Sliding Mode Backstepping Control for the Ascent Phase of Near-Space Hypersonic Vehicle Based on a Novel Triple Power Reaching Law
Abstract
1. Introduction
- (1)
- The proposed TPRL shortens the reaching time and reduces the chattering of sliding mode approach. To shorten the reaching time of system converging to the equilibrium point, the reaching process can be divided by TPRL into three stages, and the reaching speed of each stage can be set, respectively. Then, TPRL can accelerate the speed of convergence effectively. Meanwhile, TPRL has the capability of mitigating the chattering of the sliding mode approach with respect to the traditional reaching law.
- (2)
- A novel tracking controller for the ascent phase of NSHV is proposed. At present, due to the limitation of data, little research has focused on the tracking control for the ascent phase of hypersonic vehicle in the presence of uncertainties. However, as we know, the ascent mission of NSHV could significantly affect the whole flight performance of the NSHV. In order to improve the tracking accuracy and robustness in the ascent mission of NSHV, a novel backstepping-based adaptive sliding mode controller is developed. Firstly, a transformation model is proposed for NSHV in face of uncertainties. The strict feedback form with uncertain parameters is adopted in the transformed mode, which is more suitable to accommodate uncertainties on NSHV than traditional model transformation. Furthermore, based on the proposed model transformation, a backstepping control scheme is proposed, which is combined with sliding mode control using TPRL. To further attenuate the adverse impact of uncertainties, new adaptive laws are designed. The flight controller proposed improves the tracking performance for NSHV in ascent phase.
2. Model of NSHV
2.1. Longitudinal Model of NSHV
2.2. Novel Model Transformation
3. Sliding Mode Backstepping Controller Design
3.1. A Novel Triple Power Reaching Law for Sliding Mode
- (i)
- (ii)
- (iii)
3.2. Sliding Mode Backstepping Controller Design
3.3. Stability Analysis
4. Flight Controller Design for NSHV
4.1. Controller Design
4.2. Stability Analysis
5. Simulation Results
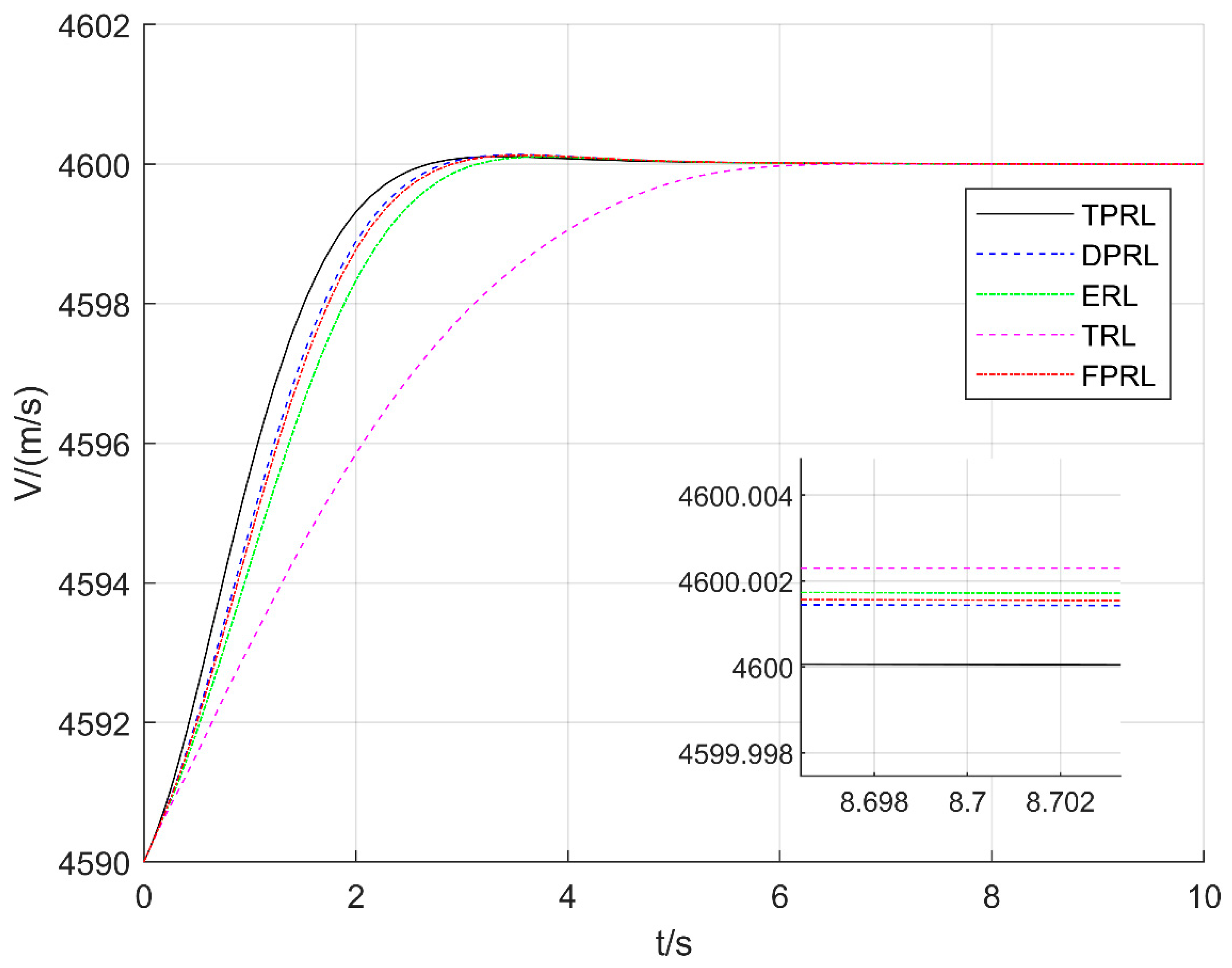
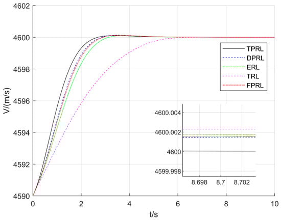
5.1. Scenario 1: Simulation of Reaching Laws
5.2. Scenario 2: Simulation of Controller for NSHV
- (1)
- Parameters of uncertainties are given by Equation (13) and set as 20%, which are presented as follows:
- (2)
- Parameters of disturbances for control input are set as follows:
- (1)
- In the ascent phase of NSHV, sliding mode backstepping controller based on TPRL guarantees a better tracking performance in situations of uncertainties in comparison with SMC, BSMC, and TSMC. Firstly, the tracking errors of both velocity and altitude under the proposed method are smaller than those for SMC, BSMC, and TSMC. Secondly, the attack angle and pitch angle rate change more smoothly under the proposed method. Thirdly, the control inputs curve for throttle setting and elevator deflection are smoother under proposed method, compared with SMC, BSMC, and TSMC.
