Adaptive Control System Design and Experiment Study of Gas Flow Regulation System for Variable Flow Ducted Rockets
Abstract
1. Introduction
2. System Modeling and Control Characteristics Analysis
2.1. Control Process Description
2.2. Modeling of Gas Flow Regulation System
2.3. Control Characteristics Analysis
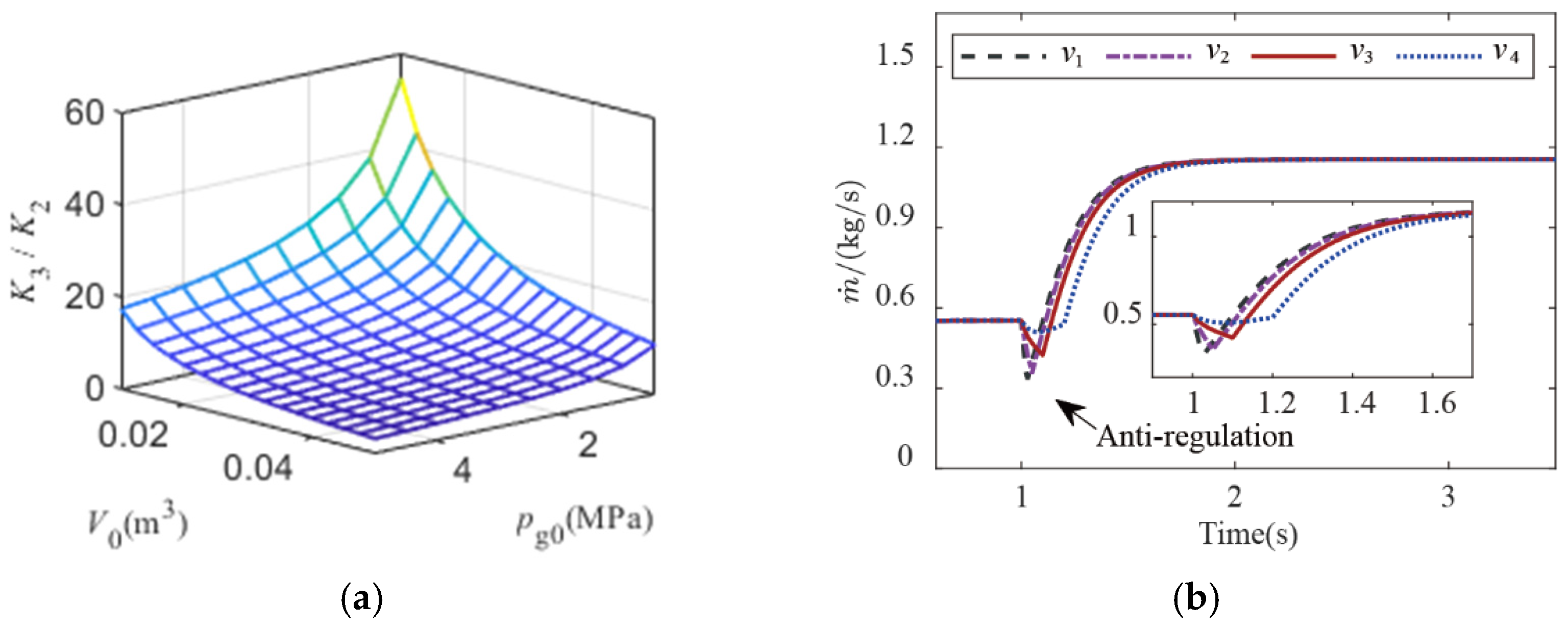
2.3.1. Analysis of Overshoot and Rise Time Characteristics
2.3.2. Analysis of Anti-Regulation
3. Hybrid Adaptive Control Strategy
3.1. Control Performance Requirements and Proposed Control Framework
3.2. ANFIS-PI Controller
3.2.1. Adaptive Neuro-Fuzzy Inference System
3.2.2. System Sample Data and Training Results
3.3. Second-Order Fuzzy Adaptive Tracking Differentiator
3.3.1. The Traditional Tracking Differentiator
3.3.2. Design of Adaptive Tracking Differentiator
4. Experimental System and Verification
4.1. HIL System of Ducted Rocket
4.2. Verification
4.2.1. Adaptability Verification
4.2.2. Robustness Verification
4.2.3. Anti-Regulation Suppression Verification
4.3. Discussion
5. Conclusions
Author Contributions
Funding
Institutional Review Board Statement
Informed Consent Statement
Data Availability Statement
Conflicts of Interest
References
- Waltrup, P.; White, M.; Zarlingo, F.; Gravlin, E. History of US Navy ramjet, scramjet, and mixed-cycle propulsion development. J. Propuls. Power 2002, 18, 14–27. [Google Scholar] [CrossRef]
- Hewitt, P. Status of ramjet programs in the United States. In Proceedings of the 44th AIAA/ASME/SAE/ASEE Joint Propulsion Conference & Exhibit, Hartford, CT, USA, 21–23 July 2008; p. 5265. [Google Scholar]
- Davenas, A. History of the development of solid rocket propellant in France. J. Propuls. Power 1995, 11, 285–291. [Google Scholar] [CrossRef]
- Wilson, R.; Limage, C.; Hewitt, P. The evolution of ramjet missile propulsion in the US and where we are headed. In Proceedings of the 32nd Joint Propulsion Conference and Exhibit, Lake Buena Vista, FL, USA, 1–3 July 1996; p. 3148. [Google Scholar]
- Fry, R.S. A century of ramjet propulsion technology evolution. J. Propuls. Power 2004, 20, 27–58. [Google Scholar] [CrossRef]
- Bauer, C.; Davenne, F.; Hopfe, N.; Kurth, G. Modelling of a throttleable ducted rocket propulsion system. In Proceedings of the 47th AIAA/ASME/SAE/ASEE Joint Propulsion Conference & Exhibit, San Diego, CA, USA, 31 July–3 August 2011; p. 5610. [Google Scholar]
- Pinto, P.; Kurth, G. Robust propulsion control in all flight stages of a throtteable ducted rocket. In Proceedings of the 47th AIAA/ASME/SAE/ASEE Joint Propulsion Conference & Exhibit, San Diego, CA, USA, 31 July–3 August 2011; p. 5611. [Google Scholar]
