Prediction of Aircraft Noise Impact with Application to Hong Kong International Airport
Abstract
1. Introduction
2. Computational Methodology
2.1. Overview
2.2. Baseline Approach
2.3. Specific Improvements Brought to the Methodology
2.3.1. Refinement of the Aircraft Noise Emission (Intensity), through the Incorporation of the Actual Power Settings
2.3.2. Refinement of the Aircraft Noise Emission (Directivity), through the Incorporation of the Engine Installation Effects (Bank Angle)
2.3.3. Refinement of the Aircraft Noise Propagation (Distance), through the Dynamic Specification of the Ground Track and Observers
Dynamic Extension on the Ground Track
Dynamic Specification of Ground Observers
2.3.4. Refinement of the Aircraft Noise Propagation (Attenuation), through the Incorporation of Meteorological Effects
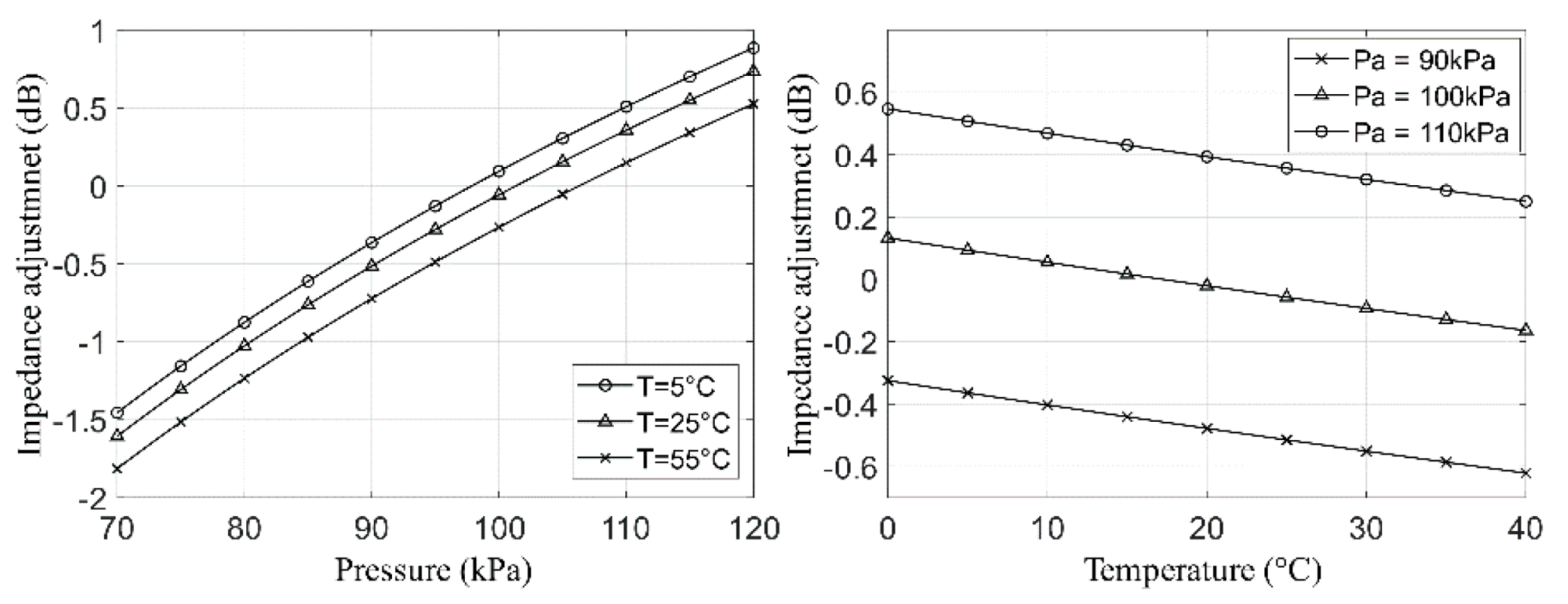
Deviation of the Sound Speed Characteristics (Acoustic Impedance Adjustment)
Deviation of the Sound Absorption Characteristics (Atmospheric Absorption Adjustment)
3. Validation of the Methodology Using Standardized Cases
3.1. Standardized Scenarios
3.2. Noise Certification Cases
4. Further Illustration of the Methodology Using Realistic Scenarios
4.1. Context
4.2. Phenomenological Aspects
4.2.1. Noise Impact Variability upon the Flight Scenarios
Departure Scenarios
Approach Scenarios
4.2.2. Noise Impact Variability upon the Meteorological Conditions
Effect of Temperature
Effect of Relative Humidity
Combined Effect of Both Temperature and Relative Humidity
4.2.3. Noise Impact Variability upon the Aircraft Type
4.3. Methodological Aspects
4.3.1. Accounting for the Bank Angle
4.3.2. Extending the Flightpath Cut-off Limit
4.3.3. Approximating the Flightpath and/or Power Settings
5. Conclusions and Perspectives
Supplementary Materials
Author Contributions
Funding
Institutional Review Board Statement
Informed Consent Statement
Data Availability Statement
Acknowledgments
Conflicts of Interest
Appendix A. Integrated Thrust Equation for the Aircraft at Roll and Aloft
Appendix A.1. Integrated Thrust Equation

Appendix A.2. Particular Case of in-Flight Segments
Appendix A.3. Particular Case of Ground-Roll Segments
Appendix B. Further Illustration of the Noise Prediction Process and of Its Validation against Reference Cases

- Baseline noise level (cf. Figure A3a): Originated from the NPD database, this quantity represents the noise that would be perceived by each selected observer if the aircraft was flying according to a standard scenario (cf. Section 2.2). It was checked that the associate prediction results agree well with the reference values [62], the maximum errors being less than . Since the JETWDS case corresponds to a non-standard flight, these baseline noise levels must be refined through successive correction terms (see below).
