Dynamic Aircraft Wake Separation Based on Velocity Change
Abstract
1. Introduction
1.1. Wake-Vortex Generation Model
1.2. Wake-Vortex Dissipation Model
1.3. Wake-Vortex Velocity Model
1.4. Following-Aircraft Response Model
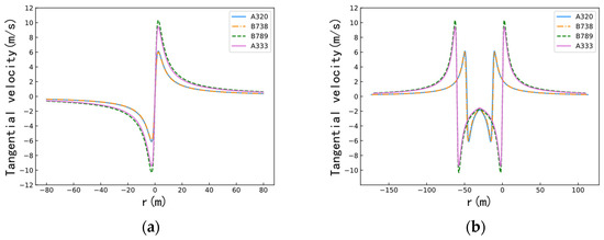
2. Result
2.1. Wake-Vortex Generation and Dissipation at Different Velocities
2.2. Wake-Vortex Encounter at Different Velocities
2.3. Dynamic Wake-Separation Reduction Simulation
3. Conclusions
Author Contributions
Funding
Institutional Review Board Statement
Informed Consent Statement
Data Availability Statement
Conflicts of Interest
References
- Wang, Y.B. Research on Dynamic Reduction of Wake Separation of Take-off Aircraft in Closed Spaced Staggered Parallel Runway. Master’s Thesis, Nanjing University of Aeronautics and Astronautics, Nanjing, China, 2020. [Google Scholar]
- Crow, S.C. Stability theory for a pair of trailing vortices. AIAA J. 2003, 41, 293–300. [Google Scholar]
- Greene, G.C. An approximate model of vortex decay in the atmosphere. J. Aircr. 1986, 23, 566–573. [Google Scholar] [CrossRef]
- Holzäpfel, F. Probabilistic two-phase wake vortex decay and transport model. J. Aircr. 2003, 40, 323–331. [Google Scholar] [CrossRef]
- Speijker, L.J.P.; Vidal, A.; Barbaresco, F.; Gerz, T.; Barny, H.; Winckelmans, G. ATC-Wake-Integrated Wake Vortex Safety and Capacity System. J. Air Traffic Control 2006, 49. [Google Scholar]
- Campos, L.; Marques, J.M.G. On an analytical model of wake vortex separation of aircraft. Aeronaut. J. 2016, 120, 1534–1565. [Google Scholar] [CrossRef]
- Van Baren, G.; Treve, V.; Rooseleer, F.; Van der Geest, P.; Heesbeen, B. Assessing the severity of wake encounters in various aircraft types in piloted flight simulations. In Proceedings of the AIAA Modeling and Simulation Technologies Conference, Grapevine, TX, USA, 9–13 January 2017; Volume 1084. [Google Scholar]
- Holzäpfel, F.; Gerz, T.; Frech, M.; Tafferner, A.; Köpp, F.; Smalikho, I.; Rahm, S.; Hahn, K.-U.; Schwarz, C. The wake vortex prediction and monitoring system WSVBS Part I: Design. Air Traffic Control Q. 2009, 17, 301–322. [Google Scholar] [CrossRef]
- Gerz, T.; Holzäpfel, F.; Gerling, W.; Scharnweber, A.; Frech, M.; Kolber, K.; Dengler, K.; Rahm, S. The wake vortex prediction and monitoring system WSVBS Part II: Performance and ATC integration at Frankfurt airport. Air Traffic Control Q. 2009, 17, 323–346. [Google Scholar] [CrossRef]
- Holzäpfel, F.; Schwarz, C.; Dengler, K.; Gerz, T. Prediction of dynamic pairwise wake vortex separations for approach and landing. In Proceedings of the 3rd AIAA Atmospheric Space Environments Conference, Honolulu, HI, USA, 27–30 June 2011; Volume 3037. [Google Scholar]
- Robins, R.E.; Delisi, D.P.; Hinton, D. NWRA AVOSS Wake Vortex Prediction Algorithm; NASA: Bellevue, WC, USA, 2002.
