Effects of Key Parameters on Airfoil Aerodynamics Using Co-Flow Jet Active Flow Control
Abstract
1. Introduction
2. Model and Parameters
2.1. CFJ Model
2.2. CFJ Parameters
2.2.1. Jet Momentum Coefficient
2.2.2. Lift and Drag
2.2.3. Pitching Moment
2.2.4. Power Coefficient
2.2.5. Corrected Aerodynamic Efficiency
3. Numerical Method and Validation
3.1. Numerical Method
3.2. Computational Mesh and Boundary Conditions
3.3. Mesh Refinement Study
3.4. Validation
4. Results and Discussions
4.1. Effect of Jet Momentum Coefficient
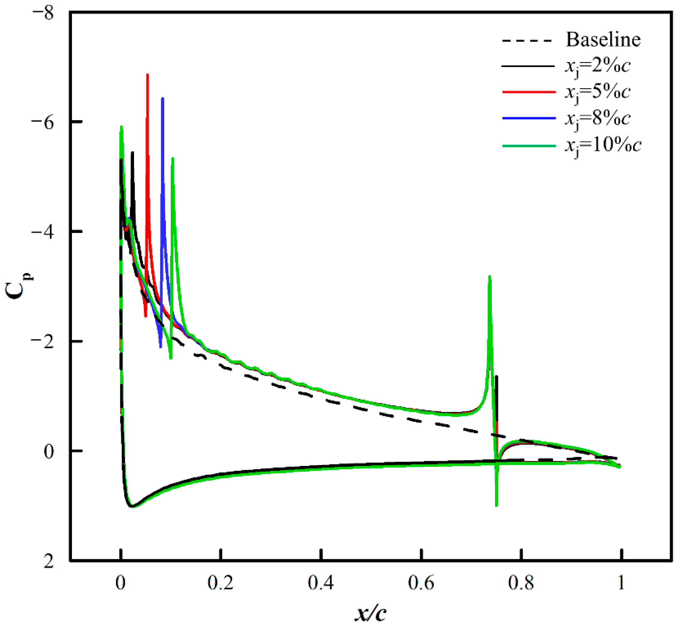
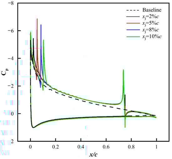
4.2. Effect of Injection Slot Location
4.3. Effect of Injection Slot size
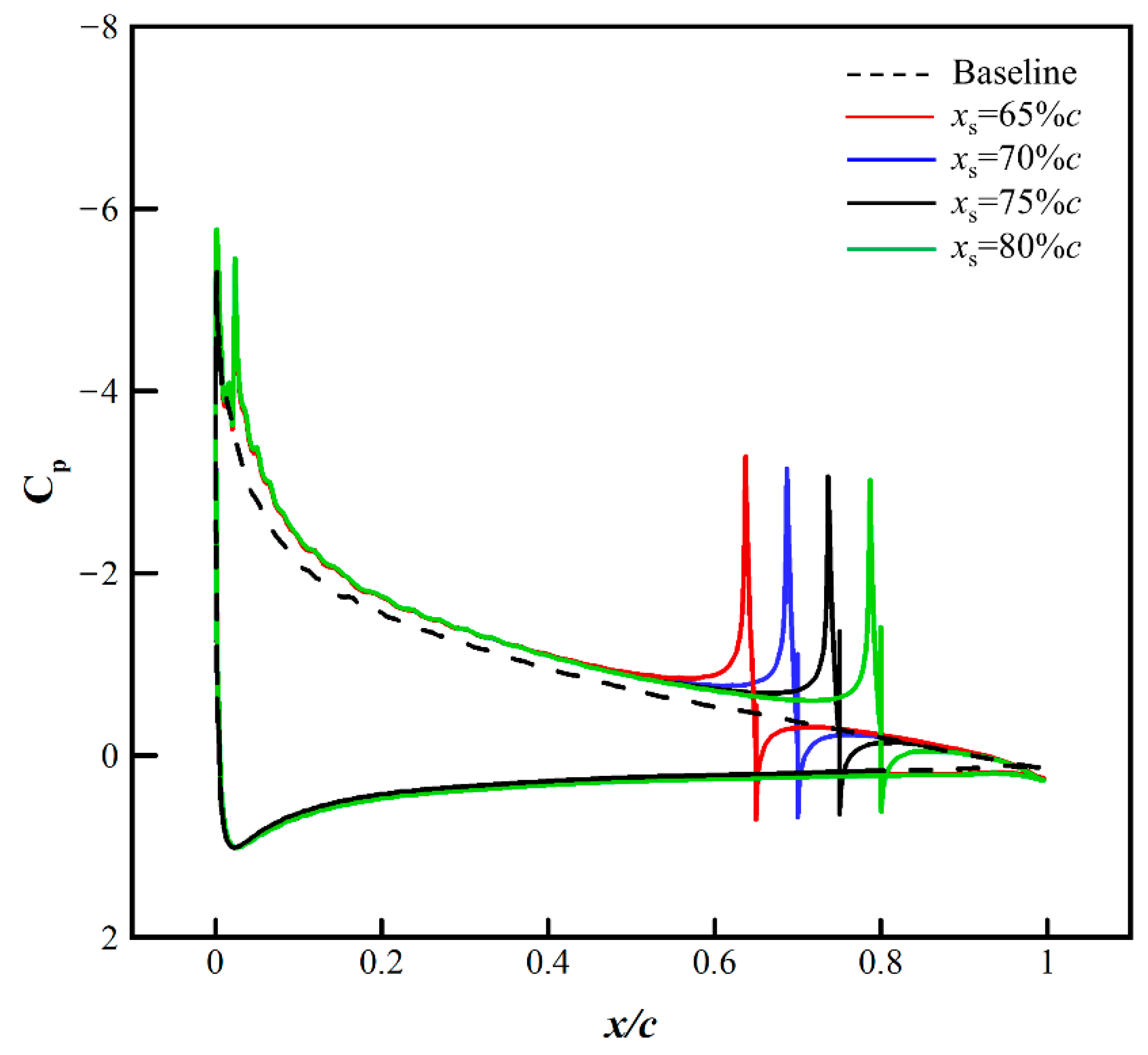
4.4. Effect of Suction Slot Location
4.5. Effect of Suction Slot Size
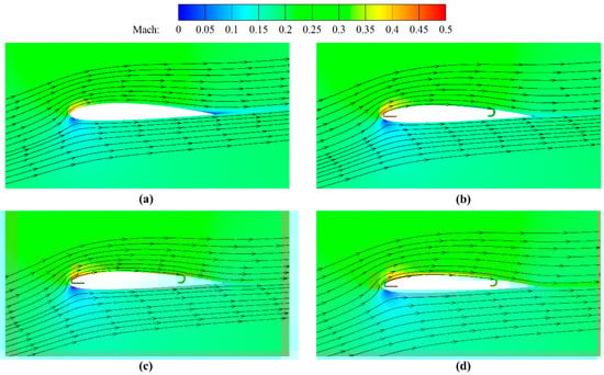
4.6. Effect of Suction Slot Angle
5. Conclusions
Author Contributions
Funding
Institutional Review Board Statement
Informed Consent Statement
Data Availability Statement
Conflicts of Interest
Abbreviations
| Aj | Injection slot size |
| As | Suction slot size |
| c | Chord length |
| CC | Circulation control |
| CFD | Computational Fluid Dynamics |
| CFJ | Co-flow jet |
| CL | Lift coefficient |
| CD | Drag coefficient |
| Cm | Pitching moment coefficient |
| cp | Constant pressure specific heat |
| Cp | Pressure coefficient |
| Cμ | Jet momentum coefficient |
| D | Drag |
| DES | Detached-Eddy Simulation |
| E | Total energy per unit mass |
| Fxcfj | Jet reaction force in the drag direction |
| Fycfj | Jet reaction force in the lift direction |
| FI | Inviscid fluxes |
| FV | Viscous fluxes |
| FVM | Finite volume method |
| Kc | Corrected aerodynamic efficiency |
| L | Lift |
| L/D | Lift-to-drag ratio |
| LE | Leading-edge |
| LES | Large-Eddy Simulation |
| Lxinj | Moment arm in x direction for the injection slot |
| Lxsuc | Moment arm in x direction for the suction slot |
| Lyinj | Moment arm in y direction for the injection slot |
| Lysuc | Moment arm in y direction for the suction slot |
| Injection mass flow rate | |
| Suction mass flow rate | |
| M | Pitching moment |
| Ma | Mach number |
| MCFJ | CFJ pitching moment |
| nx,ny | Normal vector components of the control surface |
| P | Power consumption |
| Pc | Power coefficient |
| pj | Static pressure at the injection cavity |
| ps | Static pressure at the suction cavity |
| ptj | Mass-averaged total pressure in the injection cavity |
| pts | Mass-averaged total pressure in the suction cavity |
