Flame Anchoring of an H2/O2 Non-Premixed Flamewith O2 Transcritical Injection
Abstract
1. Introduction
2. The Numerical Code: Heart
2.1. The Real Gas Equation of State
2.2. The Diffusive Fluxes
2.3. Turbulent Combustion Closure
2.4. Numerical Schemes and Boundary Conditions
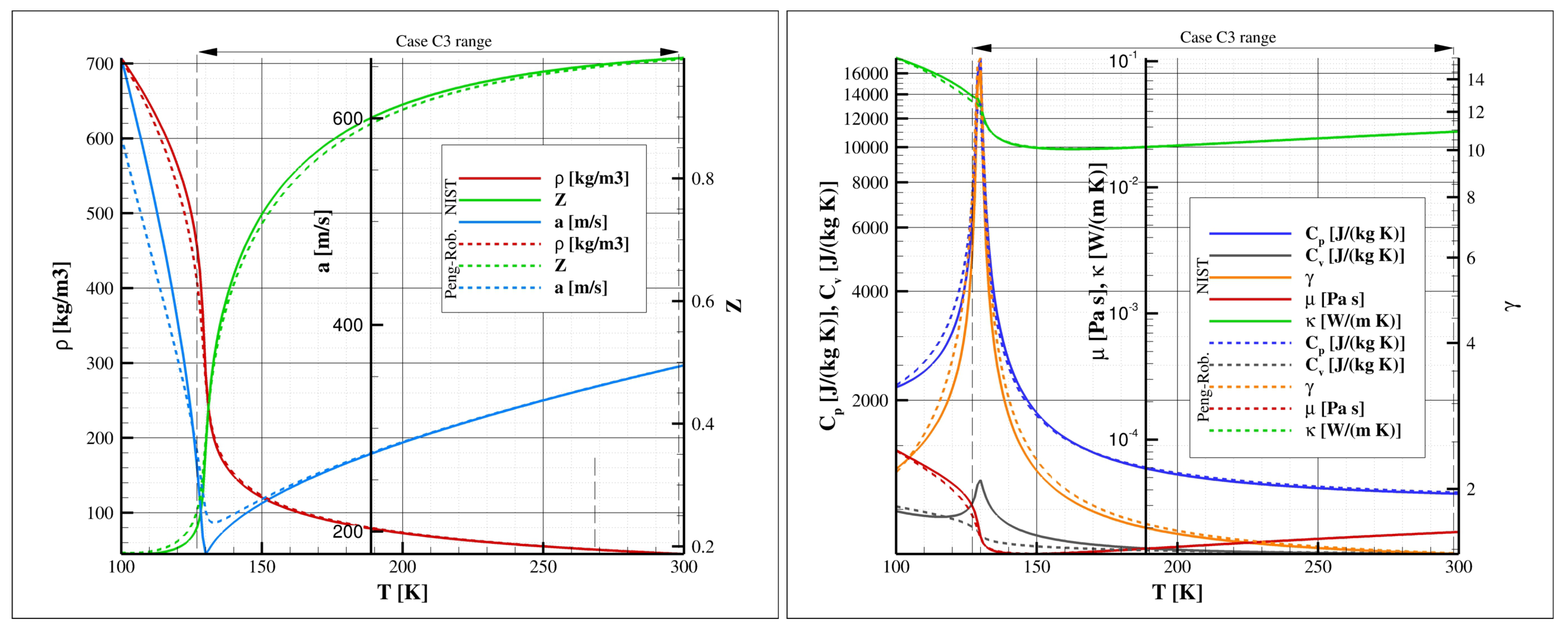
3. Preliminary Validation of the HeaRT Code in Real Gas Simulations
4. Experimental Set-Up
5. Numerical Set-Up for the 3D Les
6. Flame Anchoring Dynamics from the 3D LES
6.1. The Gaseous Hydrogen Jet
6.2. The Liquid Oxygen Jet
7. Conclusions
Author Contributions
Funding
Data Availability Statement
Acknowledgments
Conflicts of Interest
References
- Crespi, F.; Gavagnin, G.; Sánchez, D.; Martínez, G.S. Supercritical carbon dioxide cycles for power generation: A review. Appl. Energy 2017, 195, 152–183. [Google Scholar] [CrossRef]
- Poling, B.E.; Prausnitz, J.M.; O’Connell, J.P. The Properties of Gases and Liquids, 5th ed.; McGraw-Hill: New York, NY, USA, 2001. [Google Scholar]
- Oschwald, M.; Schik, A.; Klar, M.; Mayer, W. Investigation of coaxial LN2/GH2-injection at supercritical pressure by spontaneous Raman scattering. In Proceedings of the 35th AIAA/ASME/SAE/ASEE Joint Propulsion Conference and Exhibit, Los Angeles, CA, USA, 20–24 June 1999. Number AIAA 99-2887. [Google Scholar]
- Oschwald, M.; Micci, M. Spreading angle and centerline variation of density of supercritical nitrogen jets. At. Sprays 2002, 11, 91–106. [Google Scholar] [CrossRef]
- Chehroudi, B.; Talley, D.G.; Coy, E.B. Fractal geometry and growth rate of cryogenic jets near critical point. In Proceedings of the 35th AIAA/ASME/SAE/ASEE Joint Propulsion Conference and Exhibit, Los Angeles, CA, USA, 20–24 June 1999. Number AIAA 1999-2489. [Google Scholar]
- Chehroudi, B.; Davis, D.; Talley, D. Initial results from a cryogenic coaxial injector in an acoustic field. In Proceedings of the 41st AIAA Aerospace Sciences Meeting and Exhibit, Reno, NV, USA, 6–9 January 2003. Number AIAA 2003-1339. [Google Scholar]
- Singla, G.; Scouflaire, P.; Rolon, C.; Candel, S. Transcritical oxygen/transcritical or supercritical methane combustion. Proc. Combust. Inst. 2005, 30, 2921–2928. [Google Scholar] [CrossRef]
- Singla, G.; Scouflaire, P.; Rolon, C.; Candel, S. Flame stabilization in high pressure LOx/GH2 and GCH4 combustion. Proc. Combust. Inst. 2007, 31, 2215–2222. [Google Scholar] [CrossRef]