- (2)
- It is evident that the proposed controller can reduce the adverse influence of uncertainties more effectively in comparison with SMC, BSMC, and TSMC. BSMC is based on the model transformation given by Equation (7), which is not suited to dealing with uncertainties, while the proposed method is based on the new model transformation given by Equation (8), which can compensate the uncertainties more effectively. In the ascent phase of NSHV, uncertainties are the significant reason for tracking errors. It can be seen that the tracking errors of velocity and altitude converge more effectively under the proposed method, while those for SMC, BSMC, and TSMC are with larger fluctuations.
6. Conclusions
Author Contributions
Funding
Institutional Review Board Statement
Informed Consent Statement
Data Availability Statement
Conflicts of Interest
References
- Wang, Y.; Yang, X.; Yan, H. Reliable fuzzy tracking control of near-space hypersonic vehicle using aperiodic measurement information. IEEE Trans. Ind. Electron. 2019, 66, 9439–9447. [Google Scholar] [CrossRef]
- Li, Z.; Shi, S. L1 adaptive loss fault tolerance control of unmanned hypersonic aircraft with elasticity. Aerospace 2021, 8, 176. [Google Scholar] [CrossRef]
- Zhang, J.; Sun, C.; Zhang, R.; Qian, C. Adaptive sliding mode control for re-entry attitude of near space hypersonic vehicle based on backstepping design. IEEE/CAA J. Autom. Sin. 2015, 2, 94–101. [Google Scholar]
- Zhao, K.; Song, J.; Ai, S.; Xu, X.; Liu, Y. Active fault-tolerant control for near-space hypersonic vehicles. Aerospace 2022, 9, 237. [Google Scholar] [CrossRef]
- Wang, G.; An, H.; Wang, Y.; Xia, H.; Ma, G. Intelligent control of air-breathing hypersonic vehicles subject to path and angle-of-attack constraints. Acta Astronaut. 2022, 198, 606–616. [Google Scholar] [CrossRef]
- Ding, Y.; Yue, X.; Chen, G.; Si, J. Review of control and guidance technology on hypersonic vehicle. Chin. J. Aeronaut. 2022, 35, 1–18. [Google Scholar]
- Liu, Y.; Dong, C.; Zhang, W.; Wang, Q. Phase plane design based fast altitude tracking control for hypersonic flight vehicle with angle of attack constraint. Chin. J. Aeronaut. 2021, 34, 490–503. [Google Scholar] [CrossRef]
- Zhang, D.; Zheng, X.; Xie, Y.; Hu, X. Angular-Accelerometer-Based Flexible-State Estimation and Tracking Controller Design for Hypersonic Flight Vehicle. Aerospace 2022, 9, 206. [Google Scholar] [CrossRef]
- Zuo, R.; Li, Y.; Lv, M.; Liu, Z. Realization of trajectory precise tracking for hypersonic flight vehicles with prescribed performances. Aerosp. Sci. Technol. 2021, 111, 106554. [Google Scholar] [CrossRef]
- Wu, H.; Feng, S.; Liu, Z.; Guo, L. Disturbance observer based robust mixed H2/H∞ fuzzy tracking control for hypersonic vehicles. Fuzzy Sets Syst. 2017, 306, 118–136. [Google Scholar]
- Zhang, B.; Zhou, D. Optimal predictive sliding-mode guidance law for intercepting near-space hypersonic maneuvering target. Chin. J. Aeronaut. 2022, 35, 320–331. [Google Scholar] [CrossRef]