- Start-of-roll directivity adjustment (cf. Figure A3b): This correction accounts for the highly directive pattern of the jet noise at take-off, which impacts more especially those observers that are located upstream the ground roll segments (cf. Section 2.2). Logically, the effect is nil for these observers that are located downstream (i.e., R1 and R5). Here too, the predicted results match well the reference values, with a maximum error of less than .
- Engine installation correction (cf. Figure A3c): This correction accounts for the lateral directivity patterns induced by the engine installation effects, which depend on the relative depression angle seen by each observer (cf. Section 2.3.2). Logically, the effect is nil for those observers that are located right underneath the airborne segment (e.g., R1). Again, the predicted values compare favorably against their reference counterparts, with an error of less than .
- Finitesegment correction (cf. Figure A3d): This correction accounts for both (i) the finite nature of each concerned flight segment and (ii) its relative position with respect to the observers. The effect is more important for those observers that are located away from the flight segment, whose perceived noise is then corrected from the loss incurred by the respective propagation distance. Here too, the calculation results are in good agreement with the reference ones, leading to a maximum error of less than 1%.
- Duration correction (cf. Figure A3e): This correction translates the variation in the noise exposure duration, which logically varies with the fly-over time and, thus, the aircraft speed. In the present case where the aircraft continuously accelerates (from 0kt at the start-of-roll point) and eventually exceeds the standard value of 160kt (for which the correction is nil), this effect decreases monotonically. Here too, the prediction result is very close to the reference one, with errors in the range of –.
- Acoustic Impedance adjustment (cf. Figure A3f): This correction translates the impact of atmospheric effects (cf. Section 2.3.4), which are solely driven by the local meteorological conditions, thereby affecting all observers equally. Here, no error is recorded.
- Lateral attenuation (cf. Figure A3g): This correction accounts for the lateral attenuation induced by the ground presence (cf. Section 2.2). Logically, this effect does not impact those observers that are located right beneath the flightpath (here, R1 and R3 for airborne segments 10-29). The other observers are impacted differently, depending on their respective (lateral) distance to the aircraft, as well as on the nature of the flight segment considered (airborne or ground roll [49], e.g., R2-R4 for segments 9 and 10, respectively). Again, the predicted values match the reference ones, with maximum errors of less than .