- Foust, M.; Deshpande, M.; Pal, S.; Merkle, C.; Santoro, R. Experimental and analytical characterization of a shear coaxial combusting GO2/GH2 flowfield. In Proceedings of the 34th Aerospace Sciences Meeting and Exhibit, Reno, NV, USA, 8–12 January 1996. [Google Scholar]
- Clauss, W.; Vereschagin, K.A.; Klimenko, D.N.; Oschwald, M.; Smirnov, V.V.; Stelmakh, O.M.; Fabelinski, V.I. CARS Investigation of Hydrogen Q-branch Linewidths at High Temperatures in a High-Pressure H2/O2-Burner. J. Raman Spectrosc. 2002, 33, 906–911. [Google Scholar] [CrossRef]
- Kunz, O.; Wagner, W. The GERG-2008 Wide-Range Equation of State for Natural Gases and Other Mixtures: An Expansion of GERG-2004. J. Chem. Eng. Data 2012, 57, 3032–3091. [Google Scholar] [CrossRef]
- Manikantachari, K.R.V.; Vesely, L.; Martin, S.; Bobren-Diaz, J.O.; Vasu, S. Reduced chemical kinetic mechanisms for oxy/methane supercritical CO2 combustor simulations. Energy Resour. Technol. 2018, 140, 092202. [Google Scholar] [CrossRef]
- Strakey, P.A. Oxy-Combustion Flame Fundamentals for Supercritical CO2 Power Cycles. In Proceedings of the 6th Interantional Symposium on Supercritical CO2 Power Cycles, Pittsburgh, PA, USA, 27–29 March 2018. [Google Scholar]
- Ma, P.C.; Benuti, D.T.; Ihme, M. On the numerical behaviour of diffusive-interface methods for transcritical real-fluids simulations. Int. J. Multiph. Flow 2019, 113, 231–249. [Google Scholar] [CrossRef]
- Schmitt, T.; Selle, L.; Ruiz, A.; Cuenot, B. Large-Eddy Simulation of Supercritical-Pressure Round Jets. AIAA J. 2010, 48, 2133–2144. [Google Scholar] [CrossRef]
- Kawai, S.; Terashima, H.; Negishi, H. A robust and accurate numerical method for transcritical turbulent flows at supercritical pressure with an arbitrary equation of state. J. Comput. Phys. 2015, 300, 116–135. [Google Scholar] [CrossRef]
- Ribert, G.; Taieb, D.; Petit, X.; Lartigue, G.; Domingo, P. Simulation of supercritical flows in rocket-motor engines: Application cooling channel and injection system. Prog. Propuls. Phys. 2013, 4, 205–226. [Google Scholar]
- Johnsen, E.; Ham, F. Preventing numerical errors generated by interface-capturing schemes in compressible multi-material flows. J. Comput. Phys. 2012, 231, 5705–5717. [Google Scholar] [CrossRef]
