Impact-Angle and Terminal-Maneuvering-Acceleration Constrained Guidance against Maneuvering Target
Abstract
1. Introduction
2. Guidance Problem
3. Development of Highly Constrained Guidance
3.1. Formulaic of Guidance Law
3.2. Generalized Solutions of the New Guidance
- (1)
- If, letand() be the two different real roots Equation (46), which are:
- (2)
- If, define the complex conjugates roots of Equation (46) as:
- (3)
- If, there is. The solutions can be expressed as:
- (1)
- If , we have,
- (2)
- If , according to Equations (47) and (48), there are:
- (3)
- If , the minimum polynomial of can be obtained as:
- (1)
- If, substituting Equation (35) intoyields:
- (2)
- If, we have,
- (3)
- If, the below solution can be obtained by substituting Equation (40) into, as:
4. Stability Domain of Guidance Coefficients
- (1)
- If , there is , which means . Thus we have:
- (2)
- If , there is , and so . Therefore, we can obtain and easily, as below:
- (a)
- If or , we have , which leads to . Thus there is:
- (b)
- If , there is , which means . Using these, Equations (113) and (114) can be rewritten as:
5. The Scheme of the New Guidance
6. Simulation Results
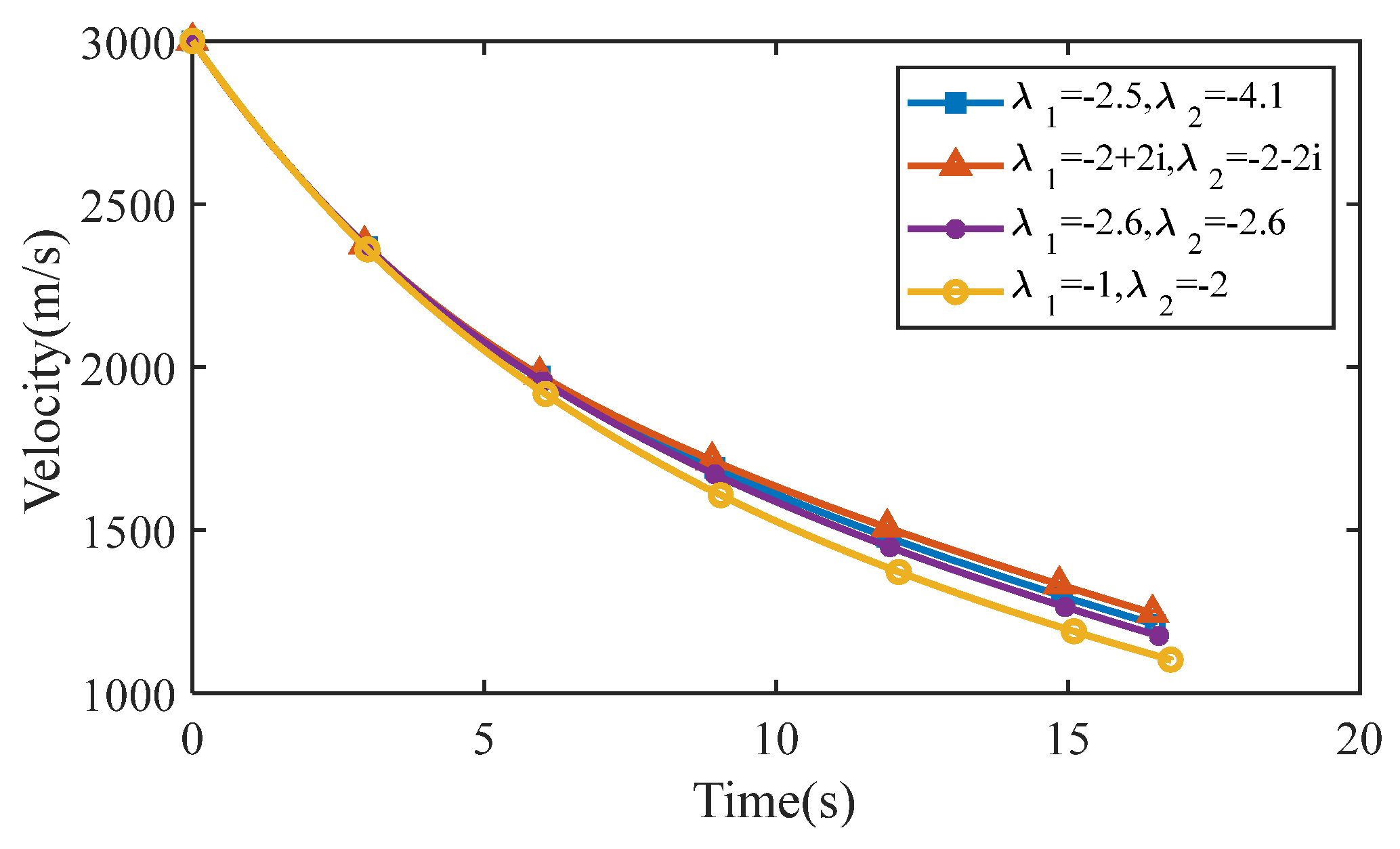
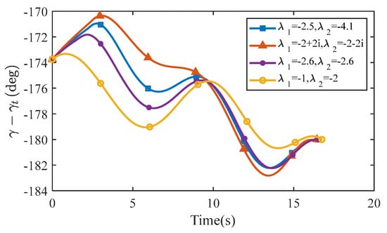
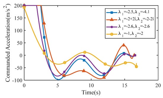
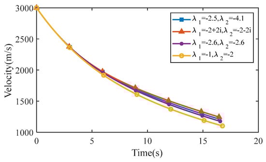
6.1. Accuracy Verification of Generalized Solutions
6.2. Performance of the New Guidance
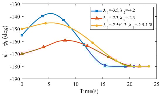
6.3. Waving Maneuvering Target
6.4. Robustness of the New Guidance
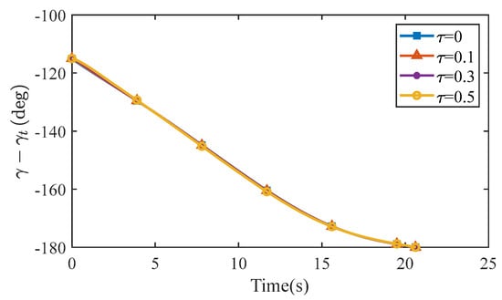
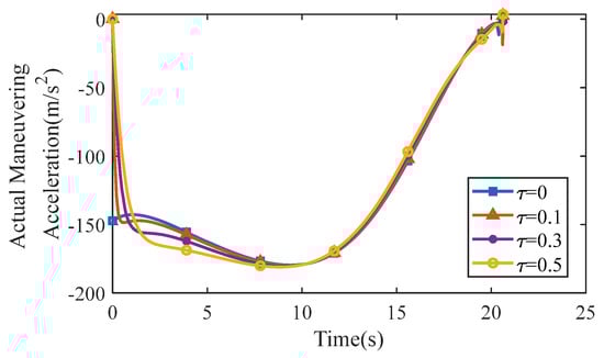
6.4.1. Robustness to Time Delays
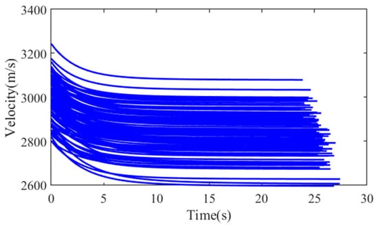
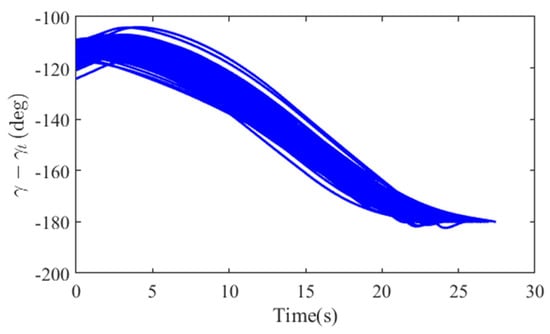
6.4.2. Monte Carlo Simulations
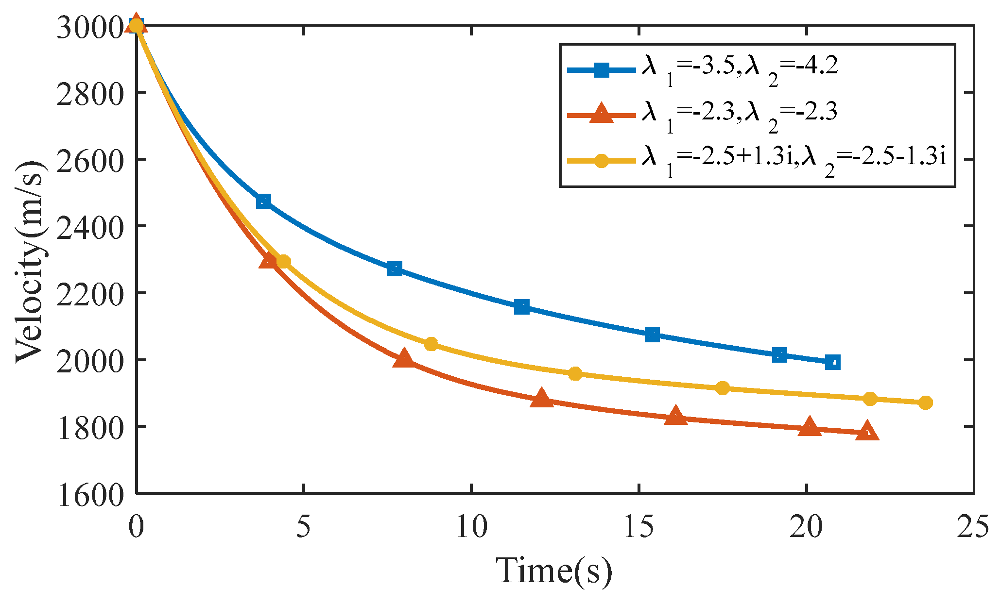
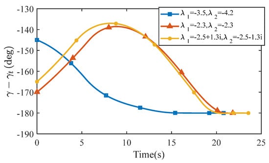
6.5. Three Dimensional Case
7. Conclusions
Author Contributions
Funding
Institutional Review Board Statement
Informed Consent Statement
Data Availability Statement
Conflicts of Interest
Appendix A
- (1)
- If
- (2)
- If
- (3)
- If
References
- Rusnak, I.; Weiss, H.; Eliav, R.; Shima, T. Missile guidance with constrained intercept body angle. IEEE Trans. Aerosp. Electron. Syst. 2014, 50, 1445–1453. [Google Scholar] [CrossRef]