| Q | Conserved variables |
| RANS | Reynolds averaged Navier-Stokes |
| Re | Reynolds number |
| Rx | Surface integral of pressure |
| Ry | Surface integral of shear stress |
| S | Control volume boundary |
| Sref | Reference area |
| S-A | Spalart-Allmaras |
| TE | Trailing-edge |
| Tts | Total pressure in the suction cavity |
| V∞ | Freestream velocity |
| Vj | Mass-averaged injection velocity |
| xj | Injection slot location |
| xs | Suction slot location |
| ZNMF | Zero-net mass flux |
| α | Angle of attack |
| γ | Specific heat ratio |
| η | Efficiency of the pumping system |
| θj | Injection slot angle |
| θs | Suction slot angle |
| ρ∞ | Freestream density |
| Ω | Control volume |
References
- Ashill, P.R.; Fulker, J.L.; Hackett, K.C. A review of recent developments in flow control. Aeronaut. J. 2005, 109, 205–232. [Google Scholar] [CrossRef]
- Bewley, T.R. Flow control: New challenges for a new renaissance. Prog. Aerosp. Sci. 2001, 37, 21–58. [Google Scholar] [CrossRef]
- Hirai, R.; Kawai, S. Analysis and robust method for source-term modeling of vortex generator. J. Aircr. 2021, 58, 958–970. [Google Scholar] [CrossRef]
- Eguea, J.P.; Bravo-Mosquera, P.D.; Catalano, F.M. Camber morphing winglet influence on aircraft drag breakdown and tip vortex structure. Aerosp. Sci. Technol. 2021, 119, 107148. [Google Scholar] [CrossRef]
- Zaki, A.; Abdelrahman, M.A.; Ayad, S.S.; Abdellatif, O.E. Effects of leading edge slat on the aerodynamic performance of low Reynolds number horizontal axis wind turbine. Energy 2022, 239, 122338. [Google Scholar] [CrossRef]
- Chaput, A.J. Multi-section wing capability for the vehicle sketch pad structural analysis module. In Proceedings of the 53rd AIAA Aerospace Sciences Meeting, Kissimmee, FL, USA, 5–9 January 2015. [Google Scholar]
- Zhang, Y.; Yang, P.; Li, R.; Chen, H. Unsteady simulation of transonic buffet of a supercritical airfoil with shock control bump. Aerospace 2021, 8, 203. [Google Scholar] [CrossRef]
- Werner-Spatz, C.; Heinze, W.; Horst, P.; Radespiel, R. Multidisciplinary conceptual design for aircraft with circulation control high-lift systems. CEAS Aeronaut. J. 2012, 3, 145–164. [Google Scholar] [CrossRef]
- Min, B.Y.; Lee, W.; Englar, R.; Sankar, L.N. Numerical investigation of circulation control airfoils. J. Aircr. 2009, 46, 1403–1410. [Google Scholar] [CrossRef]
- Xu, H.Y.; Qiao, C.L.; Yang, H.Q.; Ye, Z.Y. Active circulation control on the blunt trailing edge wind turbine airfoil. AIAA J. 2018, 56, 554–570. [Google Scholar] [CrossRef]
