comput. Phys. Commun. 2019, 239, 204–224. [Google Scholar] [CrossRef]
- Lourenco, L. Characteristics of the Plate Turbulent near Wake of a Circular Cylinder. A Particle Image Velocimetry Study. In Report No. TF62; Beaudan, P., Moin, P., Eds.; Thermosciences Division, Department of Mechanical Engineering, Stanford University: Stanford, CA, USA, 1993. [Google Scholar]
- Cardell, G.S. Flow Past a Circular Cylinder with a Permeable Wake Splitter Plate. Ph.D. Thesis, California Institute of Technology, Pasadena, CA, USA, 1993. [Google Scholar] [CrossRef]
- Norberg, C. An Experimental Investigation of the Flow around a Circular Cylinder: Influence of Aspect Ratio. J. Fluid Mech. 1994, 258, 287–316. [Google Scholar] [CrossRef]
- Ong, L.; Wallace, J. The Velocity Field of the Turbulent Very near Wake of a Circular Cylinder. Exp. Fluids 1996, 20, 441–453. [Google Scholar] [CrossRef]
- Kravchenko, A.G.; Moin, P. Numerical Studies of Flow over a Circular Cylinder at ReD=3900. Phys. Fluids 2000, 12, 403–417. [Google Scholar] [CrossRef]
- Ma, X.; Karamanos, G.S.; Karniadakis, G.E. Dynamics and Low-Dimensionality of a Turbulent near Wake. J. Fluid Mech. 2000, 410, 29–65. [Google Scholar] [CrossRef]
- Dong, S.; Karniadakis, G.E.; Ekmekci, A.; Rockwell, D. A Combined Direct Numerical Simulation-Particle Image Velocimetry Study of the Turbulent near Wake. J. Fluid Mech. 2006, 569, 185. [Google Scholar] [CrossRef]
- Parnaudeau, P.; Carlier, J.; Heitz, D.; Lamballais, E. Experimental and Numerical Studies of the Flow over a Circular Cylinder at Reynolds Number 3900. Phys. Fluids 2008, 20, 085101. [Google Scholar] [CrossRef]
- Lysenko, D.A.; Ertesvåg, I.S.; Rian, K.E. Large-Eddy Simulation of the Flow over a Circular Cylinder at Reynolds Number 3900 Using the OpenFOAM Toolbox. Flow Turbul. Combust. 2012, 89, 491–518. [Google Scholar] [CrossRef]
- D’Alessandro, V.; Montelpare, S.; Ricci, R. Detached–Eddy Simulations of the Flow over a Cylinder at Re = 3900 Using OpenFOAM. Comput. Fluids 2016, 136, 152–169. [Google Scholar] [CrossRef]
- Jiang, H.; Cheng, L. Strouhal–Reynolds Number Relationship for Flow Past a Circular Cylinder. J. Fluid Mech. 2017, 832, 170–188. [Google Scholar] [CrossRef]
- Tian, G.; Xiao, Z. New Insight on Large-Eddy Simulation of Flow Past a Circular Cylinder at Subcritical Reynolds Number 3900. AIP Adv. 2020, 10, 085321. [Google Scholar] [CrossRef]
- Jiang, H. Separation Angle for Flow Past a Circular Cylinder in the Subcritical Regime. Phys. Fluids 2020, 32, 014106. [Google Scholar] [CrossRef]
- Jiang, H.; Cheng, L. Large-Eddy Simulation of Flow Past a Circular Cylinder for Reynolds Numbers 400 to 3900. Phys. Fluids 2021, 33, 034119. [Google Scholar] [CrossRef]
- Greenblatt, D.; Paschal, K.B.; Yao, C.S.; Harris, J.; Schaeffler, N.W.; Washburn, A.E. Experimental Investigation of Separation Control Part 1: Baseline and Steady Suction. AIAA J. 2006, 44, 2820–2830. [Google Scholar] [CrossRef]
- Rumsey, C.; Gatski, T.; Sellers, W.; Vatsa, V.; Viken, S. Summary of the 2004 CFD Validation Workshop on Synthetic Jets and Turbulent Separation Control. In Proceedings of the 2nd AIAA Flow Control Conference, Portland, OR, USA, 28 June–1 July 2004; American Institute of Aeronautics and Astronautics: Reston, VA, USA, 2004; p. 2217. [Google Scholar] [CrossRef]
- Bachalo, W.D.; Johnson, D.A. Transonic, Turbulent Boundary-Layer Separation Generated on an Axisymmetric Flow Model. AIAA J. 1986, 24, 437–443. [Google Scholar] [CrossRef]
- Turbulence Modeling Resource. 2022. Available online: https://turbmodels.larc.nasa.gov/index.html (accessed on 27 October 2022).
