Closed-Form Analysis of Thin-Walled Composite Beams Using Mixed Variational Approach
Abstract
1. Introduction
2. Theory
2.1. Strain-Displacement Relations
2.2. Laminate Constitutive Relations
2.3. Governing Equations
2.4. Recovery Relations
3. Numerical Examples
3.1. Anisotropic Rectangular Strip Beam
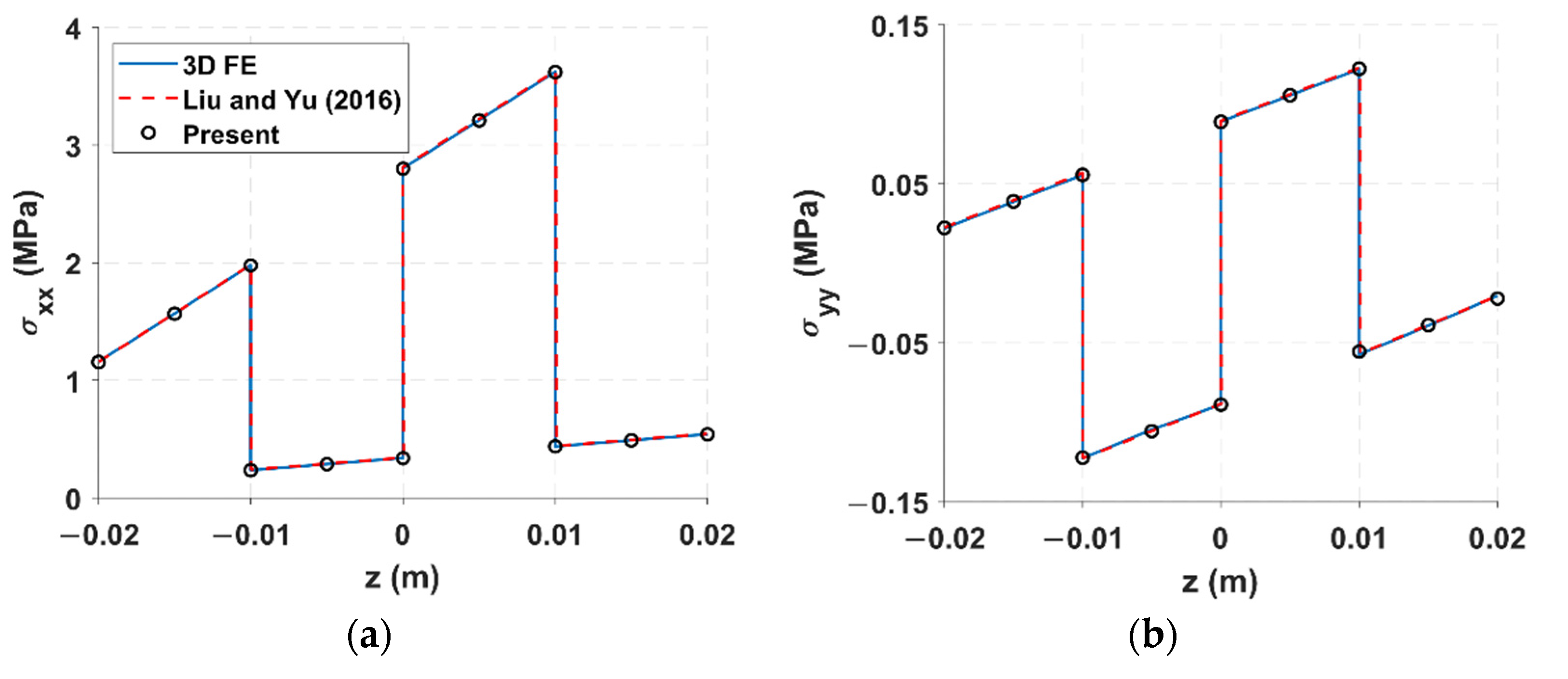
3.2. Four-Layered Laminated Composite Beam
3.3. Single-Cell Composite Box Beam with CAS Layup
4. Concluding Remarks
Author Contributions
Funding
Institutional Review Board Statement
Data Availability Statement
Acknowledgments
Conflicts of Interest
Nomenclature
| Radius of curvature for the shell wall | |
| Normal force acting on the cross-section along x axis | |
| Fy, Fz | Transverse shear forces acting on the cross-section |
| Shear correction coefficient | |
| Beam torsional moment | |
| Mxx, Mss, Mxs | Shell moment resultants |
| My, Mz | Beam bending moments about y, z axes |
| Beam torsional bi-moment | |
| Nxx, Nss, Nxs | Shell force resultants |
| Nxn, Nsn | Transverse shear resultants for the shell |
| ux, us, un | Shell displacements |
| U, V, W | Beam displacements |
| Shell membrane strain measures in x, s coordinates | |
| Cross-sectional rotations of the beam | |
| Shell curvature measures in x, s coordinates | |
| Transverse shear strain measures over the shell wall | |
| Sectional warping functions in x, y, z coordinates | |
| Torsion-related out-of-plane warping function | |
| Shell rotation angles about x, s axes | |
| Transpose of an array | |
| Partial differentiation with s coordinate | |
| Partial differentiation with x coordinate |
Appendix A
References
- Hodges, D.H. Review of composite rotor blade modeling. AIAA J. 1990, 28, 561–565. [Google Scholar] [CrossRef]
- Jung, S.N.; Nagaraj, V.T.; Chopra, I. Assessment of composite rotor blade modeling techniques. J. Am. Helicopter Soc. 1999, 44, 188–205. [Google Scholar] [CrossRef]
- Hodges, D.H. Nonlinear Composite Beam Theory; American Institute of Aeronautics and Astronautics: Reston, VA, USA, 2006. [Google Scholar]
- Berdichevskii, V.L. On the energy of an elastic rod. J. Appl. Math. Mech. 1982, 45, 518–529. [Google Scholar] [CrossRef]
- Giavotto, V.; Borri, M.; Mantegazza, P.; Ghiringhelli, G.; Carmaschi, V.; Maffioli, G.; Mussi, F. Anisotropic beam theory and applications. Comput. Struct. 1983, 16, 403–413. [Google Scholar] [CrossRef]