- Single event noise level (cf. Figure A3h): This quantity represents the cumulative noise level perceived by each observer, once the contributions coming from all segments are summed up into a single noise event. As can be seen, the prediction is very close to the reference, with errors in the order of zero (except for the R1 observer, for which an error of about 0.011% is recorded).

Appendix C. Further Illustration of the Noise Impact Dependency towards Real-Life Operations
Appendix C.1. Noise Impact Incurred by B777-3ER Aircraft Flying along Two Departure Routes




Appendix C.2. Noise Impact Incurred by A330-343 Aircraft Flying along Two Approach Routes



Appendix C.3. Specific Effect of the Bank Angle on the Various Routes and Aircraft


References
- International Civil Aviation Organisation (ICAO). Environmental Report 2010. Available online: https://www.icao.int/environmental-protection/Documents/Publications/ENV_Report_2010.pdf (accessed on 7 September 2021).
- Baudin, C.; Lefèvre, M.; Champelovier, P.; Lambert, J.; Laumon, B.; Evrard, A.-S. Aircraft Noise and Psychological Ill-Health: The Results of a Cross-Sectional Study in France. Int. J. Environ. Res. Public Health 2018, 15, 1642. [Google Scholar] [CrossRef] [PubMed]
- Peters, J.L.; Zevitas, C.D.; Redline, S.; Hastings, A.; Sizov, N.; Hart, J.E.; Levy, J.I.; Roof, C.J.; Wellenius, G.A. Aviation Noise and Cardiovascular Health in the United States: A Review of the Evidence and Recommendations for Research Direction. Curr. Epidemiol. Rep. 2018, 5, 140–152. [Google Scholar] [CrossRef]
- Nassur, A.-M.; Léger, D.; Lefèvre, M.; Elbaz, M.; Mietlicki, F.; Nguyen, P.; Ribeiro, C.; Sineau, M.; Laumon, B.; Evrard, A.-S. Effects of Aircraft Noise Exposure on Heart Rate during Sleep in the Population Living Near Airports. Int. J. Environ. Res. Public Health 2019, 16, 269. [Google Scholar] [CrossRef]
- European Aviation Environmental Report 2019; European Environment Agency; European Aviation Safety Agency; Eurocontrol: Copenhagen, Denmark, 2019. [CrossRef]
- Thomas, C.; Hume, K.; Hooper, P. Aircraft Noise, Airport Growth and Regional Development. In Proceedings of the 10th AIAA/CEAS Aeroacoustics Conference, Manchester, UK, 10–12 May 2004; p. 2806. [Google Scholar] [CrossRef]
- Upham, P.; Thomas, C.; Gillingwater, D.; Raper, D. Environmental capacity and airport operations: Current issues and future prospects. J. Air Transp. Manag. 2003, 9, 145–151. [Google Scholar] [CrossRef]
- Zaporozhets, O.; Tokarev, V.; Attenborough, K.; Miller, N.P. Aircraft Noise Assessment, Prediction and Control. Noise Control. Eng. J. 2012, 60, 222. [Google Scholar] [CrossRef]
- Port Authority of New York and New Jersey. Airport Traffic Report. 2019. Available online: https://www.panynj.gov/airports/en/statistics-general-info.html (accessed on 7 September 2021).
- Wei, N.; Zhu, F.; ChaoGao, Z. Research on Airport Noise Prediction Method Based on Noise Model INM. In Proceedings of the 2020 12th International Conference on Machine Learning and Computing, Shenzhen, China, 15–17 February 2020; pp. 489–494. [Google Scholar] [CrossRef]
- Ziyao, X.; Xisheng, H. A Study on the Legislation Issues of Airport Noise Abatement in China. J. Beijing Univ. Aeronaut. Astronaut. Soc. Sci. Ed. 2011, 24, 38. [Google Scholar] [CrossRef]
- Centre for Aviation. China Becomes the Largest Aviation Market in the World. 2020. Available online: https://centreforaviation.com/analysis/reports/china-becomes-the-largest-aviation-market-in-the-world-521779 (accessed on 7 September 2021).
