Thermal Effect on the Instability of Annular Liquid Jet
Abstract
1. Introduction
2. Theoretical Model
3. Results and Discussion
3.1. Results of the Basic Case
3.2. Effect of the Weber Number
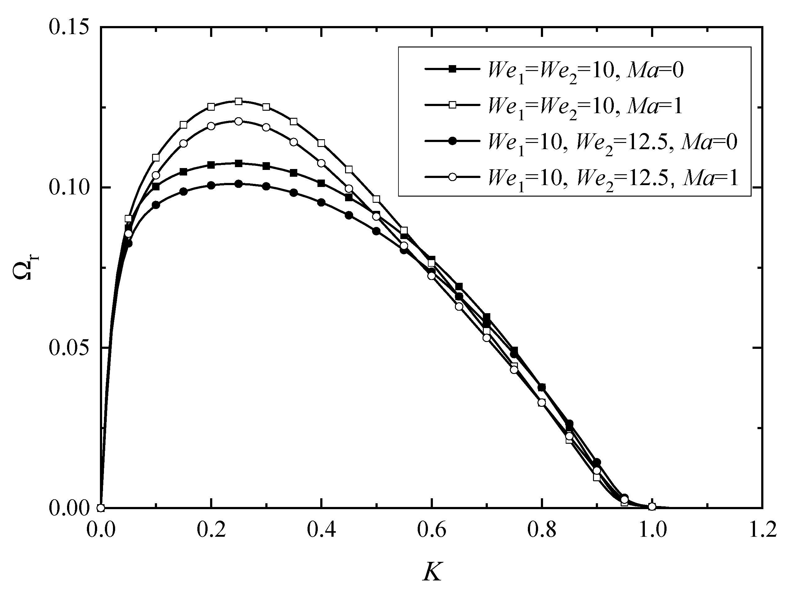
3.3. Marangoni Effects on Annular Liquid Jet Instability
- Case i:
- and ;
- Case ii:
- and ;
- Case iii:
- , and ;
- Case iv:
- , and .
- Case v:
- and ;
- Case vi:
- and ;
- Case vii:
- , and ;
- Case viii:
- , and ;
3.4. Effect of Prandtl Number
3.5. Effect of Heat Transfer Direction
3.6. Effect of the Reynolds Number
3.7. Effect of Temperature Gradient
3.8. Effect of Gas-to-Liquid Density Ratio and Velocity Ratio
4. Conclusions
Author Contributions
Funding
Institutional Review Board Statement
Informed Consent Statement
Data Availability Statement
Conflicts of Interest
References
- Sirignano, W.; Mehring, C. Review of Theory of Distortion and Disintegration of Liquid Streams. Prog. Energ. Combust. 1999, 31, 609–655. [Google Scholar]
- Rayleigh, L. On the instability of jets. Proc. Lond. Math. Soc. 1878, 10, 4–13. [Google Scholar] [CrossRef]
- Crapper, G.D.; Dombrowski, N.; Pyott, G.A.D. Kelvin–Helmholtz wave growth on cylindrical sheets. J. Fluid Mech. 1975, 68, 497–502. [Google Scholar] [CrossRef]
- Shen, J.; Li, X. Instability of an annular viscous liquid jet. Acta Mech. 1996, 114, 167–183. [Google Scholar] [CrossRef]
- Meyer, J.; Weihs, D. Capillary instability of an annular liquid jet. J. Fluid Mech. 1987, 179, 531–545. [Google Scholar] [CrossRef]
- Chen, J.N.; Lin, S.P. Instability of an annular jet surrounded by a viscous gas in a pipe. J. Fluid Mech. 2002, 450, 235–258. [Google Scholar] [CrossRef]
- Kang, Z.; Wang, Z.-G.; Li, Q.; Cheng, P. Review on pressure swirl injector in liquid rocket engine. Acta Astronaut. 2018, 145, 174–198. [Google Scholar] [CrossRef]
- Anderson, W.E.; Yang, V. Liquid Rocket Engine Combustion Instability; American Institute of Aeronautics and Astronautics: Fort Collins, CO, USA, 1995. [Google Scholar]
- Vadivukkarasan, M.; Panchagnula, M.V. Combined Rayleigh–Taylor and Kelvin–Helmholtz instabilities on an annular liquid sheet. J. Fluid Mech. 2017, 812, 152–177. [Google Scholar] [CrossRef]
- Duke, D.; Honnery, D.; Soria, J. The growth of instabilities in annular liquid sheets. Exp. Therm. Fluid Sci. 2015, 68, 89–99. [Google Scholar] [CrossRef]
- Yang, L.; Du, M.; Fu, Q. Stability of an annular power-law liquid sheet. Proc. Inst. Mech. Eng. Part C J. Mech. Eng. Sci. 2014, 229, 2750–2759. [Google Scholar] [CrossRef]
- Fu, Q.-F.; Yang, L.-J.; Tong, M.-X.; Wang, C. Absolute and convective instability of a confined swirling annular liquid layer. At. Sprays 2014, 24, 555–573. [Google Scholar] [CrossRef]