- Alan, A.; Yildiz, Y.; Poyraz, U. Adaptive pressure control experiment: Controller design and implementation. In Proceedings of the 2017 IEEE Conference on Control Technology and Applications (CCTA), Maui, HI, USA, 27–30 August 2017; pp. 80–85. [Google Scholar]
- Alan, A.; Yildiz, Y.; Poyraz, U. High-Performance Adaptive Pressure Control in the Presence of Time Delays Pressure Control for Use in Variable-Thrust Rocket Development. IEEE Control Syst. Mag. 2018, 38, 26–52. [Google Scholar] [CrossRef]
- Zhou, J.; Chen, X.; Chai, J.; Zhou, C. Researching on pressure adaptive control method for variable flow gas generator. Comput. Simul. 2020, 37, 113–118. [Google Scholar]
- Niu, W.; Bao, W.; Chang, J.; Cui, T.; Yu, D. Control system design and experiment of needle-type gas regulating system for ducted rocket. Proc. Inst. Mech. Eng. Part G J. Aerosp. Eng. 2010, 224, 563–573. [Google Scholar] [CrossRef]
- Wang, A.; Zeng, Q.; Ma, L.; Wang, H. Virtual Free-Volume Revised Method and Adaptive Control for Solid Ducted Rockets. J. Aerosp. Eng. 2021, 34, 04021053. [Google Scholar] [CrossRef]
- Chang, J.; Li, B.; Bao, W.; Niu, W.; Yu, D. Thrust control system design of ducted rockets. Acta Astronaut. 2011, 69, 86–95. [Google Scholar] [CrossRef]
- Shi, X.; Chang, J.; Bao, W.; Yu, D.; Li, B. Supersonic inlet buzz margin control of ducted rockets. Proc. Inst. Mech. Eng. Part G J. Aerosp. Eng. 2010, 224, 1131–1139. [Google Scholar] [CrossRef]
- Bao, W.; Li, B.; Chang, J.; Niu, W.; Yu, D. Switching control of thrust regulation and inlet buzz protection for ducted rocket. Acta Astronaut. 2010, 67, 764–773. [Google Scholar] [CrossRef]
- Qi, Y.; Bao, W.; Zhang, Q.; Cao, R. Command switching based multiobjective safety protection control for inlet buzz of scramjet engine. J. Frankl. Inst. 2015, 352, 5191–5213. [Google Scholar] [CrossRef]
- Wilkerson, F.; Lucas, J. Variable flow solid propellant gas generator for missile control systems. In Proceedings of the 17th Joint Propulsion Conference, Colorado Springs, CO, USA, 27–29 July 1981; p. 1464. [Google Scholar]
- Lau, K.; Middleton, R.H.; Braslavsky, J.H. Undershoot and settling time tradeoffs for nonminimum phase systems. IEEE Trans. Autom. Control 2003, 48, 1389–1393. [Google Scholar] [CrossRef]
- Qiu, L.; Davison, E.J. Performance limitations of non-minimum phase systems in the servomechanism problem. Automatica 1993, 29, 337–349. [Google Scholar] [CrossRef]
- Chai, J.; Chen, X.; He, K.; Zhou, J. Research on tracking differentiator for variable flow gas generator. J. Propuls. Technol. 2019, 40, 1153–1161. [Google Scholar]