- Guo, J.; Peng, Q.; Zhou, J. Disturbance observer-based nonlinear model predictive control for air-breathing hypersonic vehicles. J. Aerosp. Eng. 2019, 32, 1–13. [Google Scholar] [CrossRef]
- Bu, X.; Qi, Q. Fuzzy optimal tracking control of hypersonic flight vehicles via single-network adaptive critic design. IEEE Trans. Fuzzy Syst. 2022, 30, 270–278. [Google Scholar] [CrossRef]
- Bu, X.; Xiao, Y.; Lei, H. An adaptive critic design-based fuzzy neural controller for hypersonic vehicles: Predefined behavioral nonaffine control. IEEE/ASME Trans. Mechatron. 2020, 24, 1871–1881. [Google Scholar] [CrossRef]
- Shou, Y.; Xu, B.; Liang, X.; Yang, D. Aerodynamic/reaction-jet compound control of hypersonic reentry vehicle using sliding mode control and neural learning. Aerosp. Sci. Technol. 2021, 111, 106564. [Google Scholar] [CrossRef]
- Sun, J.; Pu, Z.; Yi, J.; Liu, Z. Fixed-time control with uncertainty and measurement noise suppression for hypersonic vehicles via augmented sliding mode observers. IEEE Trans. Ind. Inform. 2020, 16, 1192–1203. [Google Scholar] [CrossRef]
- Chen, K.; Zhu, S.; Wei, C.; Xu, T.; Zhang, X. Output constrained adaptive neural control for generic hypersonic vehicles suffering from non-affine aerodynamic characteristics and stochastic disturbances. Aerosp. Sci. Technol. 2021, 111, 106469. [Google Scholar] [CrossRef]
- Sun, J.; Yi, J.; Pu, Z.; Liu, Z. Adaptive fuzzy nonsmooth backstepping output-feedback control for hypersonic vehicles with finite-time convergence. IEEE Trans. Fuzzy Syst. 2020, 28, 2320–2334. [Google Scholar] [CrossRef]
- Chai, R.; Tsourdos, A.; Savvaris, A.; Chai, S.; Xia, Y.; Chen, C.L.P. Six-DOF spacecraft optimal trajectory planning and real-time attitude control: A deep neural network-based approach. IEEE Trans. Neural Netw. Learn. Syst. 2020, 31, 5005–5013. [Google Scholar] [CrossRef] [PubMed]
- Xu, B.; Wang, D.; Zhang, Y.; Shi, Z. DOB-based neural control of flexible hypersonic flight vehicle considering wind effects. IEEE Trans. Ind. Electron. 2017, 64, 8676–8685. [Google Scholar] [CrossRef]
- An, H.; Wu, Q.; Wang, G.; Kao, Y.; Wang, C. Adaptive compound control of air-breathing hypersonic vehicles. IEEE Trans. Aerosp. Electron. Syst. 2020, 56, 4519–4532. [Google Scholar] [CrossRef]
- Dong, C.; Liu, Y.; Wang, Q. Barrier Lyapunov function based adaptive finite-time control for hypersonic flight vehicles with state constraints. ISA Trans. 2020, 96, 163–176. [Google Scholar] [CrossRef] [PubMed]
- Mu, C.; Zong, Q.; Tian, B.; Xu, W. Continuous sliding mode controller with disturbance observer for hypersonic vehicles. IEEE/CAA J. Autom. Sin. 2015, 2, 45–55. [Google Scholar]
- Xu, H.; Mirmirani, M.D.; Ioannou, P.A. Adaptive sliding mode control design for a hypersonic flight vehicle. J. Guid. Control. Dyn. 2004, 27, 829–838. [Google Scholar] [CrossRef]
- Yin, X.; Wang, B.; Liu, L.; Wang, Y. Disturbance observer-based gain adaptation high-order sliding mode control of hypersonic vehicles. Aerosp. Sci. Technol. 2019, 89, 19–30. [Google Scholar] [CrossRef]