- Zarchan, P. Tactical and Strategic Missile Guidance, 6th ed.; AIAA: Reston, VA, USA, 2012. [Google Scholar]
- Mehta, S.S.; Ton, C.; MacKunis, W. Acceleration-free nonlinear guidance and tracking control of hypersonic missiles for maximum target penetration. In Proceedings of the AIAA Guidance, Navigation, and Control Conference, San Diego, CA, USA, 4–8 January 2016. [Google Scholar]
- Dionne, D.; Michalska, H.; Rabbath, C.A. Predictive guidance for pursuit-evasion engagements involving multiple decoys. J. Guid. Control Dyn. 2007, 30, 1277–1286. [Google Scholar] [CrossRef]
- Wang, S.; Guo, Y.; Wang, S.; Liu, Z.; Zhang, S. Cooperative guidance considering detection configuration against target with a decoy. IEEE Access. 2020, 8, 66291–66303. [Google Scholar] [CrossRef]
- Cherry, G. A general, explicit optimal guidance law for rocket-propelled spacecraft. In Proceedings of the AIAA/ION Astrodynamics Guidance and Control Conference, Los Angeles, CA, USA, 24–26 August 1964. [Google Scholar]
- Bryson, A.E. Applied Optimal Control; Blaisdell: Waltham, MA, USA, 1969. [Google Scholar]
- Idan, M.; Golan, O.M.; Guelman, M. Optimal planar interception with terminal constraints. J. Guid. Control Dyn. 1995, 18, 1273–1279. [Google Scholar] [CrossRef]
- Glizer, V.Y. Optimal planar interception with fixed end conditions: Closed-form solution. J. Optim. Theory 1996, 88, 503–539. [Google Scholar] [CrossRef]
- Ben-Asher, J.Z.; Yaesh, I. Advances in Missile Guidance Theory; AIAA Progress in Aeronautics and Astronautics: Reston, VA, USA, 1998. [Google Scholar]
- Yu, W.; Chen, W.; Yang, L.; Liu, X.; Zhou, H. Optimal terminal guidance for exoatmospheric interception. Chin. J. Aeronaut. 2016, 29, 1052–1064. [Google Scholar] [CrossRef][Green Version]
- Ohlmeyer, E.J.; Phillips, C.A. Generalized vector explicit guidance. J. Guid. Control Dyn. 2006, 29, 261–268. [Google Scholar] [CrossRef]
- Murtaugh, S.A.; Criel, H.E. Fundamentals of proportional navigation. IEEE Spectrum 1966, 3, 75–85. [Google Scholar] [CrossRef]
- Budiyono, A.; Rachman, H. Proportional guidance and CDM control synthesis for a short-range homing surface-to-air missile. J. Aerosp. Eng. 2012, 25, 168–177. [Google Scholar] [CrossRef]