- Law, C.K.; Fung, M.; Law, J.; Tse, D.; Chan, K.Y. HKIA’s Third Runway—The Key for Enhancing Hong Kong’s Aviation Position. Aviat. Policy Res. Cent. Novemb. 2007, 28. Available online: https://citeseerx.ist.psu.edu/viewdoc/download?doi=10.1.1.493.3575&rep=rep1&type=pdf (accessed on 7 September 2021).
- Leylekian, L.; Lebrun, M.; Lempereur, P. An Overview of Aircraft Noise Reduction Technologies. AerospaceLab 2014, 1–15. [Google Scholar] [CrossRef]
- Alam, S.; Nguyen, M.H.; Abbass, H.; Lokan, C.; Ellejmi, M.; Kirby, S. Multi-Aircraft Dynamic Continuous Descent Approach Methodology for Low-Noise and Emission Guidance. J. Aircr. 2011, 48, 1225–1237. [Google Scholar] [CrossRef]
- Clarke, J.-P.B.; Ho, N.T.; Ren, L.; Brown, J.A.; Elmer, K.R.; Tong, K.-O.; Wat, J.K. Continuous Descent Approach: Design and Flight Test for Louisville International Airport. J. Aircr. 2004, 41, 1054–1066. [Google Scholar] [CrossRef]
- Alam, S.; Nguyen, M.H.; Abbass, H.A.; Lokan, C.; Ellejmi, M.; Kirby, S. A dynamic continuous descent approach methodology for low noise and emission. In Proceedings of the 29th Digital Avionics Systems Conference, Salt Lake City, UT, USA, 3–7 October 2010; p. 1-E. [Google Scholar] [CrossRef]
- Bertsch, L.; Dobrzynski, W.; Guérin, S. Tool Development for Low-Noise Aircraft Design. J. Aircr. 2010, 47, 694–699. [Google Scholar] [CrossRef]
- Molin, N.; Piet, J.-F.; Chow, L.C.; Smith, M.; Dobrzynski, W.; Seror, C. Prediction of Low Noise Aircraft Landing Gears and Comparison with Test Results. In Proceedings of the 12th AIAA/CEAS Aeroacoustics Conference, Cambridge, MA, USA, 8–10 May 2006; p. 2623. [Google Scholar] [CrossRef]
- Bertsch, L.; Heinze, W.; Lummer, M. Application of an Aircraft Design-To-Noise Simulation Process. In Proceedings of the 14th AIAA Aviation Technology, Integration, and Operations Conference, Atlanta, GA, USA, 16–20 June 2014; p. 2169. [Google Scholar] [CrossRef]
- Nero, G.; Black, J.A. A critical examination of an airport noise mitigation scheme and an aircraft noise charge: The case of capacity expansion and externalities at Sydney (Kingsford Smith) airport. Transp. Res. Part D Transp. Environ. 2000, 5, 433–461. [Google Scholar] [CrossRef]
- Arafa, M.H.; Osman, T.; Abdel-Latif, I.A. Noise assessment and mitigation schemes for Hurghada airport. Appl. Acoust. 2007, 68, 1373–1385. [Google Scholar] [CrossRef]
- Koster, R. Using NOMOS Measurements to Assess Improvements of ECAC Doc. 29 Aircraft Noise Calculations; Delft University of Technology: Delft, The Netherlands, 2020; Available online: http://resolver.tudelft.nl/uuid:a8ba2f3c-7289-4aff-ad8a-5b358cd4ffbe (accessed on 7 September 2021).
- Raimbault, M.; Dubois, D. Urban soundscapes: Experiences and knowledge. Cities 2005, 22, 339–350. [Google Scholar] [CrossRef]
- Filippone, A. Aircraft noise prediction. Prog. Aerosp. Sci. 2014, 68, 27–63. [Google Scholar] [CrossRef]
- Bertsch, L.; Schäffer, B.; Guérin, S. Uncertainty Analysis for Parametric Aircraft System Noise Prediction. J. Aircr. 2019, 56, 529–544. [Google Scholar] [CrossRef]
- Pietrzko, S.; Rudolf, B. FLULA-Swiss Aircraft Noise Prediction Program. Proc. Acoust. 2002, 13–15. Available online: https://www.dora.lib4ri.ch/empa/islandora/object/empa:11080 (accessed on 7 September 2021).
