Optimal Guidance Law with Impact-Angle Constraint and Acceleration Limit for Exo-Atmospheric Interception
Abstract
:1. Introduction
2. Model Formulation
3. Derivation of IACOGL
3.1. Order Reduction Transformation
3.2. Closed-Loop Optimal Guidance Command
4. IACOGL with Acceleration Limit
4.1. Analytical Solution to Guidance Command
4.2. Maximum of Guidance Command
4.2.1. Expression to Maximum of Guidance Command
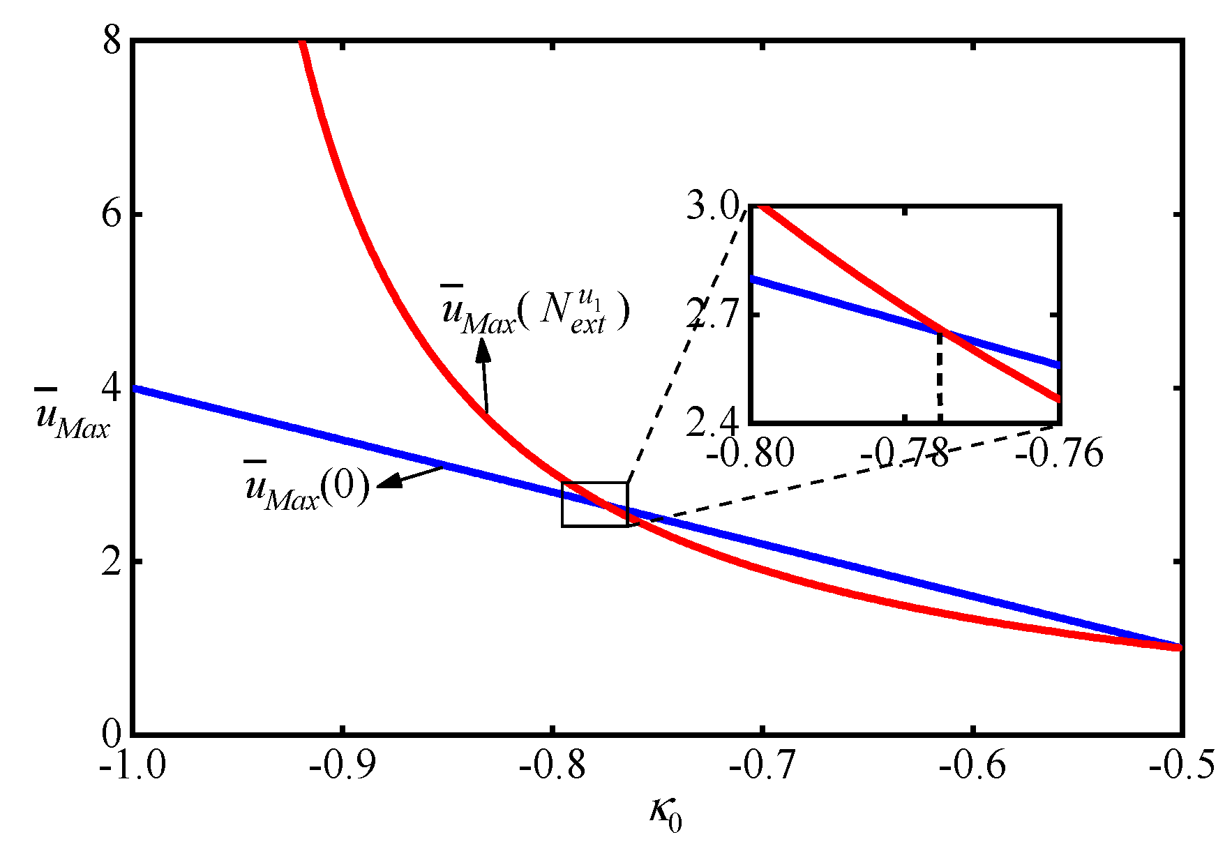
4.2.2. Weighted Gain Minimal Maximum of Guidance Command
4.3. Total Maneuvering Energy
4.4. Weighted Gain for Limiting Maximum Guidance Command
4.5. Implementation of Proposed Guidance Law
- (1)
- Initialization: Set initial simulation parameters.
- (2)
- Linearization of relative motion model: Construct the linear model for guidance law derivation based on the current value of , , , , and .
- (3)
- Determine whether to update the weighted gain according to the following conditions:
- The current guidance step is the first one.
- There is the case mentioned in the previous subsection where the weighted gain needs to be updated:
- i:
- The current guidance command generated by the current weighted gain is not within the acceleration limit, update the weighted gain as .
- ii:
- If , re-select the weighted gain to zero at the point .
- (4)
- Derive the closed-form expression to guidance command of the lag-free dynamic.
- (5)
- Calculate the maximum of guidance command and the total maneuvering energy based on the closed-form expression to guidance command.
- (6)
- Select the optimal weighted gain that minimal the total maneuvering energy while satisfying the acceleration constraint.
- (7)
- Using (28), generate the current guidance command with the selected weighted gain.
- (8)
- Apply the guidance command to the real nonlinear relative motion model and update the initial state, then return step 2.