- Rizzetta, D.P.; Visbal, M.R.; Stanek, M.J. Numerical investigation of synthetic-jet flowfields. AIAA J. 1999, 37, 919–927. [Google Scholar] [CrossRef]
- Li, S.; Luo, Z.; Deng, X.; Liu, Z.; Gao, T.; Zhao, Z. Lift enhancement based on virtual aerodynamic shape using a dual synthetic jet actuator. Chin. J. Aeronaut. 2022; in press. [Google Scholar] [CrossRef]
- Reedy, T.M.; Kale, N.V.; Dutton, J.C.; Elliott, G.S. Experimental characterization of a pulsed plasma jet. AIAA J. 2013, 51, 2027–2031. [Google Scholar] [CrossRef]
- Zhang, W.; Shi, Z.; Li, Z.; Geng, X.; Zhang, C.; Sun, Q. Study on propagation mechanisms of the actuations generated by plasma synthetic jet actuator in a supersonic flow. Aerosp. Sci. Technol. 2022, 126, 107644. [Google Scholar] [CrossRef]
- Lefebvre, A.; Dano, B.; Bartow, W.B.; Fronzo, M.D.; Zha, G.C. Performance and energy expenditure of co-flow jet airfoil with variation of Mach number. J. Aircr. 2016, 53, 1757–1767. [Google Scholar] [CrossRef]
- Liu, J.; Chen, R.; You, Y.; Shi, Z. Numerical investigation of dynamic stall suppression of rotor airfoil via improved co-flow jet. Chin. J. Aeronaut. 2022, 35, 169–184. [Google Scholar] [CrossRef]
- Zha, G.C.; Paxton, C.D. A novel airfoil circulation augment flow control method using co-flow jet. In Proceedings of the 2nd AIAA Flow Control Conference, Portland, OR, USA, 28 June–1 July 2004. [Google Scholar]
- Zha, G.C.; Paxton, C.D.; Conley, C.A.; Wells, A.; Carroll, B.F. Effect of injection slot size on the performance of co-flow jet airfoil. J. Aircr. 2006, 43, 987–995. [Google Scholar] [CrossRef]
- Dano, B.; Kirk, D.; Zha, G.C. Experimental investigation of jet mixing mechanism of co-flow jet airfoil. In Proceedings of the 5th AIAA Flow Control Conference, Chicago, IL, USA, 28 June–1 July 2010. [Google Scholar]
- Dano, B.; Zha, G.C.; Castillo, M. Experimental study of co-flow jet airfoil performance enhancement using discreet jets. In Proceedings of the 49th AIAA Aerospace Sciences Meeting Including the New Horizons Forum and Aerospace Exposition, Orlando, FL, USA, 4–7 January 2011. [Google Scholar]
- Dano, B.; Lefebvre, A.M.; Zha, G.C. Mixing mechanism of a discrete co-flow jet airfoil. In Proceedings of the 41st AIAA Fluid Dynamics Conference and Exhibit, Honolulu, HI, USA, 27–30 June 2011. [Google Scholar]
- Zhang, S.L.; Yang, X.D.; Song, B.F.; Li, Z.Y.; Wang, B. Experimental investigation of lift enhancement and drag reduction of discrete co-flow jet rotor airfoil. Appl. Sci. 2021, 11, 9561. [Google Scholar] [CrossRef]