- Huo, H.; Yang, V. Subgrid-scale models for Large-Eddy Simulation of supercritical combustion. In Proceedings of the 51st AIAA Aerospace Sciences Meeting, Grapevine, TX, USA, 7–10 January 2013. Number AIAA 2013-0706. [Google Scholar]
- Ribert, G.; Petit, X.; Domingo, P. High-pressure methane-oxygen flames. Analysis of sub-grid scale contributions in filtered equations of state. J. Supercritcal Fluids 2017, 121, 78–88. [Google Scholar] [CrossRef]
- De Giorgi, M.G.; Sciolti, A.; Ficarella, A. Application and comparison of different combustion models of high pressure LOx/CH4 jet flames. Energies 2014, 7, 477–497. [Google Scholar] [CrossRef]
- Benmansour, A.; Liazid, A.; Logerais, P.O. A 3D numerical study of LO2/GH2 supercritical combustion in the ONERA-Mascotte test-rig configuration. J. Therm. Sci. 2016, 25, 97–108. [Google Scholar] [CrossRef]
- Muller, H.; Pfitzner, M. A flamelet model for transcritical LOx/GCH4 flames. J. Phys. Conf. Ser. 2017, 821, 012010. [Google Scholar] [CrossRef]
- Harstad, K.G.; Miller, R.S.; Bellan, J. Efficient high-pressure state equations. Am. Inst. Chem. Eng. J. 1997, 43, 1605–1610. [Google Scholar] [CrossRef]
- Wong, D.S.H.; Sandler, S.I. A theoretically correct mixing rule for cubic equations of state. Am. Inst. Chem. Eng. J. 1992, 38, 671–680. [Google Scholar] [CrossRef]
- NIST; Agency of the US Department of Commerce. NIST Reference Fluid Thermodynamic and Transport Properties Database. Available online: http://webbook.nist.gov/chemistry/ (accessed on 8 October 2022).
- Masquelet, M.M. Large-Eddy Simulations of High-Pressure Shear Coaxial Flows Relevant for H2 /O2 Rocket Engines. Ph.D. Thesis, School of Aerospace Engineering, Georgia Institute of Technology, Atlanta, GA, USA, 2013. [Google Scholar]
- Molecular Knowledge Systems. CRANIUM—Property Estimation Software. Available online: https://www.molecularknowledge.com/Cranium/Current/Cranium.html (accessed on 8 October 2022).
- Joback, K.; Reid, C. Estimation of Pure-Component Properties from Group-Contributions. Chem. Eng. Commun. 1987, 57, 233–243. [Google Scholar] [CrossRef]
- Lydersen, A. Estimation of Critical Properties of Organic Compounds. Technical report, Engineering Experiment Station Report 3. 1955. Available online: https://aiche.onlinelibrary.wiley.com/doi/10.1002/aic.690020328 (accessed on 8 October 2022).