- Wei, Z.; Qu, Q.; Liu, W.; Xu, X. Review on the artificial calculating methods for aircraft wake vortex flow field parameters. Acta Aerodyn. Sin. 2019, 37, 33–42. [Google Scholar]
- Wei, Z.Q.; Li, Z.Y.; Liu, W. Research on aircraft wake vortex strength dissipation and vortex motion under crosswind impact. J. Air Force Eng. Univ. (Nat. Sci. Ed. ) 2017, 18, 27–33. [Google Scholar]
- Zhang, J.D.; Zuo, Q.H.; Lin, M.D.; Huang, W.X.; Pan, W.J.; Cui, G.X. Evolution of vortices in the wake of an ARJ21 airplane: Application of the lift-drag model. Theor. Appl. Mech. Lett. 2020, 10, 419–428. [Google Scholar] [CrossRef]
- Wang, X.; Pan, W.J.; Wang, H.; Luo, Y.M. Detection and Evolution Analysis of ARJ21 Wake Vortex in the Near-ground Stage. Appl. Laser 2020, 42, 83–90. [Google Scholar]
- Han, H.R.; Li, N.; Wei, Z.Q. Safety analysis of aircraft encountering wake vortex. J. Traffic Transp. Eng. 2012, 12, 45–49. [Google Scholar]
- Pan, W.J.; Wang, H.; Luo, Y.M.; Han, S. Research on Wake Encounter Response of ARJ21 Aircraft. J. Saf. Environ. 2022, 1–11. [Google Scholar]
- Zhao, N.N.; Cheng, Y.; Li, X.C. Safety assessment method of the aircraft wake vortex re-categorizing standard. J. Saf. Environ. 2020, 20, 1277–1283. [Google Scholar]
- Frehlich, R.; Sharman, R. Maximum likelihood estimates of vortex parameters from simulated coherent Doppler lidar data. J. Atmos. Ocean. Technol. 2005, 22, 117–130. [Google Scholar] [CrossRef]
- Liu, P.Q. Aerodynamics, 1st ed.; Science Press: Beijing, China, 2021; pp. 1–608. [Google Scholar]
- Anderson, J.D.; Yang, Y.; Song, W.P. Fundamentals of Aerodynamics; Bilingual Teaching Version; McGraw-Hill Education: New York, NY, USA, 2014. [Google Scholar]
- Pan, W.J.; Luo, Y.M.; Han, S.; Wang, H. Research on the response and safety of ARJ21 aircraft encounters wake vortex of different front aircraft. Flight Dyn. 2022, 40, 13–18+25. [Google Scholar]









| Aircraft Type | Wing Span (m) | Final Approach Velocity (m/s) | Maximum Landing Weight (kg) | Wing Area (m2) | Wake Vortex Classification | 
|---|---|---|---|---|---|
| A320 | 34.10 | 71.94 | 64,500 | 122.6 | C | 
| B738 | 34.31 | 71.94 | 65,310 | 125.0 | C | 
| A333 | 60.30 | 71.94 | 242,000 | 361.6 | B | 
| B789 | 60.10 | 71.94 | 193,000 | 325.0 | B | 
| Aircraft Type | Initial Circulation at Different Flight Velocities (m2/s) | ||||||||||
|---|---|---|---|---|---|---|---|---|---|---|---|
| 155.51 kts | 157.45 kts | 159.40 kts | 161.34 kts | 163.28 kts | 165.23 kts | 167.17 kts | 169.11 kts | 171.06 kts | 173.00 kts | 174.95 kts | |
| A320 | 167.93 | 170.12 | 172.31 | 174.50 | 176.69 | 178.89 | 181.10 | 183.31 | 185.51 | 187.72 | 189.94 | 
| B738 | 169.98 | 172.20 | 174.41 | 176.63 | 178.85 | 181.10 | 183.31 | 185.54 | 187.77 | 190.01 | 192.26 | 
| A333 | 282.58 | 286.26 | 289.94 | 293.63 | 297.33 | 301.03 | 304.73 | 308.45 | 312.17 | 315.89 | 319.63 | 
| B789 | 258.37 | 261.74 | 265.11 | 268.48 | 271.86 | 275.25 | 278.64 | 282.04 | 285.44 | 288.85 | 292.27 | 
| Aircraft Type | Turbulent Dissipation Rate at Different Flight Velocities (m2/s3) | ||||||||||
|---|---|---|---|---|---|---|---|---|---|---|---|
| 155.51 kts | 157.45 kts | 159.40 kts | 161.34 kts | 163.28 kts | 165.23 kts | 167.17 kts | 169.11 kts | 171.06 kts | 173.00 kts | 174.95 kts | |
| A320 | 0.768 | 0.793 | 0.819 | 0.846 | 0.873 | 0.900 | 0.928 | 0.957 | 0.986 | 1.016 | 1.046 | 
| B738 | 0.754 | 0.779 | 0.804 | 0.830 | 0.857 | 0.884 | 0.912 | 0.940 | 0.968 | 0.997 | 1.027 | 
| A333 | 0.380 | 0.393 | 0.405 | 0.419 | 0.432 | 0.446 | 0.459 | 0.474 | 0.488 | 0.503 | 0.518 | 
| B789 | 0.438 | 0.453 | 0.467 | 0.482 | 0.498 | 0.513 | 0.530 | 0.546 | 0.563 | 0.574 | 0.597 | 