- Panchagnula, M.V.; Sojka, P.E.; Santangelo, P.J. On the three-dimensional instability of a swirling, annular, inviscid liquid sheet subject to unequal gas velocities. Phys. Fluids 1996, 8, 3300–3312. [Google Scholar] [CrossRef][Green Version]
- Reitz, R.D.; Lian, Z.W. The effect of vaporization and gas compressibility on liquid jet atomization. At. Sprays 1993, 3, 249–264. [Google Scholar] [CrossRef]
- Cao, J.; Li, X. Stability of plane liquid sheets in compressible gas streams. J. Propuls. Power 2000, 16, 623–627. [Google Scholar] [CrossRef]
- Yan, C.; Xie, M. Stability of an annular viscous liquid jet in compressible gases with different properties inside and outside of the jet. Front. Energy Power Eng. China 2009, 4, 198–204. [Google Scholar] [CrossRef]
- Li, G.-B.; Wang, Y.-R.; Xiao, L.-M. Instability of an annular liquid sheet exposed to compressible gas flows. Int. J. Multiph. Flow 2019, 119, 72–83. [Google Scholar] [CrossRef]
- Scriven, L.E.; Sternling, V.S. The Marangoni effects. Nature 1960, 187, 186–788. [Google Scholar] [CrossRef]
- Funada, T. Marangoni instability of thin liquid sheet. J. Phys. Soc. Jpn. 1986, 55, 2191–2202. [Google Scholar] [CrossRef]
- Oron, A.; Deissler, R.; Duh, J. Marangoni instability in a liquid sheet. Adv. Space Res. 1995, 16, 83–86. [Google Scholar] [CrossRef]
- Dávalos-Orozco, L.A. Thermocapillar instability of liquid sheets in motion. Colloids Surf. A 1999, 157, 223–233. [Google Scholar] [CrossRef]
- Tong, M.-X.; Yang, L.-J.; Fu, Q.-F. Thermocapillar instability of a two-dimensional viscoelastic planar liquid sheet in surrounding gas. Phys. Fluids 2014, 26, 33105. [Google Scholar] [CrossRef]
- Fu, Q.-F.; Yang, L.-J.; Tong, M.-X.; Wang, C. Absolute and convective instability of a liquid sheet with transverse temperature gradient. Int. J. Heat Fluid Flow 2013, 44, 652–661. [Google Scholar] [CrossRef]
- Zhang, S.; Lan, X.-D.; Zhou, M. Thermocapillary instability of a liquid sheet with centrifugal force. J. Braz. Soc. Mech. Sci. Eng. 2018, 40, 47. [Google Scholar] [CrossRef]
- Ashgriz, N.; Mashayek, F. Temporal analysis of capillary jet breakup. J. Fluid Mech. 1995, 291, 163–190. [Google Scholar] [CrossRef]
- Xu, J.-J.; Davis, S.H. Instability of capillary jets with thermocapillarity. J. Fluid Mech. 1985, 161, 1–25. [Google Scholar] [CrossRef]
- Dijkstra, H.A.; Steen, P.H. Thermocapillary stabilization of the capillary breakup of an annular film of liquid. J. Fluid Mech. 1991, 229, 205–228. [Google Scholar] [CrossRef]
- Li, S.; Yang, R.; Mu, K.; Luo, X.; Si, T. Thermal effects on the instability of coaxial liquid jets in the core of a gas stream. Phys. Fluids 2019, 31, 032106. [Google Scholar] [CrossRef]
