Usage Monitoring of Helicopter Gearboxes with ADS-B Flight Data
Abstract
1. Introduction
1.1. Usage Monitoring of Helicopter Main Gearboxes
1.2. Access to Data and Reality Gap
2. Usage Monitoring Methodology
2.1. ADS-B Flight Data
2.2. Performance Model
- Since only groundspeed can be extracted from the available flight data, we assume that it is equivalent to TAS, neglecting wind, etc.
- As we focus on HEMS flights, the helicopter mass is assumed to be close to its maximum allowed takeoff mass (MTOM) due to the amount of equipment and a standard crew of three persons (pilot, emergency doctor and paramedic). It is not possible to infer from the ADS-B data whether a patient is on board. We thus assume the mass to be 150 kg less than its MTOM, which results to 2830 kg for an Airbus H135.
- We assume a standard barometer pressure setting of 1013 hPa to calculate the ambient pressure from the ADS-B altitude.
- Since the vertical rate within ADS-B is relatively coarse (intervals of 64 ft/min) and has a high variance due to momentarily extreme peaks, it is calculated with the forward differential coefficient of altitude.
- The flight profile data are smoothed with a moving average. For this, we used the Matlab function smoothdata with a SmoothingFactor of .
2.3. Derivation of the UM Indicator
3. Long-Term Flight Data Set
3.1. HEMS in Germany
3.2. Data Acquisition and Filtering
3.3. Filtering and Overview of the Data
4. Application and Results
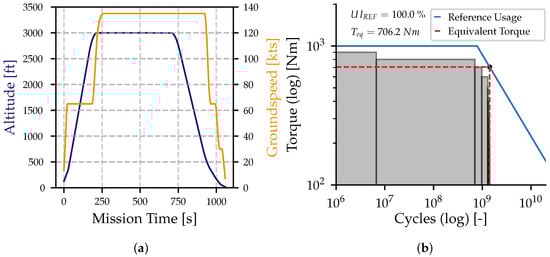
4.1. Description of the Example Use Case
4.2. Application of the UM Methodology and Discussion
4.3. Discussion
5. Conclusions and Future Work
Author Contributions
Funding
Data Availability Statement
Acknowledgments
Conflicts of Interest
Abbreviations
| ADS-B | Automatic Dependent Surveillance-Broadcast |
| DUH | Dual-Use-Helicopter |
| FC | Flight Cycles |
| FH | Flight Hours |
| HEMS | Helicopter Emergency Medical Services |
| HM | Health Monitoring |
| HUMS | Health and Usage Monitoring System |
| ITH | Intensive Care Transport Helicopter |
| MGB | Main Gearbox |
| MRO | Maintenance Repair and Overhaul |
| RTH | Rescue Transport Helicopter |
| TBO | Time Between Overhaul |
| UI | Usage Indicator |
| UM | Usage Monitoring |
References
- Kim, N.H.; An, D.; Choi, J.H. Prognostics and Health Management of Engineering Systems; Springer International Publishing: Berlin, Germany, 2017. [Google Scholar]
- Land, J.E. HUMS—The Benefits—Past, Present and Future. In Proceedings of the 2001 IEEE Aerospace Conference, Big Sky, MT, USA, 10–17 March 2001. [Google Scholar]
- Zakrajsek, J.J.; Dempsey, P.J.; Huff, E.M.; Augusting, M.; Safa-Bakhsh, R.; Duke, A.; Ephraim, P.; Grabil, P.; Decker, H.J. Rotorcraft Health Management Issues and Challenges; Technical Report; National Aeronautics and Space Administration (NASA): Cleveland, OH, USA, 2006.
- Lei, Y.; Yang, B.; Jiang, X.; Jia, F.; Li, N.; Nandi, A.K. Applications of machine learning to machine fault diagnosis: A review and roadmap. Mech. Syst. Signal Process. 2020, 138, 106587:1–106587:39. [Google Scholar] [CrossRef]
- Samuel, P.D.; Pines, D.J. A review of vibration-based techniques for helicopter transmission diagnostics. J. Sound Vib. 2005, 282, 475–508. [Google Scholar] [CrossRef]
- Patrick, R.; Smith, M.J.; Byington, C.S.; Vachtsevanos, G.J.; Tom, K.; Ly, C. Integrated Software Platform for Fleet Data Analysis, Enhanced Diagnostics, and Safe Transition to Prognostics for Helicopter Component CBM. In Proceedings of the Annual Conference of the Prognostics and Health Management Society, Portland, OR, USA, 10–16 October 2010. [Google Scholar]
- Hinsch, M. Industrial Aviation Management, 4th ed.; Springer: Berlin, Germany, 2019. [Google Scholar]
- Airbus Helicopters. Issue Paper Rotorcraft (IPR) IP170—HUMS for Credit. Available online: https://www.easa.europa.eu/en/document-library/imrbpb-issue-papers (accessed on 27 September 2022).