- Ratnoo, A.; Ghose, D. Impact angle constrained interception of stationary targets. J. Guid. Control Dyn. 2008, 31, 1817–1822. [Google Scholar] [CrossRef]
- Erer, K.S.; Merttopcuoglu, O. Indirect impact-angle-control against stationary targets using biased pure proportional navigation. J. Guid. Control Dyn. 2012, 35, 700–704. [Google Scholar] [CrossRef]
- Kumar, S.R.; Rao, S.; Ghose, D. Sliding-mode guidance and control for all-aspect interceptors with terminal angle constraints. J. Guid. Control Dyn. 2012, 35, 1230–1246. [Google Scholar] [CrossRef]
- Liu, B.; Hou, M.; Yu, Y.; Wu, Z. Three-dimensional impact angle control guidance with field-of-view constraint. Aerosp. Sci. Technol. 2020, 105, 106014. [Google Scholar] [CrossRef]
- Hu, Q.; Han, T.; Xin, M. Analytical solution for nonlinear three-dimensional guidance with impact angle and field-of-view constraints. IEEE Trans. Ind. Electron. 2021, 68, 3423–3433. [Google Scholar] [CrossRef]
- He, S.; Song, T.; Lin, D. Impact angle constrained integrated guidance and control for maneuvering target interception. J. Guid. Control Dyn. 2017, 40, 2652–2660. [Google Scholar] [CrossRef]
- Biswas, B.; Maity, A.; Kumar, S.R. Finite-time convergent three-dimensional nonlinear intercept angle guidance. J. Guid. Control Dyn. 2019, 43, 146–153. [Google Scholar] [CrossRef]
- Lin, D.; Ji, Y.; Wang, W.; Wang, Y.; Wang, H.; Zhang, F. Three-dimensional impact angle-constrained adaptive guidance law considering autopilot lag and input saturation. Int. J. Robust Nonlinear Control 2020, 30, 3653–3671. [Google Scholar] [CrossRef]
- Hu, Q.; Han, T.; Xin, M. Three-dimensional guidance for various target motions with terminal angle constraints using Twisting control. IEEE Trans. Ind. Electron. 2020, 67, 1242–1253. [Google Scholar] [CrossRef]
- Ryoo, C.K.; Cho, H.; Tahk, M.J. Time-to-go weighted optimal guidance with impact angle constraints. IEEE Trans. Control Syst. Technol. 2006, 14, 483–492. [Google Scholar] [CrossRef]
- Li, R.; Wen, Q.; Tan, W.; Yijie, Z.H. Adaptive weighting impact angle optimal guidance law considering seeker’s FOV angle constraints. J. Syst. Eng. Electron. 2018, 29, 146–155. [Google Scholar] [CrossRef]
- Wang, C.; Dong, W.; Wang, J.; Shan, J. Nonlinear suboptimal guidance law with impact angle constraint: An SDRE-based approach. IEEE Trans. Aerosp. Electron. Syst. 2020, 56, 4831–4840. [Google Scholar] [CrossRef]