- Pedersen, K.S.; Christensen, P.L.; Shaikh, J.A. Phase Behavior of Petroleum Reservoir Fluids; CRC Press: Boca Raton, FL, USA, 2014. [Google Scholar]
- Chueh, P.L.; Prausnitz, J.M. Vapor-liquid equilibria at high pressures, calculation of partial molar volumes in nonpolar liquid mixtures. AIChE J. 1967, 13, 1099–1107. [Google Scholar] [CrossRef]
- Giacomazzi, E.; Picchia, F.R.; Arcidiacono, N. A Review on Chemical Diffusion, Criticism and Limits of Simplified Methods for Diffusion Coefficients Calculation. Combust. Theory Model. 2008, 12, 135–158. [Google Scholar] [CrossRef]
- Hirschfelder, J.O.; Curtiss, C.F.; Bird, R.B.; Spotz, E.L. The Molecular Theory of Gases and Liquids; John Wiley & Sons: New York, NY, USA, 1954. [Google Scholar]
- Bird, R.B.; Stewart, W.E.; Lightfoot, E.N. Transport Phenomena, 2nd ed.; John Wiley and Sons: New York, NY, USA, 2002. [Google Scholar]
- Giovangigli, V. Multi-Component Flow Modeling; Birkhauser: Boston, MA, USA, 1999. [Google Scholar]
- De Charentenay, J.; Ern, A. Multicomponent Transport Impact on Premixed Turbulent H2/O2 Flames. Combust. Theory Model. 2002, 3, 463–478. [Google Scholar]
- Chichester, J.C.; Huber, M.L. Documentation and Assessment of the Transport Property Model for Mixtures Implemented in NIST REFPROP Version 8.0. Technical Report NISTIR 6650, NIST; 2008. Available online: https://tsapps.nist.gov/publication/get_pdf.cfm?pub_id=832196 (accessed on 8 October 2022).
- Congiunti, A.; Bruno, C.; Giacomazzi, E. Supercritical Combustion Properties. In Proceedings of the 41st AIAA Aerospace Sciences Meeting and Exhibit, Reno, NV, USA, 6–9 January 2003. Number AIAA 2003-478. [Google Scholar]
- Takahashi, S. Preparation of a Gereralized Chart for the Diffusion Coefficients of Gases at High Pressures. J. Chem. Eng. Jpn. 1974, 7, 417–420. [Google Scholar] [CrossRef]
- Vreman, A.W. An eddy-viscosity subgrid-scale model for turbulent shear flow: Algebraic theory and applications. Phys. Fluids 2004, 16, 3670–3681. [Google Scholar] [CrossRef]
- Giacomazzi, E.; Cecere, D. A Combustion Regime-Based Model for Large Eddy Simulation. Energies 2021, 14, 4934. [Google Scholar] [CrossRef]
- Clark, R.A.; Ferziger, J.H.; Reynolds, W.C. Evaluation of Subgrid-Scale Models using an Accurately Simulated Turbulent Flow. J. Fluid Mech. 1979, 91, 1–16. [Google Scholar] [CrossRef]
- Selle, L.C.; Okong’o, N.A.; Bellan, J.; Harstad, K.G. Modelling of Subgrid-Scale Phenomena in Supercritical Transitional Mixing Layers: An a priori Study. J. Fluid Mech. 2007, 593, 57–91. [Google Scholar] [CrossRef]
- Iannone, F.; Ambrosino, F.; Bracco, G.; Rosa, M.D.; Funel, A.; Guarnieri, G.; Migliori, S.; Palombi, F.; Ponti, G.; Santomauro, G.; et al. CRESCO ENEA HPC clusters: A working example of a multifabric GPFS Spectrum Scale layout. In Proceedings of the 2019 International Conference on High Performance Computing & Simulation (HPCS), Dublin, Ireland, 15–19 July 2019; pp. 1051–1052. [Google Scholar]
- Liou, M.S. A sequel to AUSM, Part II: AUSM+-up for all speeds. J. Comput. Phys. 2006, 214, 137–170. [Google Scholar] [CrossRef]
- Berger, M.; Aftosmis, M.J.; Murman, S.M. Analysis of Slope Limiters on Irregular Grids. In Proceedings of the 43rd AIAA Aerospace Sciences Meeting, Reno, NV, USA, 10–13 January 2005. Number AIAA 2005-0490, NAS Technical Report NAS-05-007. [Google Scholar]