- Zhao, Z.; Chen, X.; Zhou, C.; Li, H. Research on optimum feedforward control of gas flow regulation of solid rocket ramjet. J. Proj. Rocket. Missiles Guid. 2014, 34, 109–112. [Google Scholar]
- Chang, J.T.; Li, N.; Xu, K.J.; Bao, W.; Yu, D.R. Recent research progress on unstart mechanism, detection and control of hypersonic inlet. Prog. Aerosp. Sci. 2017, 89, 1–22. [Google Scholar] [CrossRef]
- Walia, N.; Singh, H.; Sharma, A. ANFIS: Adaptive neuro-fuzzy inference system-a survey. Int. J. Comput. Appl. 2015, 123, 32–38. [Google Scholar] [CrossRef]
- Güler, I.; Übeyli, E.D. Adaptive neuro-fuzzy inference system for classification of EEG signals using wavelet coefficients. J. Neurosci. Methods 2005, 148, 113–121. [Google Scholar] [CrossRef]
- Xie, S.; Xie, Y.; Li, F.; Jiang, Z.; Gui, W. Hybrid fuzzy control for the goethite process in zinc production plant combining type-1 and type-2 fuzzy logics. Neurocomputing 2019, 366, 170–177. [Google Scholar] [CrossRef]
- Premkumar, K.; Manikandan, B. Fuzzy PID supervised online ANFIS based speed controller for brushless dc motor. Neurocomputing 2015, 157, 76–90. [Google Scholar] [CrossRef]
- Jin, H.; Song, J.; Lan, W.; Gao, Z. On the characteristics of ADRC: A PID interpretation. Sci. China Inf. Sci. 2020, 63, 209201. [Google Scholar] [CrossRef]
- Deng, B.; Xu, J. Trajectory Tracking Based on Active Disturbance Rejection Control for Compound Unmanned Aircraft. Aerospace 2022, 9, 313. [Google Scholar] [CrossRef]


















| Components | HIL Simulation | Real Rocket Ground Test |
|---|---|---|
| Motor | coincident | |
| Controller | coincident | |
| Sensor | real hardware | equivalent sensor |
| Flow regulator | real hardware | model + hardware |
| Working load | gas flow impact | load simulation |
| Ducted rocket | real hardware | revised model |
| Parameter | Time(s) | Range of Gas Flow Command(kg/s) | Range of Pressure Command(MPa) | Free Volume(m3) | Motor-Load |
|---|---|---|---|---|---|
| Case | |||||
| Case A | 10–15 | 0.95–1.10 | 2.42–3.24 | V = 0.021 | 40 |
| Case B | 20–25 | 1.10–1.25 | 3.24–4.18 | V = 0.029 | 40 |
| Case C | 30–35 | 1.25–0.90 | 4.18–2.14 | V = 0.036 | 40 |
| Controller | Case | Control Performance Parameter | ||||||
|---|---|---|---|---|---|---|---|---|
| Rise Time (s) | Peak Overshoot (%) | Peak Undershoot (kg/s) | Peak Under Shoot (%) | Settling Time (s) | Steady State Error (%) | MRE (%) | ||
| AW-PID | A | 2.39 | 0% | 0.048 | 32.01% | 6.50 | <2% | 5.25% |
| B | 1.01 | 0% | 0.095 | 63.45% | 4.28 | |||