- Yu, W.; Chen, W. Entry guidance with real-time planning of reference based on analytical solution. Adv. Space Res. 2015, 55, 2325–2345. [Google Scholar] [CrossRef]
- Surhone, M.L.; Tennoe, M.T.; Henssonow, S.F. Squeeze Theorem; Betascript Publishing: Beau Bassin, Mauritius, 2010. [Google Scholar]
- Speie, E.; Nacouzi, G.; Lee, C.; Moore, R.M. Hypersonic Missile Nonproliferation-Hindering the Spread of a New Class of Weapons; RAND Corporation: Santa Monica, CA, USA, 2017. [Google Scholar]
- Han, C.; Xiong, J. Method of trajectory prediction for unpowered gliding hypersonic vehicle in gliding phase. In Proceedings of the 2016 IEEE Advanced Information Management, Communicates, Electronic and Automation Control Conference (IMCEC), Xi’an, China, 3–5 October 2016; pp. 262–266. [Google Scholar]
- Meyer, C.D. Matrix Analysis and Applied Linear Algebra; The Society for Industrial and Applied Mathematics: Philadelphia, PA, USA, 2000. [Google Scholar]
- Bezick, S.M.; Pue, A.J.; Patzelt, C.M. Inertial Navigation for Guided Missile Systems. Johns Hopkins APL Tech. Digest. 2010, 4, 331–342. [Google Scholar]
- Singer, R.A. Estimating Optimal Tracking Filter Performance for Manned Maneuvering Targets. IEEE Trans. Aerosp. Electron. Syst. 1970, 6, 473–483. [Google Scholar] [CrossRef]
- Ekstrand, B. Tracking filters and models for seeker applications. IEEE Trans. Aerosp. Electron. Syst. 2001, 37, 965–977. [Google Scholar] [CrossRef]
- Hexner, G.; Shima, T.; Weiss, H. LQC guidance law with bounded acceleration command. IEEE Trans. Aerosp. Electron. Syst. 2008, 44, 77–86. [Google Scholar] [CrossRef]
- Zhou, D.; Xu, B. Adaptive dynamic surface guidance law with input saturation constraint and autopilot dynamics. J. Guid. Control Dyn. 2016, 39, 1152–1159. [Google Scholar] [CrossRef]
- Phillips, T.H. A Common Aero Vehicle Model, Description, and Employment Guide Arlington; Schafer Corporation for AFRL and AFSPC: Arlington, VA, USA, 2003. [Google Scholar]
- Pipes, L.A.; Harvill, L.R. Applied Mathematics for Engineers and Physicists, 3rd ed.; Dover Publications: New York, NY, USA, 2014. [Google Scholar]

































