A Study on the Scale Effect According to the Reynolds Number in Propeller Flow Analysis and a Model Experiment
Abstract
:1. Introduction
2. Materials and Methods
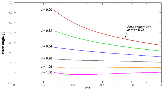
2.1. Propeller Configuration
2.2. Numerical Method 1: Vortex Lattice Method
2.3. Numerical Method 2: RANS Simulation
2.4. Experimental Setup
3. Results and Discussion
3.1. Two-Dimensional Analysis of Reynolds Number Effect
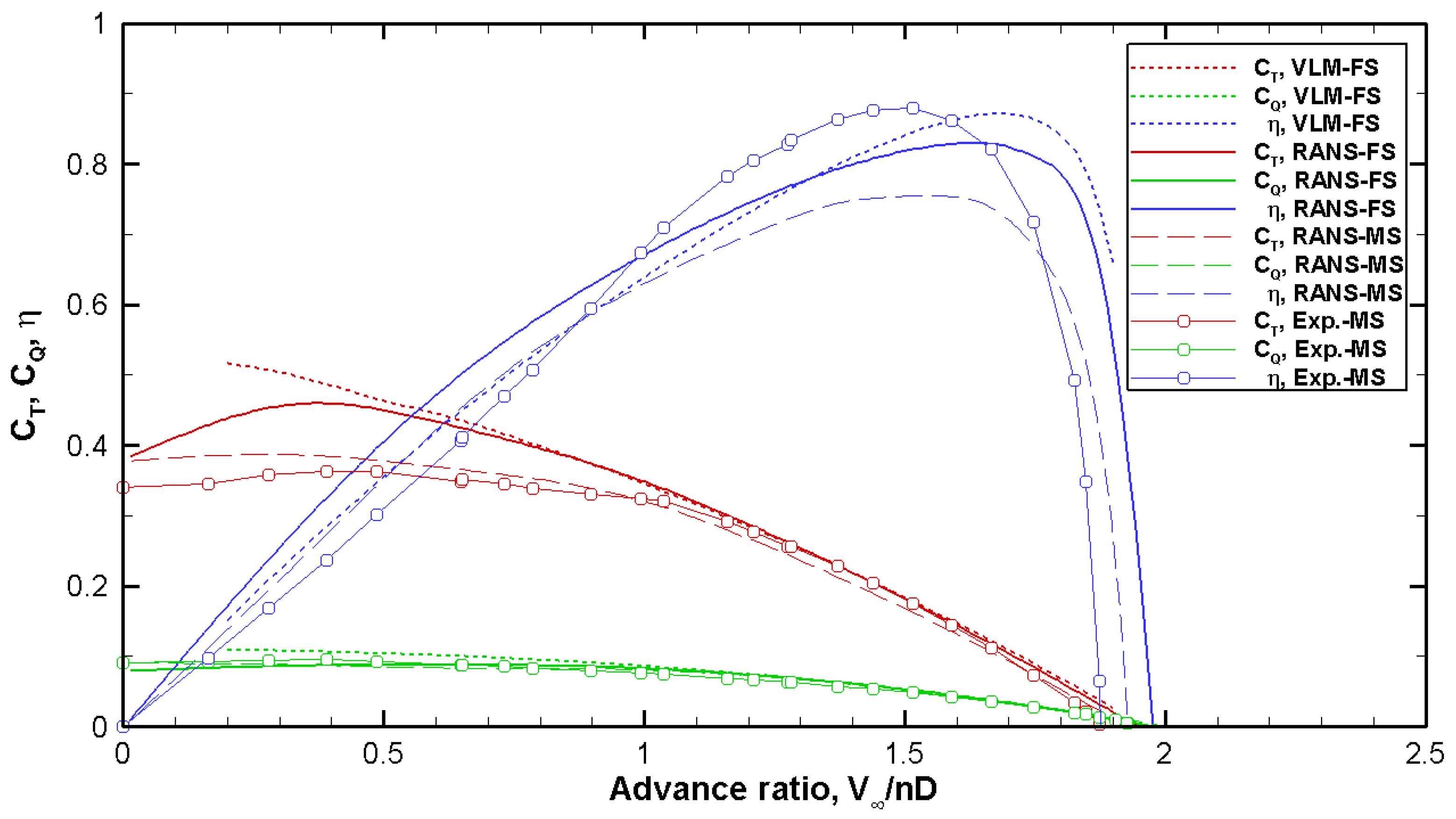
3.2. Aerodynamic Performance of the Propeller
3.3. Comparisons of the Pressure Distribution on the Blade
3.4. Validation Using the VLM and RANS Simulations
4. Conclusions
Author Contributions
Funding
Institutional Review Board Statement
Informed Consent Statement
Data Availability Statement
Conflicts of Interest
Abbreviations
| CFD | Computational fluid dynamics |
| FS | Full scale |
| MRF | Moving reference frame |
| MS | Model scale |
| RANS | Reynolds–Averaged Navier–Stokes |
| Re | Reynolds number |
| rpm | Revolutions per minute |
| VLM | Vortex lattice method |
Nomenclature
| Slope of the linear section of the lift coefficient (-) | |
| Thrust coefficient of propeller (-) | |
| The torque coefficient of propeller (-) | |
| Drag (N) | |
| FQ | Force by torque (N) |
| η | The efficiency of propeller (-) |
| J | Advance ratio, (-) |
| L | Lift (N) |
| The rotational velocity (rad/s) | |
| R | Propeller radius (m) |
| r | Local radius (m) |
| T | Thrust (N) |
| Freestream velocity (m/s) | |
| y+ | Dimensionless wall distance (-) |
References
- Bauranov, A.; Rakas, J. Designing airspace for urban air mobility: A review of concepts and approaches. Prog. Aerosp. Sci. 2021, 125, 100726. [Google Scholar] [CrossRef]
- Brelje, B.J.; Martins, J.R.R.A. Electric, hybrid, and turboelectric fixed-wing aircraft: A review of concepts, models, and design approaches. Prog. Aerosp. Sci. 2019, 104, 1–19. [Google Scholar] [CrossRef]
- Gohardani, A.S.; Doulgeris, G.; Singh, R. Challenges of future aircraft propulsion: A review of distributed propulsion technology and its potential application for the all electric commercial aircraft. Prog. Aerosp. Sci. 2011, 47, 369–391. [Google Scholar] [CrossRef]
- He, C.; Jia, Y.; Ma, D. Optimization and Analysis of Hybrid Electric System for Distributed Propulsion Tilt-Wing UAV. IEEE Access 2020, 8, 224654–224667. [Google Scholar] [CrossRef]
- Rizzi, S.A.; Huff, D.L.; Boyd, D.D.; Bent, P.; Henderson, B.S.; Pascioni, K.A.; Sargent, D.C.; Josephson, D.L.; Marsan, M.; He, H.B.; et al. Urban Air Mobility Noise: Current Practice, Gaps, and Recommendations; NASA Langley Research Center: Hampton, VA, USA, 2020. [Google Scholar]
- Cole, J.A.; Maughmer, M.D.; Kinzel, M.; Bramesfeld, G. Higher-Order Free-Wake Method for Propeller–Wing Systems. J. Aircr. 2019, 56, 150–165. [Google Scholar] [CrossRef]