- Lefebvre, A.M.; Zha, G.C. Co-flow jet airfoil trade study part I: Energy consumption and aerodynamic efficiency. In Proceedings of the 32nd AIAA Applied Aerodynamics Conference, Atlanta, GA, USA, 16–20 June 2014. [Google Scholar]
- Wang, Y.; Zha, G.C. Study of Reynolds number effect for 2d co-flow jet airfoil at cruise condition. In Proceedings of the AIAA Aviation 2020 Forum, Virtual Event, 15–19 July 2020. [Google Scholar]
- Liu, Z.X.; Zha, G.C. Transonic airfoil performance enhancement using co-flow jet active flow control. In Proceedings of the 8th AIAA Flow Control Conference, Washington, DC, USA, 13–17 June 2016. [Google Scholar]
- Lei, Z.J.; Zha, G.C. Lift enhancement of supersonic thin airfoil at low speed by co-flow jet active flow control. In Proceedings of the AIAA Aviation 2021 Forum, Virtual Event, 2–6 August 2021. [Google Scholar]
- Wang, B.; Zha, G.C. Detached-eddy simulation of a co-flow jet airfoil at high angle of attack. J. Aircr. 2011, 48, 1495–1502. [Google Scholar] [CrossRef]
- Im, H.S.; Zha, G.C.; Dano, B. Large eddy simulation of co-flow jet airfoil at high angle of attack. J. Fluids Eng. 2014, 136, 021101. [Google Scholar] [CrossRef]
- Liu, J.; Chen, R.; Qiu, R.; You, Y.; Zhang, W. Study on dynamic stall control of rotor airfoil based on co-flow jet. Int. J. Aerosp. Eng. 2020, 2020, 8845924. [Google Scholar] [CrossRef]
- Xu, H.Y.; Qiao, C.L.; Ye, Z.Y. Dynamic stall control on the wind turbine airfoil via a co-flow jet. Energies 2016, 9, 429. [Google Scholar] [CrossRef]
- Zhang, J.H.; Xu, K.W.; Yang, Y.C.; Yan, R.; Patel, P.; Zha, G.C. Aircraft control surfaces using co-flow jet active flow control airfoil. In Proceedings of the 2018 Applied Aerodynamics Conference, Atlanta, GA, USA, 25–29 June 2018. [Google Scholar]
- Wang, R.C.; Ma, X.P.; Zhang, G.X.; Ying, P.; Wang, X.Y. Numerical investigation of co-flow jet airfoil with parabolic flap. Chin. J. Aeronaut. 2022; in press. [Google Scholar] [CrossRef]
- Xu, K.W.; Zha, G.C. Mitigation of serpentine duct flow distortion using co-flow jet active flow control. In Proceedings of the AI-AA Aviation 2020 Forum, Virtual Event, 15–19 June 2020. [Google Scholar]
- Xu, K.W.; Zha, G.C. System energy benefit using co-flow jet active separation control for a serpentine duct. Aerosp. Sci. Technol. 2022, 128, 107746. [Google Scholar] [CrossRef]