- Morandini, M.; Chierichetti, M.; Mantegazza, P. Characteristic behavior of prismatic anisotropic beam via generalized eigenvectors. Int. J. Solids Struct. 2010, 47, 1327–1337. [Google Scholar] [CrossRef]
- Yu, W.; Hodges, D.H.; Ho, J.C. Variational asymptotic beam sectional analysis—An updated version. Int. J. Eng. Sci. 2012, 59, 40–64. [Google Scholar] [CrossRef]
- Han, S.; Bauchau, O.A. Nonlinear three-dimensional beam theory for flexible multibody dynamics. Multibody Syst. Dyn. 2015, 34, 211–242. [Google Scholar] [CrossRef]
- Dhadwal, M.K.; Jung, S.N. Multifield variational sectional analysis for accurate stress computation of multilayered composite beams. AIAA J. 2019, 57, 1702–1714. [Google Scholar] [CrossRef]
- Carrera, E.; Giunta, G. Refined beam theories based on a unified formulation. Int. J. Appl. Mech. 2010, 2, 117–143. [Google Scholar] [CrossRef]
- Carrera, E.; de Miguel, A.; Pagani, A. Hierarchical theories of structures based on Legendre polynomial expansions with finite element applications. Int. J. Mech. Sci. 2017, 120, 286–300. [Google Scholar] [CrossRef]
- Heyliger, P.R. Elasticity alternatives to generalized Vlasov and Timoshenko models for composite beams. Compos. Struct. 2016, 145, 80–88. [Google Scholar] [CrossRef]
- Yu, W.; Hodges, D.H. Elasticity solutions versus asymptotic sectional analysis of homogeneous, isotropic, prismatic beams. J. Appl. Mech. 2004, 71, 15–23. [Google Scholar] [CrossRef]
- Ho, J.C. Shear Stiffness of Homogeneous, Orthotropic, Prismatic Beams. AIAA J. 2017, 55, 4357–4363. [Google Scholar] [CrossRef]
- Smith, E.C.; Chopra, I. Formulation and evaluation of an analytical model for composite box beams. J. Am. Helicopter Soc. 1991, 36, 23–35. [Google Scholar] [CrossRef]
- Jung, S.N.; Nagaraj, V.T.; Chopra, I. Refined structural model for thin- and thick-walled composite rotor blades. AIAA J. 2002, 40, 105–116. [Google Scholar] [CrossRef]
- Librescu, L.; Song, O. Thin-Walled Composite Beams: Theory and Application; Springer: Berlin/Heidelberg, Germany, 2006. [Google Scholar]
- Zhang, C.; Wang, S. Structural mechanical modeling of thin-walled closed-section composite beams, Part 1: Single-cell cross section. Compos. Struct. 2014, 113, 12–22. [Google Scholar] [CrossRef]
- Vo, T.P.; Lee, J. Flexural–torsional behavior of thin-walled closed-section composite box beams. Eng. Struct. 2007, 29, 1774–1782. [Google Scholar] [CrossRef][Green Version]