| Input parameters: The states of the missile (i.e., XM, VM) measured by the INS and relative states measured by the seeker (i.e., R, γLOS); the terminal constraints XTMf, VTMf; |
| Control input parameters: The relative states and target maneuvers obtained by the filter. |
| Output: The miss distance, impact angle, and terminal maneuvering acceleration. |
| Step 1: Select guidance coefficients beforehand: a. Linearize the relative dynamics and derive the closed-form solutions of acceleration command; b. By analyzing the solutions, obtain the stability domain of the guidance coefficients, shown in Equation (123). c. Choose guidance coefficients in the domain. Step 2: Calculate the guidance command from Equation (26); Step 3: Determine whether to continue the guidance loop; a. Employ the guidance command to the nonlinear dynamics; b. Update the current states of missile and target; If missile attacks the target, go to the next step, if not, go to step 2. Step 4: Output the terminal states. |
| Terminal States | Miss Distance (m) | Impact Angle Error (deg) | Terminal Acceleration Command (m/s2) | Terminal Control Efforts (m2/s3) |
|---|---|---|---|---|
| New Guidance | 2.02 × 10−9 | 4.21 × 10−6 | −0.22 | 1.81 × 105 |
| TSG | 1.00 × 10−3 | 4.00 × 10−3 | −200.00 | 1.79 × 105 |
| OGL/AIAW | 304.94 | 4.53 | 24.66 | 3.54 × 105 |
| SDRE-based IACG | 1.21 × 10−6 | 7.38 × 10−6 | 12.88 | 2.60 × 105 |
| Parameters | Case 1 | Case 2 | Case 3 | Case 4 |
|---|---|---|---|---|
| −2.5 | −2 + 2i | −2.6 | −1 | |
| −4.1 | −2 − 2i | −2.6 | −2 | |
| 17.85 | 13 | 12.96 | 6 | |
| −10.25 | −8 | −6.76 | −2 | |
| −8 g | −7 g | −9 g | −10 g | |
| 3 | 3 | 3 | 3 |
| Case | 1 | 2 | 3 | 4 |
|---|---|---|---|---|
| Miss distance (m) | 8.69 × 10−18 | 9.72 × 10−18 | 9.35 × 10−18 | 1.90 × 10−8 |
| Impact angle errors (deg) | 6.74 × 10−11 | 2.48 × 10−10 | 7.72 × 10−10 | 2.62 × 10−5 |
| Terminal acceleration command (m/s2) | 2.00 × 10−3 | −6.40 × 10−3 | 2.70 × 10−4 | −45.65 |
| τ | 0 | 0.1 | 0.3 | 0.5 |
|---|---|---|---|---|
| Miss distance (m) | 4.23 × 10−7 | 2.64 × 10−3 | 2.49 × 10−4 | 0.01 |
| Terminal γ − γt errors (deg) | 1.71 × 10−4 | 4.24 × 10−3 | 8.61 × 10−4 | 6.26 × 10−3 |
| Terminal actual maneuvering acceleration (m/s2) | 3.79 × 10−4 | 2.42 | −1.77 | 3.49 |
| Terminal States | Miss Distance (m) | Impact Angle Error (deg) | Terminal Acceleration Command (m/s2) | Terminal Control Efforts (m2/s3) |