- Bittner, W. Flugmechanik der Hubschrauber, 4th ed.; Springer: Berlin, Germany, 2014. [Google Scholar]
- Lombardo, D.C. Helicopter Structures—A Review of Loads, Fatigue Design Techniques and Usage Monitoring; Technical Report; Aeronautical Research Laboratory, Defence Science and Technology Organisation Australia: Melbourne, Australia, 1983. [Google Scholar]
- Zion, L.; Chandler, M.; White, D. Results of Health and Usage Monitoring System Fleet Data Analysis for Usage Credits; Technical Report; Federal Aviation Administration: Egg Harbor Township, NJ, USA, 2016.
- He, D.; Wu, S.; Bechhoefer, E. A regime recognition algorithm for helicopter usage monitoring. In Aerospace Technologies Advancements; IntechOpen Limited: London, UK, 2010; pp. 391–404. [Google Scholar] [CrossRef]
- Chin, H.J.; Payan, A.; Johnson, C.; Mavris, D.N. Phases of flight identification for rotorcraft operations. In Proceedings of the AIAA Scitech 2019 Forum, San Diego, CA, USA, 7–11 January 2019. [Google Scholar]
- Chin, H.J.; Payan, A.P.; Mavris, D.; Johnson, C. Knowledge Discovery Within ADS-B Data from Routine Helicopter Tour Operations. In Proceedings of the AIAA AVIATION 2020 FORUM, Virtual Event, 15–19 June 2020. [Google Scholar]
- Hoole, J.; Booker, J.; Cooper, J. Helicopter Flight Manoeuvre Statistics via ADS-B: An Initial Investigation Using the OpenSky Network. In Proceedings of the 9th OpenSky Symposium, Virtual Event, 18–19 November 2021. [Google Scholar] [CrossRef]
- Fraser, K.F. In-flight computation of helicopter transmission fatigue life expenditure. J. Aircr. 1983, 20, 633–640. [Google Scholar] [CrossRef]
- Noback, R. State of the Art and Statistical Aspects of Helicopter Fatigue Substantiation Procedures. In Proceedings of the AGARD Conference Proceedings No. 297: Helicopter Fatigue Life Assessment, Aix-en-Provence, France, 14–19 September 1980. [Google Scholar]
- Foulard, S.; Ichchou, M.; Rinderknecht, S.; Perret-Liaudet, J. Online and real-time monitoring system for remaining service life estimation of automotive transmissions—Application to a manual transmission. Mechatronics 2015, 30, 140–157. [Google Scholar] [CrossRef]
- Pagitsch, M.; Jacobs, G.; Bosse, D. Remaining Useful Life Determination for Wind Turbines. J. Phys. Conf. Ser. 2020, 1452, 012052:1–012052:8. [Google Scholar] [CrossRef]
- Hagmeyer, S.; Mauthe, F.; Zeiler, P. Creation of Publicly Available Data Sets for Prognostics and Diagnostics Addressing Data Scenarios Relevant to Industrial Applications. Int. J. Progn. Health Manag. 2021, 12, 1–20. [Google Scholar] [CrossRef]
- European Comission. Commission Implementing Regulation (EU) No 1207/2011; European Comission: Brussels, Belgium, 2011. [Google Scholar]
- Schäfer, M.; Strohmeier, M.; Lenders, V.; Martinovic, I.; Wilhelm, M. Bringing up OpenSky: A large-scale ADS-B sensor network for research. In Proceedings of the IPSN-14 Proceedings of the 13th International Symposium on Information Processing in Sensor Networks, Berlin, Germany, 15–17 April 2014. [Google Scholar]
- Schäfer, M.; Strohmeier, M.; Smith, M.; Fuchs, M.; Pinheiro, R.; Lenders, V.; Martinovic, I. OpenSky report 2016: Facts and figures on SSR mode S and ADS-B usage. In Proceedings of the 2016 IEEE/AIAA 35th Digital Avionics Systems Conference (DASC), Sacramento, CA, USA, 25–29 September 2016. [Google Scholar]
- Mouillet, V.; Phu, D. BADA Family H—A Simple Helicopter Performance Model for ATM Applications. In Proceedings of the 2018 IEEE/AIAA 37th Digital Avionics Systems Conference (DASC), London, UK, 23–27 September 2018. [Google Scholar]
- MathWorks, Inc. Documentation Matlab R2020b. Available online: https://de.mathworks.com/help/releases/R2020b/index.html (accessed on 22 March 2021).