- OpenFOAM: User Guide: Smagorinsky. Available online: https://www.openfoam.com/documentation/guides/latest/doc/guide-turbulence-les-smagorinsky.html (accessed on 27 October 2022).
- Iyer, P.S.; Malik, M. Wall–Modeled Large Eddy Simulation of Flow over a Wall–Mounted Hump. In Proceedings of the 46th AIAA Fluid Dynamics Conference, Washington, DC, USA, 13–17 June 2016. [Google Scholar] [CrossRef]
- Fürst, J. Development of a Coupled Matrix-Free LU-SGS Solver for Turbulent Compressible Flows. Comput. Fluids 2018, 172, 332–339. [Google Scholar] [CrossRef]
- Šarić, S.; Jakirlić, S.; Djugum, A.; Tropea, C. Computational Analysis of Locally Forced Flow over a Wall-Mounted Hump at High-Re Number. Int. J. Heat Fluid Flow 2006, 27, 707–720. [Google Scholar] [CrossRef]
- Wang, Y.; Vita, G.; Fraga, B.; Wang, J.; Hemida, H. Effect of the Inlet Boundary Conditions on the Flow over Complex Terrain Using Large Eddy Simulation. Designs 2021, 5, 34. [Google Scholar] [CrossRef]
- Ge, X.; De Stefano, G.; Hussaini, M.Y.; Vasilyev, O.V. Wavelet-Based Adaptive Eddy-Resolving Methods for Modeling and Simulation of Complex Wall-Bounded Compressible Turbulent Flows. Fluids 2021, 6, 331. [Google Scholar] [CrossRef]
- Park, G.I. Wall-Modeled Large-Eddy Simulation of a High Reynolds Number Separating and Reattaching Flow. AIAA J. 2017, 55, 3709–3721. [Google Scholar] [CrossRef] [PubMed]
- Uzun, A.; Malik, M. Large-Eddy Simulation of Flow over a Wall-Mounted Hump with Separation and Reattachment. AIAA J. 2017, 56, 1–16. [Google Scholar] [CrossRef]
- Uzun, A.; Malik, M.R. Wall-Resolved Large-Eddy Simulations of Transonic Shock-Induced Flow Separation. AIAA J. 2019, 57, 1955–1972. [Google Scholar] [CrossRef]

















| Cylinder | Wall-Mounted Hump | Axisymmetric Bump | ||
|---|---|---|---|---|
| Reynolds number | 3900 | 9.36 × 105 | 2.763 × 106 | |
| Mach number | 0.2 | 0.1 | 0.875 | |
| Characteristic length | ||||
| Spatial domain | ||||
| NASA-Mesh | 1.44 million | 10.58 million | 13.82 million | |
| - | 17.04 million | 24.90 million | ||
| NewMesh | - | |||
| Lourenco [19] | - | 0.99 | - | 0.22 | - | 1.19 | 86° |
| Cardell [20] | - | - | - | 0.215 | - | 1.33 | - |
| Norberg [21] | - | 0.98 | 0.04–0.15 | - | 0.90 | - | - |
| Ong [22] | - | - | - | 0.21 | - | - | - |
| Parnaudeau [26] | - | - | - | 0.208 | - | 1.51 | 88° |
| WRLES [27] | 5.76 million | 0.97 | 0.09 | 0.209 | 0.91 | 1.67 | 88° |
| WRLES [30] | - | 1.02 | 0.15 | - | 0.87 | 1.45 | 87° |
| SA-DES [28] | 3.96 million | 1.024 | 0.146 | 0.222 | 0.878 | 1.427 | 87.00° |
| SA-DES | 1.44 million | 0.951 | 0.099 | 0.216 | 0.812 | 1.750 | 88.00° |
| SST-DES | 1.44 million | 0.960 | 0.077 | 0.212 | 0.820 | 1.771 | 86.92° |