- Incropera, F.P.; Dewitt, D.P.; Bergman, T.L.; Lavine, A.S. Fundamentals of Heat and Mass Transfer; New Age International: New Delhi, India, 2006. [Google Scholar]
- Joseph, D.; Funada, T.; Wang, J. Potential Flows of Viscous and Viscoelastic Fluids; Cambridge University Press: New York, NY, USA, 2008. [Google Scholar]
- Funada, T.; Joseph, D.D. Viscous potential flow analysis of Kelvin-Helmholtz instability in a channel. J. Fluid Mech. 2001, 445, 263–283. [Google Scholar] [CrossRef]
- Joshi, A.; Radhakrishna, M.C.; Rudraiah, N. Kelvin-Helmholtz instability in viscoelastic fluids in presence of electro-magnetic fields. Phys. Fluids 2011, 23, 094107. [Google Scholar] [CrossRef]
- Tammisola, O.; Sasaki, A.; Lundell, F.; Matsubara, M.; Söderberg, L.D. Stabilizing effect of surrounding gas flow on a plane liquid sheet. J. Fluid Mech. 2011, 672, 5–32. [Google Scholar] [CrossRef]
- Xie, L.; Yang, L.-J. Axisymmetric and nonaxisymmetric instability of a charged viscoelastic jet under an axial magnetic field. J. Non-Newtonian Fluid Mech. 2017, 248, 92–98. [Google Scholar] [CrossRef]
- Duan, R.-Z.; Chen, Z.-Y.; Wang, C.; Yang, L.-J. Instability of a confined viscoelastic liquid sheet in a viscous gas medium. J. Fluids Eng. 2013, 135, 121204. [Google Scholar] [CrossRef]
- Ye, H.-Y.; Yang, L.-J.; Fu, Q.-F. Spatial instability of viscous double-layer liquid sheets. Phys. Fluids 2016, 28, 102101. [Google Scholar] [CrossRef]
- Xie, L.; Jia, B.-Q.; Cui, X.; Yang, L.-J.; Fu, Q.-F. Linear analysis and energy budget of viscous liquid jets in both axial and radial electric fields. Appl. Math. Model. 2020, 83, 400–418. [Google Scholar] [CrossRef]
- Lin, S.P. Breakup of Liquid Sheets and Jets; Cambridge University Press: New York, NY, USA, 2003. [Google Scholar]














Publisher’s Note: MDPI stays neutral with regard to jurisdictional claims in published maps and institutional affiliations. |
© 2021 by the authors. Licensee MDPI, Basel, Switzerland. This article is an open access article distributed under the terms and conditions of the Creative Commons Attribution (CC BY) license (https://creativecommons.org/licenses/by/4.0/).
Share and Cite
Cui, X.; Jia, B. Thermal Effect on the Instability of Annular Liquid Jet. Aerospace 2021, 8, 382. https://doi.org/10.3390/aerospace8120382
Cui X, Jia B. Thermal Effect on the Instability of Annular Liquid Jet. Aerospace. 2021; 8(12):382. https://doi.org/10.3390/aerospace8120382
Chicago/Turabian StyleCui, Xiao, and Boqi Jia. 2021. "Thermal Effect on the Instability of Annular Liquid Jet" Aerospace 8, no. 12: 382. https://doi.org/10.3390/aerospace8120382
APA StyleCui, X., & Jia, B. (2021). Thermal Effect on the Instability of Annular Liquid Jet. Aerospace, 8(12), 382. https://doi.org/10.3390/aerospace8120382