- Bramwell, A.R.S.; Done, G.; Balmford, D. Bramwell’s Helicopter Dynamics, 2nd ed.; Butterworth Heinemann: Oxford, UK, 2001. [Google Scholar]
- van der Wall, B.G. Grundlagen der Hubschrauber-Aerodynamik, 2nd ed.; Springer: Berlin, Germany, 2020. [Google Scholar]
- ISO 6336-1; Calculation of Load Capacity of Spur and Helical Gears—Part 1: Basic Principles, Introduction and General Influence Factors. ISO (International Organization for Standardization): Geneva, Switzerland, 2019.
- ISO 6336-6; Calculation of Load Capacity of Spur and Helical Gears—Part 6: Calculation of Service Life under Variable Load. ISO (International Organization for Standardization): Geneva, Switzerland, 2019.
- Schlottmann, D.; Schnegas, H. Auslegung von Konstruktionselementen, 3rd ed.; Springer: Berlin, Germany, 2016. [Google Scholar]
- Mouillet, V. User Manual for the Base of Aircraft Data (BADA) Family H; Eurocontrol Experimental Centre: Brétigny-sur-Orge, France, 2018. [Google Scholar]
- Doleschel, A.; Emmerling, S. The EC135 Drive Train Analysis and Improvement of the Fatigue Strength. In Proceedings of the 33rd European Rotorcraft Forum, Kazan, Russia, 11–13 September 2007. [Google Scholar]
- Hünemohr, D. ADS-B Flight Data of German HEMS Helicopters (Airbus EC135) from 2017–2021; TUdatalib Repository; Technical University of Darmstadt: Darmstadt, Germany, 2022. [Google Scholar] [CrossRef]
- Kessler, C. Helicopter emergency medical service: Motivation for focused research. CEAS Aeronaut. J. 2015, 6, 337–394. [Google Scholar] [CrossRef]
- Martin, T. Aeromedical Transportation: A Clinical Guide, 2nd ed.; CRC Press: Boca Raton, FL, USA, 2006. [Google Scholar]
- Olive, X. traffic, a toolbox for processing and analysing air traffic data. J. Open Source Softw. 2019, 4, 1518:1–1518:3. [Google Scholar] [CrossRef]
- ADAC Luftrettung. Neuer Rekord: “Christoph 31” Knackt in Berlin die 80.000. Available online: https://luftrettung.adac.de/neuer-rekord-christoph-31-knackt-in-berlin-die-80-000/ (accessed on 19 September 2022).












| HEMS Type | EC135/H135 | EC145/H145 |
|---|---|---|
| RTH | 49 | 6 |
| ITH | 1 | 12 |
| DUH | 1 | 10 |
| Total | 51 | 28 |
| Registration | Operator | Station | Location | Model Type | Entry into Service |
|---|---|---|---|---|---|
| D-HXCB | ADAC | Christoph 31 (CHX31) | Berlin | Airbus EC135 T3 | 2020 |
| D-HRTA | DRF | Christoph 45 (CHX45) | Friedrichshafen | Airbus EC135 T3 | 2017 |
Publisher’s Note: MDPI stays neutral with regard to jurisdictional claims in published maps and institutional affiliations. |
© 2022 by the authors. Licensee MDPI, Basel, Switzerland. This article is an open access article distributed under the terms and conditions of the Creative Commons Attribution (CC BY) license (https://creativecommons.org/licenses/by/4.0/).
Share and Cite
Hünemohr, D.; Litzba, J.; Rahimi, F. Usage Monitoring of Helicopter Gearboxes with ADS-B Flight Data. Aerospace 2022, 9, 647. https://doi.org/10.3390/aerospace9110647
Hünemohr D, Litzba J, Rahimi F. Usage Monitoring of Helicopter Gearboxes with ADS-B Flight Data. Aerospace. 2022; 9(11):647. https://doi.org/10.3390/aerospace9110647
Chicago/Turabian StyleHünemohr, David, Jörg Litzba, and Farid Rahimi. 2022. "Usage Monitoring of Helicopter Gearboxes with ADS-B Flight Data" Aerospace 9, no. 11: 647. https://doi.org/10.3390/aerospace9110647
APA StyleHünemohr, D., Litzba, J., & Rahimi, F. (2022). Usage Monitoring of Helicopter Gearboxes with ADS-B Flight Data. Aerospace, 9(11), 647. https://doi.org/10.3390/aerospace9110647