- Ollerhead, J.B. The CAA Aircraft Noise Contour Model: ANCON Version 1. Civ. Aviat. Auth. Dep. Transp. 1992. Available online: https://publicapps.caa.co.uk/docs/33/ERCD9120.PDF (accessed on 7 September 2021).
- Ollerhead, J.; Sharp, B. MAGENTA-assessments of future aircraft noise policy options. Air Space Eur. 2001, 3, 247–249. [Google Scholar] [CrossRef]
- Roof, C.; Hansen, A.; Fleming, G.; Thrasher, T.; Nguyen, A.; Hall, C.; Dinges, E.; Grandi, F.; Kim, B.; Usdrowski, S. Aviation Environmental Design Tool (AEDT) System Architecture. Fed. Aviat. Adm. Off. Environ. Energy 2007. Available online: https://rosap.ntl.bts.gov/view/dot/12254 (accessed on 7 September 2021).
- Wunderli, J.M.; Zellmann, C.; Köpfli, M.; Habermacher, M. sonAIR—A GIS-Integrated Spectral Aircraft Noise Simulation Tool for Single Flight Prediction and Noise Mapping. Acta Acust. United Acust. 2018, 104, 440–451. [Google Scholar] [CrossRef]
- Bertsch, L.; Sébastien, G.; Looye, G.; Pott Pollenske, M. The Parametric Aircraft Noise Analysis Module-Status Overview and Recent Applications. In Proceedings of the 17th AIAA/CEAS Aeroacoustics Conference, Portland, OR, USA, 5–8 June 2011; p. 2855. [Google Scholar] [CrossRef][Green Version]
- Jäger, D.; Zellmann, C.; Schlatter, F.; Wunderli, J.M. Validation of the sonAIR aircraft noise simulation model. Noise Mapp. 2021, 8, 95–107. [Google Scholar] [CrossRef]
- Malbéqui, P.; Rozenberg, Y.; Bulté, J. Aircraft Noise Prediction in the IESTA Program. In Proceedings of the 3rd European Conference for Aerospace Sciences, Versailles, France, 6–9 July 2009; Available online: https://www.onera.fr/sites/default/files/Departements-scientifiques/DCPS/AircraftnoisepredictionintheIESTAprogram.pdf (accessed on 7 September 2021).
- Lopes, L.; Burley, C. Design of the next Generation Aircraft Noise Prediction Program: ANOPP2. In Proceedings of the 17th AIAA/CEAS Aeroacoustics Conference, Portland, OR, USA, 5–8 June 2011; p. 2854. [Google Scholar] [CrossRef]
- Tuinstra, M. A Fast Atmospheric Sound Propagation Model for Aircraft Noise Prediction. Int. J. Aeroacoustics 2014, 13, 337–361. [Google Scholar] [CrossRef]
- Boeker, E.R.; Dinges, E.; He, B.; Fleming, G.; Roof, C.J.; Gerbi, P.J.; Rapoza, A.S.; Hermann, J.; United States. Federal Aviation Administration; Office of Environment and Energy. Integrated Noise Model (INM) Version 7.0 Technical Manual. 2008. Available online: https://rosap.ntl.bts.gov/view/dot/12188 (accessed on 7 September 2021).
- Mato, R.R.; Mufuruki, T. Noise pollution associated with the operation of the Dar es Salaam International Airport. Transp. Res. Part D Transp. Environ. 1999, 4, 81–89. [Google Scholar] [CrossRef]
- Eriksson, C.; Bluhm, G.; Hilding, A.; Östenson, C.-G.; Pershagen, G. Aircraft noise and incidence of hypertension—Gender specific effects. Environ. Res. 2010, 110, 764–772. [Google Scholar] [CrossRef]
- Babisch, W.; Pershagen, G.; Selander, J.; Houthuijs, D.; Breugelmans, O.; Cadum, E.; Vigna-Taglianti, F.; Katsouyanni, K.; Haralabidis, A.S.; Dimakopoulou, K.; et al. Noise annoyance—A modifier of the association between noise level and cardiovascular health? Sci. Total. Environ. 2013, 452–453, 50–57. [Google Scholar] [CrossRef]
- Ignaccolo, M. Environmental capacity: Noise pollution at Catania-Fontanarossa international airport. J. Air Transp. Manag. 2000, 6, 191–199. [Google Scholar] [CrossRef]
- El Fadel, M.; Chahine, M.; Baaj, M.; Mezher, T. Managing Noise Emission Impacts of Airport Traffic. INTER-NOISE NOISE-CON Congr. Conf. Proc. 2000, 2000, 1395–1399. Available online: http://www.conforg.fr/internoise2000/cdrom/data/articles/000863.pdf (accessed on 7 September 2021).