- Vieira, R.; Virtuoso, F.; Pereira, E. A higher order model for thin-walled structures with deformable cross-sections. Int. J. Solids Struct. 2014, 51, 575–598. [Google Scholar] [CrossRef]
- Han, S.; Bauchau, O.A. On the analysis of thin-walled beams based on Hamiltonian formalism. Comput. Struct. 2016, 170, 37–48. [Google Scholar] [CrossRef]
- Deo, A.; Yu, W. Thin-walled composite beam cross-sectional analysis using the mechanics of structure genome. Thin-Walled Struct. 2020, 152, 106663. [Google Scholar] [CrossRef]
- Volovoi, V.V.; Hodges, D.H. Theory of anisotropic thin-walled beams. J. Appl. Mech. 2000, 67, 453–459. [Google Scholar] [CrossRef]
- Yu, W.; Hodges, D.H. Best Strip-Beam Properties Derivable from Classical Lamination Theory. AIAA J. 2008, 46, 1719–1724. [Google Scholar] [CrossRef]
- Harursampath, D.; Harish, A.B.; Hodges, D.H. Model reduction in thin-walled open-section composite beams using variational asymptotic method. Part I: Theory. Thin-Walled Struct. 2017, 117, 356–366. [Google Scholar] [CrossRef]
- Reissner, E.; Tsai, W.T. Pure bending, stretching, and twisting of anisotropic cylindrical shells. J. Appl. Mech. 1972, 39, 148–154. [Google Scholar] [CrossRef]
- Tsai, W. On the problem of flexure of anisotropic cylindrical shells. Int. J. Solids Struct. 1973, 9, 1155–1175. [Google Scholar] [CrossRef]
- Reissner, E. On mixed variational formulations in finite elasticity. Acta Mech. 1985, 56, 117–125. [Google Scholar] [CrossRef]
- Murakami, H.; Reissner, E.; Yamakawa, J. Anisotropic beam theory with shear deformation. J. Appl. Mech. 1996, 63, 660–668. [Google Scholar] [CrossRef]
- Kraus, H. Thin Elastic Shells; Wiley: New York, NY, USA, 1967. [Google Scholar]
- Jones, R.M. Mechanics of Composite Materials, 2nd ed.; Taylor and Francis: Boca Raton, FL, USA, 1999. [Google Scholar]
- Jung, S.N.; Lee, J.Y. Closed-form analysis of thin-walled composite I-beams considering non-classical effects. Compos. Struct. 2003, 60, 9–17. [Google Scholar] [CrossRef]
- Liu, X.; Yu, W. A novel approach to analyze beam-like composite structures using mechanics of structure genome. Adv. Eng. Softw. 2016, 100, 238–251. [Google Scholar] [CrossRef]
- Popsecu, B.; Hodges, D.H. On asymptotically correct Timoshenko-like anisotropic beam theory. Int. J. Solids Struct. 2000, 37, 535–558. [Google Scholar] [CrossRef]