- Guo, Z.; Chang, J.; Guo, J.; Zhou, J. Adaptive twisting sliding mode algorithm for hypersonic reentry vehicle attitude control based on finite-time observer. ISA Trans. 2018, 77, 20–29. [Google Scholar] [CrossRef]
- Guo, J.; Yang, S.; Guo, Z. Robust tracking for hypersonic vehicles subjected to mismatched uncertainties via fixed-time sliding mode control. Proc. Inst. Mech. Eng. Part G J. Aerosp. Eng. 2021, 235, 2145–2153. [Google Scholar]
- Basin, M.V.; Yu, P.; Shtessel, Y.B. Hypersonic missile adaptive sliding mode control using finite and fixed-time observers. IEEE Trans. Ind. Electron. 2018, 65, 930–941. [Google Scholar]
- Wang, J.; Wu, Y.; Dong, X. Recursive terminal sliding mode control for hypersonic flight vehicle with sliding mode disturbance observer. Nonlinear Dyn. 2015, 81, 1489–1510. [Google Scholar] [CrossRef]
- Ma, H.; Wu, J.; Xiong, Z. A novel exponential reaching law of discrete-time sliding-mode control. IEEE Trans. Ind. Electron. 2017, 64, 3840–3850. [Google Scholar]
- Wang, Y.; Feng, Y.; Zhang, X.; Liang, J. A new reaching law for antidisturbance sliding-mode control of PMSM speed regulation system. IEEE Trans. Power Electron. 2020, 35, 4117–4126. [Google Scholar] [CrossRef]
- Zhang, Y.; Li, R.; Xue, T.; Lei, Z. Exponential sliding mode tracking control via back-stepping approach for a hypersonic vehicle with mismatched uncertainty. J. Frankl. Inst. 2016, 353, 2319–2343. [Google Scholar] [CrossRef]
- Mozayan, S.M.; Saad, M.; Vahedi, H.; Fortin-Blanchette, H.; Soltani, M. Sliding mode control of PMSG wind turbine based on enhanced exponential reaching law. IEEE Trans. Ind. Electron. 2016, 63, 6148–6159. [Google Scholar] [CrossRef]
- Xu, S.S.; Chen, C.; Wu, Z. Study of nonsingular fast terminal sliding-mode fault-tolerant control. IEEE Trans. Ind. Electron. 2015, 62, 3906–3913. [Google Scholar] [CrossRef]
- Pan, J.; Li, W.; Zhang, H. Control algorithms of magnetic suspension systems based on the improved double exponential reaching law of sliding mode control. Int. J. Control. Autom. Syst. 2018, 16, 2878–2887. [Google Scholar] [CrossRef]
- Rabiee, H.; Ataei, M.; Ekramian, M. Continuous nonsingular terminal sliding mode control based on adaptive sliding mode disturbance observer for uncertain nonlinear systems. Automatica 2019, 109, 108515. [Google Scholar] [CrossRef]
- Jiao, X.; Fidan, B.; Jiang, J.; Kamel, M. Type-2 fuzzy adaptive sliding mode control of hypersonic flight. Proc. Inst. Mech. Eng. Part G J. Aerosp. Eng. 2019, 233, 2731–2744. [Google Scholar] [CrossRef]
- Ding, Y.; Wang, X.; Bai, Y.; Cui, N. An improved continuous sliding mode controller for flexible air-breathing hypersonic vehicle. Int. J. Robust Nonlinear Control 2020, 30, 5751–5772. [Google Scholar] [CrossRef]
- Sagliano, M.; Mooij, E.; Theil, S. Adaptive disturbance-based high-order sliding-mode control for hypersonic-entry vehicles. J. Guid. Control. Dyn. 2017, 40, 521–536. [Google Scholar] [CrossRef]