- Giacomazzi, E.; Cecere, D.; Arcidiacono, N.M.S.; Picchia, F.R. Approaching the Numerical Simulation of Trans- and Super- Critical Flows. In Proceedings of the 8th European Combustion Meeting, Dubrovnik, Croatia, 18–21 April 2017. [Google Scholar]
- Giacomazzi, E.; Cecere, D.; Arcidiacono, N.M.S.; Picchia, F.R.; Rossi, G.; Cutrone, L.; Mastellone, A. Numerical Simulations of High-Pressure Mixing and Combustion. In Proceedings of the AIAA Propulsion and Energy Forum, Atlanta, GA, USA, 10–12 July 2017. Number AIAA-2017-2707218. [Google Scholar]
- Izzo, G.; Jackiewicz, Z. Highly stable impl.-explicit Runge–Kutta meth. Appl. Num. Math. 2017, 113, 71–92. [Google Scholar] [CrossRef]
- Rudy, D.H.; Strikwerda, J.C. Boundary conditions for subsonic compressible Navier–Stokes calculations. Comput. Fluids 1981, 9, 327–338. [Google Scholar] [CrossRef]
- Thompson, K.W. Time-dependent boundary conditions for hyperbolic systems, II. J. Comput. Phys. 1990, 89, 439–461. [Google Scholar] [CrossRef]
- Poinsot, T.J.; Lele, S.K. Boundary Conditions for Direct Simulations of Compressible Viscous Flows. J. Comput. Phys. 1992, 101, 104–129. [Google Scholar] [CrossRef]
- Baum, M.; Poinsot, T.; Thévenin, D. Accurate Boundary Conditions for Multicomponent Reactive Flows. J. Comput. Phys. 1995, 116, 247–261. [Google Scholar] [CrossRef]
- Sutherland, J.C.; Kennedy, C.A. Improved Boundary Conditions for Viscous, Reacting, Compressible Flows. J. Comput. Phys. 2003, 191, 502–524. [Google Scholar] [CrossRef]
- Okong’o, N.; Bellan, J. Consistent Boundary Conditions for Multicomponent Real Gas Mixtures Based on Characteristic Waves. J. Comput. Phys. 2002, 176, 330–344. [Google Scholar] [CrossRef]
- Polifke, W.; Wall, C. Non-Reflecting Boundary Conditions for Acoustic Transfer Matrix Estimation with LES; Center for Turbulence Research: Stanford, CA, USA, 2002. [Google Scholar]
- Klein, M.; Sadiki, A.; Janicka, J. A digital filter based generation of inflow data for spatially developing direct numerical or large eddy simulations. J. Comput. Phys. 2003, 186, 652–665. [Google Scholar] [CrossRef]
- Mayer, W.; Telaar, J.; Branam, R.; Schneider, G.; Hussong, J. Raman measurements of cryogenic injection at supercritical pressure. Heat Mass Transf. 2003, 39, 709–719. [Google Scholar] [CrossRef]
- Pope, S. Ten questions concerning the large-eddy simulation of turbulent flows. New J. Phys. 2004, 6, 35. [Google Scholar] [CrossRef]
- Vingert, L.; Habiballah, M.; Vuillermoz, P.; Zurbach, S. Mascotte, a test facility for cryogenic research at high pressure. In Proceedings of the 51st International Astronautical Congress, Rio de Janeiro, Brazil, 2–6 October 2000. [Google Scholar]
- Habiballah, M.; Orain, M.; Grisch, F.; Vingert, L.; Gicquel, P. Experimental studies of high-pressure cryogenic flames on the MASCOTTE facility. Combust. Sci. Technol. 2006, 178, 101–128. [Google Scholar] [CrossRef]
- Boivin, P.; Jimenez, C.; Sanchez, A.L.; Williams, F.A. An explicit reduced mechanism for H2-air combustion. Proc. Combust. Inst. 2011, 33, 517–523. [Google Scholar] [CrossRef]
- Ruiz, A. Unsteady Numerical Simulations of Transcritical Turbulent Combustion in Liquid Rocket Engines. ED MEGEP: Énergétique et transferts—Unité de recherche: CERFACS, Institut National Polytechnique de Toulouse (INP Toulouse), Toulouse, France. 2012. Available online: https://www.researchgate.net/publication/281598880_Unsteady_Numerical_Simulations_of_Transcritical_Turbulent_Combustion_in_Liquid_Rocket_Engines (accessed on 8 October 2022).