- Erhard, R.M.; Clarke, M.A.; Alonso, J.J. A Low-Cost Aero-Propulsive Analysis of Distributed Electric Propulsion Aircraft. In Proceedings of the AIAA Scitech 2021 Forum, Virtual Event, 11–15 and 19–21 January 2021. [Google Scholar]
- Clarke, M.A.; Erhard, R.M.; Smart, J.T.; Alonso, J. Aerodynamic Optimization of Wing-Mounted Propeller Configurations for Distributed Electric Propulsion Architectures. In Proceedings of the AIAA Aviation 2021 Forum, Virtual Event, 2–6 August 2021. [Google Scholar]
- Loureiro, E.V.; Oliveira, N.L.; Hallak, P.H.; Bastos, F.S.; Rocha, L.M.; Delmonte, R.G.P.; Lemonge, A.C.C. Evaluation of low fidelity and CFD methods for the aerodynamic performance of a small propeller. Aerosp. Sci. Technol. 2021, 108, 106402. [Google Scholar] [CrossRef]
- Bergmann, O.; Götten, F.; Braun, C.; Janser, F. Comparison and evaluation of blade element methods against RANS simulations and test data. CEAS Aeronaut. J. 2022, 13, 535–557. [Google Scholar] [CrossRef]
- Stokkermans, T.C.A.; van Arnhem, N.; Sinnige, T.; Veldhuis, L.L.M. Validation and Comparison of RANS Propeller Modeling Methods for Tip-Mounted Applications. AIAA J. 2019, 57, 566–580. [Google Scholar] [CrossRef]
- Aref, P.; Ghoreyshi, M.; Jirasek, A.; Satchell, M.J.; Bergeron, K. Computational Study of Propeller–Wing Aerodynamic Interaction. Aerospace 2018, 5, 79. [Google Scholar] [CrossRef]
- Bauer, M.; Wulff, D.; Friedrichs, J. Bürgernahes flugzeug: Testing technology for the high power propeller of a wind tunnel model. CEAS Aeronaut. J. 2016, 7, 225–239. [Google Scholar] [CrossRef]
- Czyż, Z.; Karpiński, P.; Skiba, K.; Wendeker, M. Wind Tunnel Performance Tests of the Propellers with Different Pitch for the Electric Propulsion System. Sensors 2021, 22, 2. [Google Scholar] [CrossRef]
- Arnhem, N.V.; Vries, R.; Sinnige, T.; Vos, R.; Eitelberg, G.; Veldhuis, L.L. Engineering Method to Estimate the Blade Loading of Propellers in Nonuniform Flow. AIAA J. 2020, 58, 5332–5346. [Google Scholar] [CrossRef]
- Li, Q.; Öztürk, K.; Sinnige, T.; Ragni, D.; Eitelberg, G.; Veldhuis, L.L.; Wang, Y. Design and Experimental Validation of Swirl-Recovery Vanes for Propeller Propulsion Systems. AIAA J. 2018, 56, 4719–4729. [Google Scholar] [CrossRef]
- Arnhem, N.v.; Vos, R.; Veldhuis, L.L. Aerodynamic Loads on an Aft-Mounted Propeller Induced by the Wing Wake. In Proceedings of the AIAA Scitech 2019 Forum, San Diego, CA, USA, 7–11 January 2019. [Google Scholar]
- Zanotti, A.; Algarotti, D. Aerodynamic interaction between tandem overlapping propellers in eVTOL airplane mode flight condition. Aerosp. Sci. Technol. 2022, 124, 107518. [Google Scholar] [CrossRef]