- Hebly, S.J.; Visser, H.G. Advanced noise abatement departure procedures: Custom-optimised departure profiles. Aeronaut. J. 2015, 119, 647–661. [Google Scholar] [CrossRef]
- Clarke, J.-P.; Bennett, D.; Elmer, K.; Firth, J.; Hilb, R.; Ho, N.; Johnson, S.; Lau, S.; Ren, L.; Senechal, D. Development, Design, and Flight Test Evaluation of a Continuous Descent Approach Procedure for Nighttime Operation at Louisville International Airport. Partnership for Air Transportation Noise and Emissions Reduction. 2006. Available online: https://rosap.ntl.bts.gov/view/dot/28416 (accessed on 7 September 2021).
- Kim, D.; Lyu, Y.; Liem, R.P. Flight Profile Optimization for Noise Abatement and Fuel Efficiency during Departure and Arrival of an Aircraft. AIAA Aviation 2019 Forum 2019, 3622. [Google Scholar] [CrossRef]
- Wijnen, R.; Visser, H. Optimal departure trajectories with respect to sleep disturbance. Aerosp. Sci. Technol. 2003, 7, 81–91. [Google Scholar] [CrossRef]
- U.S. Department of Transportation. NextGen Annual Report. Available online: https://www.faa.gov/nextgen/media/NextGenAnnualReport-FiscalYear2020.pdf (accessed on 7 September 2021).
- Environmental Protection Agency, Ireland. Guidance Note for Strategic Noise Mapping For the Environmental Noise Regulations 2006. Available online: https://www.epa.ie/publications/monitoring--assessment/noise/EPA-Guidance-Note-for-Strategic-Noise-Mapping-(version-2).pdf (accessed on 7 September 2021).
- Report on Standard Method of Computing Noise Contours around Civil Airports. Eur. Civ. Aviat. Conf. 2016, 2. Available online: https://www.ecac-ceac.org/images/documents/ECAC-Doc_29_4th_edition_Dec_2016_Volume_2.pdf (accessed on 7 September 2021).
- Kephalopoulos, S.; Paviotti, M.; Anfosso-Lédée, F. Common Noise Assessment Methods in Europe (CNOSSOS-EU). Publ. Off. Eur. Union 2012, 180. [Google Scholar] [CrossRef]
- Civil Aviation Authority. Strategic Noise Maps for Heathrow Airport 2016. 2018. Available online: https://publicapps.caa.co.uk/docs/33/MappingHeathrow.pdf (accessed on 7 September 2021).
- Vogiatzis, K.; Remy, N. Strategic Noise Mapping of Herakleion: The Aircraft Noise Impact as a factor of the Int. Airport relocation. Noise Mapp. 2014, 1. [Google Scholar] [CrossRef]
- Procedure for the Calculation of Airplane Noise in the Vicinity of Airports. Soc. Automot. Eng. Comm. A-21 2012. [CrossRef]
- Federal Aviation Administration. Fundamentals of Noise and Sound. 2020. Available online: https://www.faa.gov/regulations_policies/policy_guidance/noise/basics/ (accessed on 7 September 2021).
- International Civil Aviation Organization. Recommended Method for Computing Noise Contours Around Airports. 2008. Available online: https://global.ihs.com/doc_detail.cfm?document_name=ICAO9911&item_s_key=00520247 (accessed on 7 September 2021).