| Aircraft Type | Vortex Dissipation Rate at Different Flight Velocities (m1/3/s2/3) | ||||||||||
|---|---|---|---|---|---|---|---|---|---|---|---|
| 155.51 kts | 157.45 kts | 159.40 kts | 161.34 kts | 163.28 kts | 165.23 kts | 167.17 kts | 169.11 kts | 171.06 kts | 173.00 kts | 174.95 kts | |
| A320 | 2.745 | 2.740 | 2.734 | 2.728 | 2.723 | 2.717 | 2.712 | 2.707 | 2.701 | 2.696 | 2.691 | 
| B738 | 2.718 | 2.712 | 2.707 | 2.701 | 2.696 | 2.690 | 2.685 | 2.680 | 2.674 | 2.670 | 2.664 | 
| A333 | 2.759 | 2.754 | 2.748 | 2.743 | 2.737 | 2.731 | 2.726 | 2.721 | 2.715 | 2.710 | 2.704 | 
| B789 | 3.150 | 3.144 | 3.128 | 3.121 | 3.125 | 3.118 | 3.112 | 3.106 | 3.100 | 3.094 | 3.087 | 
| Aircraft Type | Duration of Near Vortex Stage at Different Flight Velocities (s) | ||||||||||
|---|---|---|---|---|---|---|---|---|---|---|---|
| 155.51 kts | 157.45 kts | 159.40 kts | 161.34 kts | 163.28 kts | 165.23 kts | 167.17 kts | 169.11 kts | 171.06 kts | 173.00 kts | 174.95 kts | |
| A320 | 10.12 | 10.00 | 9.89 | 9.78 | 9.67 | 9.57 | 9.47 | 9.37 | 9.27 | 9.17 | 9.08 | 
| B738 | 10.19 | 10.08 | 9.97 | 9.86 | 9.75 | 9.64 | 9.54 | 9.44 | 9.34 | 9.24 | 9.15 | 
| A333 | 18.73 | 18.51 | 18.31 | 18.10 | 17.91 | 17.71 | 17.52 | 17.34 | 17.16 | 16.98 | 16.81 | 
| B789 | 18.42 | 18.21 | 18.01 | 17.81 | 17.61 | 17.42 | 17.24 | 17.06 | 16.88 | 16.70 | 16.53 | 
| Dividing Circulation | Rolling Moment Coefficients at Different Flight Velocities | ||||||||||
|---|---|---|---|---|---|---|---|---|---|---|---|
| 136.07 kts | 139.96 kts | 143.84 kts | 147.73 kts | 151.62 kts | 155.51 kts | 159.40 kts | 163.28 kts | 167.17 kts | 171.06 kts | 174.95 kts | |
| 75 | 0.112 | 0.109 | 0.106 | 0.103 | 0.101 | 0.098 | 0.096 | 0.094 | 0.091 | 0.089 | 0.087 | 
| 115 | 0.173 | 0.168 | 0.163 | 0.159 | 0.155 | 0.151 | 0.147 | 0.144 | 0.141 | 0.137 | 0.134 | 
| 125 | 0.188 | 0.182 | 0.177 | 0.173 | 0.168 | 0.164 | 0.160 | 0.156 | 0.153 | 0.149 | 0.146 | 
| CRJ-900 | Maximum Rolling Moment of CRJ-900 Encountering Wake Vortex under TBS (KN·m) | |||||||||||
|---|---|---|---|---|---|---|---|---|---|---|---|---|
| A320 | B738 | A333 | B789 | |||||||||
| 174.95 kts | 155.51 kts | 136.07 kts | 174.95 kts | 155.51 kts | 136.07 kts | 174.95 kts | 155.51 kts | 136.07 kts | 174.95 kts | 155.51 kts | 136.07 kts | |
| 174.95 kts | −5.66 | −8.28 | −12.08 | −5.79 | −8.50 | −12.33 | −54.44 | −66.99 | −81.21 | −41.61 | −56.34 | 71.66 | 
| RMC | 0.0012 | 0.0017 | 0.0025 | 0.0013 | 0.0018 | 0.0026 | 0.0113 | 0.0139 | 0.0168 | 0.0086 | 0.0116 | 0.0148 | 
| Publisher’s Note: MDPI stays neutral with regard to jurisdictional claims in published maps and institutional affiliations. | 
© 2022 by the authors. Licensee MDPI, Basel, Switzerland. This article is an open access article distributed under the terms and conditions of the Creative Commons Attribution (CC BY) license (https://creativecommons.org/licenses/by/4.0/).
Share and Cite
Pan, W.; Yin, Z.; Luo, Y.; Wang, A.; Huang, Y. Dynamic Aircraft Wake Separation Based on Velocity Change. Aerospace 2022, 9, 633. https://doi.org/10.3390/aerospace9110633
Pan W, Yin Z, Luo Y, Wang A, Huang Y. Dynamic Aircraft Wake Separation Based on Velocity Change. Aerospace. 2022; 9(11):633. https://doi.org/10.3390/aerospace9110633
Chicago/Turabian StylePan, Weijun, Zirui Yin, Yuming Luo, Anding Wang, and Yuanjing Huang. 2022. "Dynamic Aircraft Wake Separation Based on Velocity Change" Aerospace 9, no. 11: 633. https://doi.org/10.3390/aerospace9110633
APA StylePan, W., Yin, Z., Luo, Y., Wang, A., & Huang, Y. (2022). Dynamic Aircraft Wake Separation Based on Velocity Change. Aerospace, 9(11), 633. https://doi.org/10.3390/aerospace9110633
 
        

 
       