- Perlin, D.; Zha, G.C. Numerical study of reverse thrust generation using co-flow jet. In Proceedings of the AIAA Scitech 2022 Forum, San Diego, CA, USA, 3–7 January 2022. [Google Scholar]
- Xu, K.W.; Ren, Y.; Zha, G.C. Numerical analysis of energy expenditure for coflow wall jet separation control. AIAA J. 2022, 60, 3267–3285. [Google Scholar] [CrossRef]
- Aftab, S.M.A.; Mohd, R.A.S.; Razak, N.A.; Ahmad, K.A. Turbulence model selection for low Reynolds number flows. PLoS ONE 2016, 11, e0153755. [Google Scholar] [CrossRef]
- Allmaras, S.R.; Johnson, F.T. Modifications and clarifications for the implementation of the Spalart-Allmaras turbulence mode. In Proceedings of the 7th International Conference on Computational Fluid Dynamics (ICCFD7), Big Island, HI, USA, 9–13 July 2012. [Google Scholar]
- Spalart, P.; Allmaras, S. A one-equation turbulence model for aerodynamic flows. In Proceedings of the 30th Aerospace Sci-ences Meeting and Exhibit, Reno, NV, USA, 6–9 January 1992. [Google Scholar]
- Xu, K.W.; Zha, G.C. High control authority three-dimensional aircraft control surfaces using coflow jet. J. Aircr. 2021, 58, 72–84. [Google Scholar] [CrossRef]
























| CL | CD | Cm | |
|---|---|---|---|
| Coarse (6.6 × 104) | 1.436 | −0.00060 | −0.06926 |
| Medium (9.3 × 104) | 1.437 | −0.00077 | −0.06946 |
| Fine (1.3 × 105) | 1.437 | −0.00079 | −0.06945 |
Publisher’s Note: MDPI stays neutral with regard to jurisdictional claims in published maps and institutional affiliations. |
© 2022 by the authors. Licensee MDPI, Basel, Switzerland. This article is an open access article distributed under the terms and conditions of the Creative Commons Attribution (CC BY) license (https://creativecommons.org/licenses/by/4.0/).
Share and Cite
Wang, R.; Zhang, G.; Ying, P.; Ma, X. Effects of Key Parameters on Airfoil Aerodynamics Using Co-Flow Jet Active Flow Control. Aerospace 2022, 9, 649. https://doi.org/10.3390/aerospace9110649
Wang R, Zhang G, Ying P, Ma X. Effects of Key Parameters on Airfoil Aerodynamics Using Co-Flow Jet Active Flow Control. Aerospace. 2022; 9(11):649. https://doi.org/10.3390/aerospace9110649
Chicago/Turabian StyleWang, Ruochen, Guoxin Zhang, Pei Ying, and Xiaoping Ma. 2022. "Effects of Key Parameters on Airfoil Aerodynamics Using Co-Flow Jet Active Flow Control" Aerospace 9, no. 11: 649. https://doi.org/10.3390/aerospace9110649
APA StyleWang, R., Zhang, G., Ying, P., & Ma, X. (2022). Effects of Key Parameters on Airfoil Aerodynamics Using Co-Flow Jet Active Flow Control. Aerospace, 9(11), 649. https://doi.org/10.3390/aerospace9110649