- Zhang, S.; Wang, Q.; Yang, G.; Zhang, M. Anti-disturbance backstepping control for air-breathing hypersonic vehicles based on extended state observer. ISA Trans. 2019, 92, 84–93. [Google Scholar] [CrossRef]
- Hu, Q.; Meng, Y.; Wang, C.; Zhang, Y. Adaptive backstepping control for air-breathing hypersonic vehicles with input nonlinearities. Aerosp. Sci. Technol. 2018, 73, 289–299. [Google Scholar] [CrossRef]
- Wu, G.; Meng, X. Nonlinear disturbance observer based robust backstepping control for a flexible air-breathing hypersonic vehicle. Aerosp. Sci. Technol. 2016, 54, 174–182. [Google Scholar] [CrossRef]
- Yu, C.; Jiang, J.; Zhen, Z.; Bhatia, A.K.; Wang, S. Adaptive backstepping control for air-breathing hypersonic vehicle subject to mismatched uncertainties. Aerosp. Sci. Technol. 2020, 107, 1–19. [Google Scholar] [CrossRef]
- Lu, Y. Disturbance observer-based backstepping control for hypersonic flight vehicles without use of measured flight path angle. Chin. J. Aeronuat. 2021, 34, 396–406. [Google Scholar] [CrossRef]
- Jiao, X.; Jiang, J. Design of adaptive switching control for hypersonic aircraft. Adv. Mech. Eng. 2015, 7, 1–10. [Google Scholar] [CrossRef]
- Li, Y.; Wu, Y.; Qu, X. Chicken Swarm—Based Method for Ascent Trajectory Optimization of Hypersonic Vehicles. J. Aerosp. Eng. 2017, 30, 1–12. [Google Scholar] [CrossRef]














| Parameter | Value | Unites |
|---|---|---|
| Mass | 100,200 | |
| Reference area | 389 | m |
| Aerodynamic chord | 30 | |
| Moment of inertia | 8,466,900 |
| TPRL | DPRL | ERL | TRL | FPRL |
|---|---|---|---|---|
| Parameter | Value |
|---|---|
| 0.5 | |
| 0.3 | |
| 0.3 | |
| 0.5 | |
| 0.3 | |
| 0.3 | |
| 1.2 | |
| 1.2 | |
| 0.7 | |
| 0.7 | |
| 1.8 | |
| 1.8 | |
| 2 | |
| 2 | |
Publisher’s Note: MDPI stays neutral with regard to jurisdictional claims in published maps and institutional affiliations. |
© 2022 by the authors. Licensee MDPI, Basel, Switzerland. This article is an open access article distributed under the terms and conditions of the Creative Commons Attribution (CC BY) license (https://creativecommons.org/licenses/by/4.0/).
Share and Cite
Huang, S.; Jiang, J.; Li, O. Sliding Mode Backstepping Control for the Ascent Phase of Near-Space Hypersonic Vehicle Based on a Novel Triple Power Reaching Law. Aerospace 2022, 9, 755. https://doi.org/10.3390/aerospace9120755
Huang S, Jiang J, Li O. Sliding Mode Backstepping Control for the Ascent Phase of Near-Space Hypersonic Vehicle Based on a Novel Triple Power Reaching Law. Aerospace. 2022; 9(12):755. https://doi.org/10.3390/aerospace9120755
Chicago/Turabian StyleHuang, Shutong, Ju Jiang, and Ouxun Li. 2022. "Sliding Mode Backstepping Control for the Ascent Phase of Near-Space Hypersonic Vehicle Based on a Novel Triple Power Reaching Law" Aerospace 9, no. 12: 755. https://doi.org/10.3390/aerospace9120755
APA StyleHuang, S., Jiang, J., & Li, O. (2022). Sliding Mode Backstepping Control for the Ascent Phase of Near-Space Hypersonic Vehicle Based on a Novel Triple Power Reaching Law. Aerospace, 9(12), 755. https://doi.org/10.3390/aerospace9120755