|---|---|---|---|---|
| New Guidance | 0.15 | 0.06 | 0.10 | 1.13 × 105 |
| TSG | 1.76 | 0.20 | 33.25 | 1.30 × 105 |
| OGL/AIAW | 210.01 | 6.59 | 58.50 | 2.21 × 105 |
| SDRE-based IACG | 25.41 | 1.19 | 149.47 | 2.18 × 105 |
| Disturbance Parameters | |||||||||||
|---|---|---|---|---|---|---|---|---|---|---|---|
| Value | 5 km | 5 km | 10% | 5° | 5 km | 5 km | 10% | 5° | 10% | 10% | 10% |
| Parameters | Case 1 | Case 2 | Case 3 |
|---|---|---|---|
| −3.5 | −2.3 | −2.5 + 1.3i | |
| −4.2 | −2.3 | −2.5 − 1.3i | |
| 23.40 | 10.89 | 13.94 | |
| −14.70 | −5.29 | −7.94 | |
| (0,0,0) | (10,−10,0) | (−10,10,0) | |
| 45 | 10 | 15 | |
| 45 | 50 | 40 | |
| 190 | 180 | 180 | |
| 200 | 220 | 190 |
| Case | 1 | 2 | 3 |
|---|---|---|---|
| Miss distance (m) | 1.20 × 10−17 | 1.22 × 10−17 | 1.19 × 10−17 |
| Terminal errors (deg) | 1.77 × 10−10 | 2.89 × 10−9 | 2.59 × 10−8 |
| Terminal errors (deg) | 1.43 × 10−8 | 8.47 × 10−9 | 2.67 × 10−8 |
| Terminal acceleration command (m/s2) | 0.76 | 0.32 | 0.43 |
Publisher’s Note: MDPI stays neutral with regard to jurisdictional claims in published maps and institutional affiliations. |
© 2021 by the authors. Licensee MDPI, Basel, Switzerland. This article is an open access article distributed under the terms and conditions of the Creative Commons Attribution (CC BY) license (https://creativecommons.org/licenses/by/4.0/).
Share and Cite
Zhang, W.; Chen, W.; Yu, W. Impact-Angle and Terminal-Maneuvering-Acceleration Constrained Guidance against Maneuvering Target. Aerospace 2022, 9, 22. https://doi.org/10.3390/aerospace9010022
Zhang W, Chen W, Yu W. Impact-Angle and Terminal-Maneuvering-Acceleration Constrained Guidance against Maneuvering Target. Aerospace. 2022; 9(1):22. https://doi.org/10.3390/aerospace9010022
Chicago/Turabian StyleZhang, Wanqing, Wanchun Chen, and Wenbin Yu. 2022. "Impact-Angle and Terminal-Maneuvering-Acceleration Constrained Guidance against Maneuvering Target" Aerospace 9, no. 1: 22. https://doi.org/10.3390/aerospace9010022
APA StyleZhang, W., Chen, W., & Yu, W. (2022). Impact-Angle and Terminal-Maneuvering-Acceleration Constrained Guidance against Maneuvering Target. Aerospace, 9(1), 22. https://doi.org/10.3390/aerospace9010022