- Krenk, S.; Couturier, P.J. Equilibrium-based nonhomogeneous anisotropic beam element. AIAA J. 2017, 55, 2773–2782. [Google Scholar] [CrossRef]
- Dhadwal, M.K.; Jung, S.N. Generalized multifield variational formulation with interlaminar stress continuity for multilayered anisotropic beams. Compos. B Eng. 2019, 168, 476–487. [Google Scholar] [CrossRef]






| Stiffness | NABSA [34] | Krenk et al. (2017) [35] (%) 1 | Dhadwal et al. (2019) [36] (%) 1 | Present (%) 1 |
|---|---|---|---|---|
| K11 (N) | 6.0938 × 106 | 6.1100 × 106 (0.27) | 6.1200 × 106 (0.43) | 6.1124 × 106 (0.31) |
| K12 (N) | 8.1843 × 105 | 8.1900 × 105 (0.07) | 8.1600 × 105 (−0.30) | 8.1413 × 105 (−0.53) |
| K22 (N) | 3.9320 × 105 | 3.9400 × 105 (0.20) | 3.9500 × 105 (0.46) | 3.8774 × 105 (−1.39) |
| K33 (N) | 1.7570 × 105 | 1.7600 × 105 (0.17) | 1.7700 × 105 (0.74) | 1.7247 × 105 (−1.83) |
| K44 (N-m2) | 4.9645 × 101 | 4.9800 × 101 (0.31) | 5.0000 × 101 (0.71) | 4.9093 × 101 (−1.11) |
| K45 (N-m2) | −5.1654 × 101 | −5.1800 × 101 (0.28) | −5.1500 × 101 (−0.30) | −5.1503 × 101 (−0.29) |
| K55 (N-m2) | 1.7448 × 102 | 1.7500 × 102 (0.30) | 1.7500 × 102 (0.30) | 1.7439 × 102 (−0.05) |
| K66 (N-m2) | 4.1036 × 102 | 4.1000 × 102 (−0.09) | 4.1200 × 102 (0.40) | 4.0844 × 102 (−0.47) |
Publisher’s Note: MDPI stays neutral with regard to jurisdictional claims in published maps and institutional affiliations. |
© 2022 by the authors. Licensee MDPI, Basel, Switzerland. This article is an open access article distributed under the terms and conditions of the Creative Commons Attribution (CC BY) license (https://creativecommons.org/licenses/by/4.0/).
Share and Cite
Bae, J.S.; Jung, S.N. Closed-Form Analysis of Thin-Walled Composite Beams Using Mixed Variational Approach. Aerospace 2022, 9, 576. https://doi.org/10.3390/aerospace9100576
Bae JS, Jung SN. Closed-Form Analysis of Thin-Walled Composite Beams Using Mixed Variational Approach. Aerospace. 2022; 9(10):576. https://doi.org/10.3390/aerospace9100576
Chicago/Turabian StyleBae, Jae Seong, and Sung Nam Jung. 2022. "Closed-Form Analysis of Thin-Walled Composite Beams Using Mixed Variational Approach" Aerospace 9, no. 10: 576. https://doi.org/10.3390/aerospace9100576
APA StyleBae, J. S., & Jung, S. N. (2022). Closed-Form Analysis of Thin-Walled Composite Beams Using Mixed Variational Approach. Aerospace, 9(10), 576. https://doi.org/10.3390/aerospace9100576