- Vos, E.; Groenendijk, J.; Do, M.T.; Tyre and Road Surface Optimisation for Skid Resistance and Further Effects. D05 Report on Analysis and Findings of Previous Skid Resistance Harmonisation Research Projects. 2009. Available online: https://trimis.ec.europa.eu/sites/default/files/project/documents/20120406_001647_43476_TYROSAFEFINALSummaryReport.pdf (accessed on 7 September 2021).
- Matamoros Cid, I. Modelling Flexible Thrust Performance for Trajectory Prediction Applications in Air Traffic Management; Universitat Politècnica de Catalunya: Barcelona, Spain, 2015; Available online: http://hdl.handle.net/2117/85938 (accessed on 7 September 2021).
- Thacker, W.C. A brief review of techniques for generating irregular computational grids. Int. J. Numer. Methods Eng. 1980, 15, 1335–1341. [Google Scholar] [CrossRef]
- Settari, A.; Aziz, K. Use of Irregular Grid in Reservoir Simulation. Soc. Pet. Eng. J. 1972, 12, 103–114. [Google Scholar] [CrossRef]
- Standard Values of Atmospheric Absorption as a Function of Temperature and Humidity. Soc. Automot. Eng. Comm. A-21 1975. [CrossRef]
- Rickley, E.J.; Fleming, G.G.; Roof, C.J. Simplified procedure for computing the absorption of sound by the atmosphere. Noise Control. Eng. J. 2007, 55, 482. [Google Scholar] [CrossRef]
- Report on Standard Method of Computing Noise Contours around Civil Airports. Eur. Civ. Aviat. Conf. 2016, 3. Available online: https://www.ecac-ceac.org/images/documents/ECAC-Doc_29_4th_edition_Dec_2016_Volume_3_Part_1.pdf (accessed on 7 September 2021).
- European Union Aviation Safety Agency. Type Certificate Data Sheets (TCDS). 2021. Available online: https://www.easa.europa.eu/document-library/type-certificates (accessed on 7 September 2021).
- International Standards and Recommended Practices, Environmental Protection, Annex 16. Int. Civ. Aviat. Organ. 2008, 1. Available online: https://www.caat.or.th/wp-content/uploads/2016/04/AN16_V1_cons.pdf (accessed on 7 September 2021).
- HaoLei, L. Research on the Evaluation Method of Aircraft Airworthiness Lateral Noise; Civil Aviation University of China: Tianjin, China, 2018. [Google Scholar] [CrossRef]
- Hong Kong Civil Aviation Department. Aircraft Noise Management. 2021. Available online: https://www.cad.gov.hk/english/ac_noise.html (accessed on 7 September 2021).
- Albéri, M.; Baldoncini, M.; Bottardi, C.; Chiarelli, E.; Fiorentini, G.; Raptis, K.G.C.; Realini, E.; Reguzzoni, M.; Rossi, L.; Sampietro, D.; et al. Accuracy of Flight Altitude Measured with Low-Cost GNSS, Radar and Barometer Sensors: Implications for Airborne Radiometric Surveys. Sensors 2017, 17, 1889. [Google Scholar] [CrossRef] [PubMed]
- Manolakis, D.; Lefas, C.; Rekkas, C. Computation of aircraft geometric height under radar surveillance. IEEE Trans. Aerosp. Electron. Syst. 1992, 28, 241–248. [Google Scholar] [CrossRef]
- Poles, D.; Nuic, A.; Mouillet, V. Advanced Aircraft Performance Modeling for ATM: Analysis of BADA Model Capabilities. In Proceedings of the 29th Digital Avionics Systems Conference, Salt Lake City, UT, USA, 3–7 October 2010; p. 1-D. [Google Scholar] [CrossRef]
- Sherry, L.; Neyshabouri, S. Estimating Takeoff Thrust from Surveillance Track Data. Transportation Research Board Annual Meeting. 2014. Available online: https://catsr.vse.gmu.edu/pubs/EstTakeoffThrustTrackData%5B4%5DTRB.pdf (accessed on 7 September 2021).
- Nuic, A. User Manual for the Base of Aircraft Data (BADA) Revision 3.10. Atmosphere 2010, 2010, 1. Available online: https://www.eurocontrol.int/sites/default/files/library/022_BADA_User_Manual.pdf (accessed on 7 September 2021).