- Lenfers, C.; Janssen, R.F.; Beck, N.; Friedrichs, J.; Rezaeian, A. Experimental Investigation of the Propeller Design for future QUESTOL Aircraft in the BNF Project. In Proceedings of the 52nd Aerospace Sciences Meeting, National Harbor, MD, USA, 13–17 January 2014. [Google Scholar]
- Heinzen, S.B.; Hall, C.E., Jr.; Gopalarathnam, A. Development and Testing of a Passive Variable-Pitch Propeller. J. Aircr. 2015, 52, 748–763. [Google Scholar] [CrossRef]
- McCrink, M.H.; Gregory, J.W. Blade Element Momentum Modeling of Low-Reynolds Electric Propulsion Systems. J. Aircr. 2017, 54, 163–176. [Google Scholar] [CrossRef]
- Ol, M.; Zeune, C.; Logan, M. Analytical/Experimental Comparison for Small Electric Unmanned Air Vehicle Propellers. In Proceedings of the 26th AIAA Applied Aerodynamics Conference, Honolulu, HI, USA, 18–21 August 2008. [Google Scholar]
- García-Gutiérrez, A.; Gonzalo, J.; Domínguez, D.; López, D.; Escapa, A. Aerodynamic optimization of propellers for High Altitude Pseudo-Satellites. Aerosp. Sci. Technol. 2020, 96, 105562. [Google Scholar] [CrossRef]
- Deters, R.W.; Ananda Krishnan, G.K.; Selig, M.S. Reynolds Number Effects on the Performance of Small-Scale Propellers. In Proceedings of the 32nd AIAA Applied Aerodynamics Conference, Atlanta, GA, USA, 6–20 June 2014. [Google Scholar]
- Sun, S.; Wang, C.; Guo, C.; Zhang, Y.; Sun, C.; Liu, P. Numerical study of scale effect on the wake dynamics of a propeller. Ocean. Eng. 2020, 196, 106810. [Google Scholar] [CrossRef]
- Choi, J.-K.; Park, H.-G.; Kim, H.-T. A numerical study of scale effects on performance of a tractor type podded propeller. Int. J. Nav. Archit. Ocean Eng. 2014, 6, 380–391. [Google Scholar] [CrossRef]
- Kim, D.-H.; Chang, J.-W. Low-Reynolds-number effect on the aerodynamic characteristics of a pitching NACA0012 airfoil. Aerosp. Sci. Technol. 2014, 32, 162–168. [Google Scholar] [CrossRef]
- Wang, S.; Zhou, Y.; Alam, M.M.; Yang, H. Turbulent intensity and Reynolds number effects on an airfoil at low Reynolds numbers. Phys. Fluids 2014, 26, 115107. [Google Scholar] [CrossRef]
- Winslow, J.; Otsuka, H.; Govindarajan, B.; Chopra, I. Basic Understanding of Airfoil Characteristics at Low Reynolds Numbers. J. Aircr. 2018, 55, 1050–1061. [Google Scholar] [CrossRef]
- Selig, M.S.; McGranahan, B.D. Wind Tunnel Aerodynamic Tests of Six Airfoils for Use on Small Wind Turbines. ASME J. Sol. Energy Eng. 2004, 126, 986–1001. [Google Scholar] [CrossRef]
- Morgado, J.; Vizinho, R.; Silvestre, M.A.R.; Páscoa, J.C. XFOIL vs. CFD performance predictions for high lift low Reynolds number airfoils. Aerosp. Sci. Technol. 2016, 52, 207–214. [Google Scholar] [CrossRef]
- Kerwin, J.E.; Lee, C.S. Prediction of steady and unsteady marine propeller performance by numerical lifting surface theory. Soc. Nav. Arch. Mar. Eng. Trans. SNAME 1978, 86, 218–256. [Google Scholar]