| WMLES | 1.44 million | 1.000 | 0.104 | 0.209 | 0.824 | 1.662 | 88.81° |
| Location | |||||
|---|---|---|---|---|---|
| 0.08 | 105 | ||||
| 0.06 | 156 | ||||
| 0.2 | 127 |
| Standard | 17.04 million | 20 | |||
| Coarser | 3.41 million | 10 | |||
| Finer | 35.25 million | 27 |
| Separation Location | Reattachment Location | |||||
|---|---|---|---|---|---|---|
| Exp [34] | - | - | 0.665 | - | 1.110 | - |
| WRLES [40] | 80, 1–80, 50 1 | 3.95 million | 0.667 | 0.002 | 1.114 | 0.004 |
| SA-DES [40] | 80, 1–80, 150 1 | 1.73 million | 0.663 | −0.002 | 1.121 | 0.011 |
| WRLES [41] | 658, 5, 100 | 4.2 million | 0.642 | −0.023 | 1.174 | 0.064 |
| WMLES [42] | 90, 13, 40 | 7.5 million | 0.677 | 0.012 | 1.138 | 0.028 |
| WMLES [43] | 300, 50, 120 | 12.9 million | 0.680 | 0.015 | 1.084 | −0.026 |
| WMLES [38] | 360, 36, 180 | 11 million | 0.655 | −0.010 | 1.105 | −0.005 |
| WRLES [44] | 25, 0.8, 25 | 420 million | 0.641 | −0.024 | 1.090 | −0.020 |
| SST-DES | 960, 0.14, 87 | 10.6 million | 0.654 | −0.011 | 1.12 | 0.01 |
| SA-DES | 28, 14, 28 | 17.0 million | 0.679 | 0.014 | 1.04 | −0.07 |
| WMLES | 28, 14, 28 | 17.0 million | 0.658 | −0.007 | 1.05 | −0.06 |
| NASA-Mesh | 20.74 million | 183 | |||
| NewMesh | 24.90 million | 20 |
| Method | ||||
|---|---|---|---|---|
| WRLES | ∼1 | ∼1 | ∼1 | - |
| WMLES | - | O(10)∼O(100) | - | ≈ for turbulent boundary layer [9]; ≈ for turbulent separation. |
| SA-DES | - | O(10)∼O(100) | - | |
| SST-DES | - | O(1) | - |
Publisher’s Note: MDPI stays neutral with regard to jurisdictional claims in published maps and institutional affiliations. |
© 2022 by the authors. Licensee MDPI, Basel, Switzerland. This article is an open access article distributed under the terms and conditions of the Creative Commons Attribution (CC BY) license (https://creativecommons.org/licenses/by/4.0/).
Share and Cite
Ren, X.; Su, H.; Yu, H.-H.; Yan, Z. Wall-Modeled Large Eddy Simulation and Detached Eddy Simulation of Wall-Mounted Separated Flow via OpenFOAM. Aerospace 2022, 9, 759. https://doi.org/10.3390/aerospace9120759
Ren X, Su H, Yu H-H, Yan Z. Wall-Modeled Large Eddy Simulation and Detached Eddy Simulation of Wall-Mounted Separated Flow via OpenFOAM. Aerospace. 2022; 9(12):759. https://doi.org/10.3390/aerospace9120759
Chicago/Turabian StyleRen, Xiang, Hua Su, Hua-Hua Yu, and Zheng Yan. 2022. "Wall-Modeled Large Eddy Simulation and Detached Eddy Simulation of Wall-Mounted Separated Flow via OpenFOAM" Aerospace 9, no. 12: 759. https://doi.org/10.3390/aerospace9120759
APA StyleRen, X., Su, H., Yu, H.-H., & Yan, Z. (2022). Wall-Modeled Large Eddy Simulation and Detached Eddy Simulation of Wall-Mounted Separated Flow via OpenFOAM. Aerospace, 9(12), 759. https://doi.org/10.3390/aerospace9120759