- Poulain, K. Numerical Propagation of Aircraft En Route Noise; The Pennsylvania State University: University Park, PA, USA, 2011; Available online: https://etda.libraries.psu.edu/catalog/12491 (accessed on 7 September 2021).
- Heath, S.; McAninch, G. Propagation Effects of Wind and Temperture on Acoustic Ground Contour Levels. In Proceedings of the 44th AIAA Aerospace Sciences Meeting and Exhibit, Reno, NV, USA, 9–12 January 2006; p. 411. [Google Scholar] [CrossRef]
- Arntzen, M.; Hordijk, M.; Simons, D.G. Including Atmospheric Propagation Effects in Aircraft Take-off Noise Modeling. In Proceedings of the 43rd International Congress on Noise Control Engineering, Melbourne, Australia, 16–19 November 2014; Available online: https://acoustics.asn.au/conference_proceedings/INTERNOISE2014/papers/p307.pdf (accessed on 7 September 2021).
- Dikshit, P.; Crossley, W. Airport Noise Model Suitable for Fleet-Level Studies. In Proceedings of the 9th AIAA Aviation Technology, Integration, and Operations Conference (ATIO) and Aircraft Noise and Emissions Reduction Symposium (ANERS), Hilton Head, SC, USA, 21–23 September 2009; p. 6937. [Google Scholar] [CrossRef]





























| Reference Case | ||
|---|---|---|
| JETFAC | 0.0125 | 0.00135 |
| JETFAS | 0.0125 | 0.00149 |
| JETFDC | 0.0125 | 0.00237 |
| JETFDS | 0.0125 | 0.00160 |
| JETWAC | 0.0125 | 0.00183 |
| JETWAS | 0.0125 | 0.00179 |
| JETWDC | 0.0125 | 0.00215 |
| JETWDS | 0.0125 | 0.00157 |
| PROPAC | 0.0100 | 0.00218 |
| PROPAS | 0.0016 | 0.00162 |
| PROPDC | 0.0200 | 0.00423 |
| PROPDS | 0.0124 | 0.00159 |
| Approach | Lateral | Flyover | ||||
|---|---|---|---|---|---|---|
| A320-211 | B737-800 | A320-211 | B737-800 | A320-211 | B737-800 | |
| Measurement | 96.10 | 96.30 | 93.70 | 93.90 | 87.40 | 86.40 |
| Present study | 96.32 | 94.80 | 94.41 | 94.71 | 94.40 | 94.00 |
| Error | 0.229 | 1.558 | 0.758 | 0.863 | 8.009 | 8.796 |
| Temperature (°C) | |||
|---|---|---|---|
| 7 | 35 | ||
| Relative humidity (%) | 13 | AD3 | AD4 |
| 100 | AD5 | AD6 | |
Publisher’s Note: MDPI stays neutral with regard to jurisdictional claims in published maps and institutional affiliations. |
© 2021 by the authors. Licensee MDPI, Basel, Switzerland. This article is an open access article distributed under the terms and conditions of the Creative Commons Attribution (CC BY) license (https://creativecommons.org/licenses/by/4.0/).
Share and Cite
Wu, C.; Redonnet, S. Prediction of Aircraft Noise Impact with Application to Hong Kong International Airport. Aerospace 2021, 8, 264. https://doi.org/10.3390/aerospace8090264
Wu C, Redonnet S. Prediction of Aircraft Noise Impact with Application to Hong Kong International Airport. Aerospace. 2021; 8(9):264. https://doi.org/10.3390/aerospace8090264
Chicago/Turabian StyleWu, Chunhui, and Stephane Redonnet. 2021. "Prediction of Aircraft Noise Impact with Application to Hong Kong International Airport" Aerospace 8, no. 9: 264. https://doi.org/10.3390/aerospace8090264
APA StyleWu, C., & Redonnet, S. (2021). Prediction of Aircraft Noise Impact with Application to Hong Kong International Airport. Aerospace, 8(9), 264. https://doi.org/10.3390/aerospace8090264