- Gicquel, P.; Vingert, L.; Lecourt, L.; Barat, M. Etudes experimentales des sprays cryogeniques en combustion dans des conditions sub- et supercritiques. In Proceedings of the Actes du Colloque de Synthese du Groupe deRecherche CNES, CNRS, ONERA, SNECM, Toulouse, France, 26–28 June 2001; Proceedings Combustion Dans les Moteurs Fusees. pp. 359–369. [Google Scholar]
- Mayer, W.; Schick, A.; Vieille, B.; Chauveau, C.; Gokalp, I.; Talley, D. Atomization and breakup of cryogenic propellants under high-pressure subcritical and supercritical conditions. J. Propul. Power 1998, 14, 835–842. [Google Scholar] [CrossRef]
- Zeinivand, H.; Farshchi, M. Numerical study of the pseudo-boiling phenomenon in the transcritical liquid oxygen/gaseous hydrogen flame. J. Aerosp. Eng.-Proc. Inst. Mech. Eng. 2020, 235, 893–911. [Google Scholar] [CrossRef]



















| Species | (K) | (Bar) | (−) | |
|---|---|---|---|---|
| Pressure | ||||||||||
|---|---|---|---|---|---|---|---|---|---|---|
| (−) | m | |||||||||
| 83 | 1182.97 | 105 | 10.1736 | 8.72 | 0.436 | 1 | 2097 | 3.2 | ||
| 275 | 5.125 | 42 | 53.8824 | 152.09 | 7.6 | 1 | 4534 | 1.8 |
| Fluid/Wall | (kg/m) | (J/(kg K)) | (W/(m K)) | (SI) | (−) | (s) |
|---|---|---|---|---|---|---|
| 5.125 | 14,414.31 | 0.1786 | 114.86 | 353.85 | ||
| 1182.97 | 1566.48 | 0.1636 | 550.61 | 78.81 | ||
| Hot Gases | 4.55 | 2393.21 | 0.3262 | 60 | 677.38 | |
| Steel AISI4000 | 7850 | 4750 | 44.30 | 40,642.79 | - |
Publisher’s Note: MDPI stays neutral with regard to jurisdictional claims in published maps and institutional affiliations. |
© 2022 by the authors. Licensee MDPI, Basel, Switzerland. This article is an open access article distributed under the terms and conditions of the Creative Commons Attribution (CC BY) license (https://creativecommons.org/licenses/by/4.0/).
Share and Cite
Giacomazzi, E.; Cecere, D.; Arcidiacono, N. Flame Anchoring of an H2/O2 Non-Premixed Flamewith O2 Transcritical Injection. Aerospace 2022, 9, 707. https://doi.org/10.3390/aerospace9110707
Giacomazzi E, Cecere D, Arcidiacono N. Flame Anchoring of an H2/O2 Non-Premixed Flamewith O2 Transcritical Injection. Aerospace. 2022; 9(11):707. https://doi.org/10.3390/aerospace9110707
Chicago/Turabian StyleGiacomazzi, Eugenio, Donato Cecere, and Nunzio Arcidiacono. 2022. "Flame Anchoring of an H2/O2 Non-Premixed Flamewith O2 Transcritical Injection" Aerospace 9, no. 11: 707. https://doi.org/10.3390/aerospace9110707
APA StyleGiacomazzi, E., Cecere, D., & Arcidiacono, N. (2022). Flame Anchoring of an H2/O2 Non-Premixed Flamewith O2 Transcritical Injection. Aerospace, 9(11), 707. https://doi.org/10.3390/aerospace9110707