| C | 4.71 | 0% | 0.140 | 93.55% | 9.26 | |||
| ANFIS-PI | A | 1.09 | 5.9% | 0.033 | 21.67% | 2.27 | <1% | 2.72% |
| B | 1.36 | 0.8% | 0.043 | 28.67% | 2.23 | |||
| C | 2.19 | 0% | 0.059 | 16.90% | 3.78 | |||
| TD-ANFIS-PI | A | 2.23 | 0% | 0.003 | 2.00% | 3.51 | <1% | 5.54% |
| B | 2.56 | 0% | 0.002 | 1.13% | 3.30 | |||
| C | 3.97 | 0% | 0.028 | 8.00% | 4.63 | |||
| SOA-ANFIS-PI | A | 1.72 | 4.4% | 0.004 | 2.60% | 2.51 | <1% | 4.62% |
| B | 1.94 | 0.6% | 0.004 | 2.48% | 2.56 | |||
| C | 3.17 | 0% | 0.033 | 9.40% | 3.96 | |||
| Case | Ab | Cr | R·T | Case | Ab | Cr | R·T |
|---|---|---|---|---|---|---|---|
| Case 0 | 0% | 0% | 0% | Case 5 | 0% | −10% | 0% |
| Case 1 | −5% | −10% | −20% | Case 6 | −5% | 10% | 0% |
| Case 2 | 0% | 0% | −20% | Case 7 | −5% | 0% | 20% |
| Case 3 | 5% | 10% | −20% | Case 8 | 0% | −10% | 20% |
| Case 4 | 5% | 0% | 0% | Case 9 | 5% | −10% | 20% |
| Controller | Control Performance | ||||||
|---|---|---|---|---|---|---|---|
| Robustness | MRE | Tracking Ability | Steady Error | Response Time | Settling Time | Improved Anti-Regulation | |
| AW-PID | √ | × | × | × | × | × | × |
| ANFIS-PI | √ | √ | √ | √ | √ | √ | × |
| TD-ANFIS PI | √ | √ | √ | √ | × | × | √ |
| SOA-ANFIS-PI | √ | √ | √ | √ | √ | √ | √ |
Publisher’s Note: MDPI stays neutral with regard to jurisdictional claims in published maps and institutional affiliations. |
© 2022 by the authors. Licensee MDPI, Basel, Switzerland. This article is an open access article distributed under the terms and conditions of the Creative Commons Attribution (CC BY) license (https://creativecommons.org/licenses/by/4.0/).
Share and Cite
Zhang, Z.; Zeng, Q.; Zou, Y.; Wang, H.; Tang, M. Adaptive Control System Design and Experiment Study of Gas Flow Regulation System for Variable Flow Ducted Rockets. Aerospace 2022, 9, 595. https://doi.org/10.3390/aerospace9100595
Zhang Z, Zeng Q, Zou Y, Wang H, Tang M. Adaptive Control System Design and Experiment Study of Gas Flow Regulation System for Variable Flow Ducted Rockets. Aerospace. 2022; 9(10):595. https://doi.org/10.3390/aerospace9100595
Chicago/Turabian StyleZhang, Zongyu, Qinghua Zeng, Yijun Zou, Hongfu Wang, and Meng Tang. 2022. "Adaptive Control System Design and Experiment Study of Gas Flow Regulation System for Variable Flow Ducted Rockets" Aerospace 9, no. 10: 595. https://doi.org/10.3390/aerospace9100595
APA StyleZhang, Z., Zeng, Q., Zou, Y., Wang, H., & Tang, M. (2022). Adaptive Control System Design and Experiment Study of Gas Flow Regulation System for Variable Flow Ducted Rockets. Aerospace, 9(10), 595. https://doi.org/10.3390/aerospace9100595