- Lee, C.-S. Prediction of Steady and Unsteady Performance of Marine Propellers with or without Cavitation by Numerical Lifting Surface Theory. Ph.D. Thesis, M.I.T., Cambridge, MA, USA, 1979. [Google Scholar]
- Drela, M. XFOIL: An Analysis and Design System for Low Reynolds Number Airfoils, Low Reynolds Number Aerodynamics; Springer: Berlin/Heidelberg, Germany, 1989; pp. 1–12. [Google Scholar]
- Abbott, I.H.A.; Doenhoff, A.E. Theory of Wing Sections: Including a Summary of Airfoil Data; McGraw-Hill: New York, NY, USA, 1949. [Google Scholar]
- Musial, W.D.; Cromack, D.E. Influence of Reynolds Number on Performance Modeling of Horizontal Axis Wind Rotors. J. Sol. Energy Eng. 1988, 110, 139–144. [Google Scholar] [CrossRef]
- McCormick, B.W. Aerodynamics, Aeronautics, and Flight Mechanics, 2nd ed.; Wiley: New York, NY, USA, 1994. [Google Scholar]




















| Specification | Full Scale | Model Scale |
|---|---|---|
| Diameter | 2.0 m | 0.5 m |
| Rotational speed | 1950 rpm | 2560 rpm |
| Maximum freestream velocity | 146 m/s (J = 2.0) | 25 m/s (J = 2.0) |
| Variable pitch angle | 29.0°, 34.0°, 39.0° | |
| Coefficient | MRF | Sliding Mesh | Difference (Error) | |
|---|---|---|---|---|
| J = 0.32 | CT | 0.3787 | 0.3795 | −0.0008 (0.21%) |
| CQ | 0.0694 | 0.0696 | −0.0002 (0.29%) | |
| η | 0.2778 | 0.2778 | 0.0 (0.0%) | |
| J = 1.20 | CT | 0.1726 | 0.1735 | −0.0009 (0.50%) |
| CQ | 0.0441 | 0.0443 | −0.0002 (0.41%) | |
| η | 0.7481 | 0.7486 | −0.0005 (0.06%) |
Publisher’s Note: MDPI stays neutral with regard to jurisdictional claims in published maps and institutional affiliations. |
© 2022 by the authors. Licensee MDPI, Basel, Switzerland. This article is an open access article distributed under the terms and conditions of the Creative Commons Attribution (CC BY) license (https://creativecommons.org/licenses/by/4.0/).
Share and Cite
Go, Y.-J.; Bae, J.-H.; Ryi, J.; Choi, J.-S.; Lee, C.-R. A Study on the Scale Effect According to the Reynolds Number in Propeller Flow Analysis and a Model Experiment. Aerospace 2022, 9, 559. https://doi.org/10.3390/aerospace9100559
Go Y-J, Bae J-H, Ryi J, Choi J-S, Lee C-R. A Study on the Scale Effect According to the Reynolds Number in Propeller Flow Analysis and a Model Experiment. Aerospace. 2022; 9(10):559. https://doi.org/10.3390/aerospace9100559
Chicago/Turabian StyleGo, Yeong-Ju, Joon-Hwan Bae, Jaeha Ryi, Jong-Soo Choi, and Chung-Ryeol Lee. 2022. "A Study on the Scale Effect According to the Reynolds Number in Propeller Flow Analysis and a Model Experiment" Aerospace 9, no. 10: 559. https://doi.org/10.3390/aerospace9100559
APA StyleGo, Y.-J., Bae, J.-H., Ryi, J., Choi, J.-S., & Lee, C.-R. (2022). A Study on the Scale Effect According to the Reynolds Number in Propeller Flow Analysis and a Model Experiment. Aerospace, 9(10), 559. https://doi.org/10.3390/aerospace9100559