5. Simulation Results
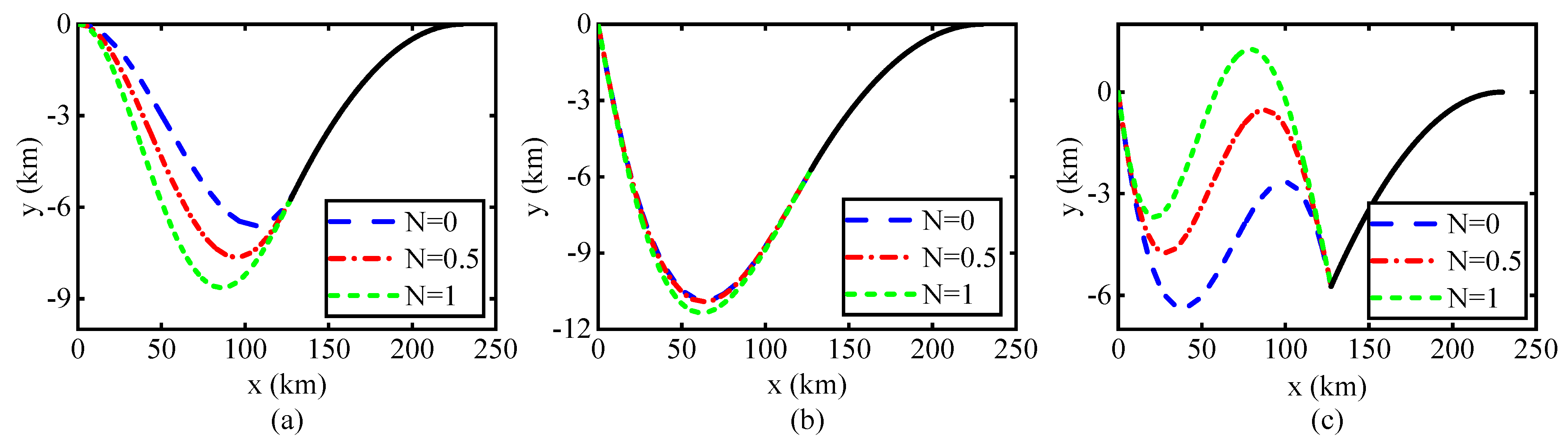
5.1. Normal Simulation of Proposed Guidance Law
5.2. Comparison with Other Guidance Law
6. Conclusions
Author Contributions
Funding
Institutional Review Board Statement
Informed Consent Statement
Data Availability Statement
Conflicts of Interest
Appendix A
References
- Han, T.; Hu, Q.; Xin, M. Analytical solution of field-of-view limited guidance with constrained impact and capturability analysis. Aerosp. Sci. Technol. 2020, 97, 105586. [Google Scholar] [CrossRef]
- Liu, B.; Hou, M.; Feng, D. Nonlinear mapping based impact angle control guidance with seeker’s field-of-view constraint. Aerosp. Sci. Technol. 2019, 86, 724–736. [Google Scholar] [CrossRef]
- Bryson, A.E.; Ho, Y.-C. Applied Optimal Control; John Wiley & Sons: New York, NY, USA, 1975; pp. 154–155. [Google Scholar]
- Ben-Asher, J.Z.; Yaesh, I. Advances in Missile Guidance Theory; AIAA, Inc.: Reston, VA, USA, 1998; pp. 123–130. [Google Scholar]
- Kim, M.; Grider, K.V. Terminal Guidance for Impact Attitude Angle Constrained Flight Trajectories. IEEE Trans. Aerosp. Electron. Syst. 1973, AES-9, 852–859. [Google Scholar] [CrossRef]
- York, R.J.; Pastrick, H.L. Optimal Terminal Guidance with Constraints at Final Time. J. Spacecr. Rocket. 1977, 14, 381–383. [Google Scholar] [CrossRef]
- Pastrick, H.; York, R. Optimal control for an air defense interceptor: Part I. In Proceedings of the 1980 IEEE Southeastcon, Knoxville, TN, USA, 10–13 April 1980; pp. 229–232. [Google Scholar]
- Ryoo, C.-K.; Cho, H.; Tahk, M.-J. Optimal Guidance Laws with Terminal Impact Angle Constraint. J. Guid. Control Dyn. 2005, 28, 724–732. [Google Scholar] [CrossRef]
- Song, T.L.; Shin, S.J.; Cho, H. Impact Angle Control for Planar Engagements. IEEE Trans. Aerosp. Electron. Syst. 1999, 35, 1439–1444. [Google Scholar] [CrossRef]
- Shaferman, V.; Shima, T. Linear Quadratic Guidance Laws for Imposing a Terminal Intercept Angle. J. Guid. Control Dyn. 2008, 31, 1400–1412. [Google Scholar] [CrossRef]
- Rusnak, I.; Weiss, H.; Eliav, R. Missile guidance with constrained terminal body angle. In Proceedings of the 2010 IEEE 26th Convention of Electrical and Electronics Engineers in Israel, Eilat, Israel, 17–20 November 2010; pp. 45–49. [Google Scholar]
- Idan, M.; Golan, O.M.; Guelman, M. Optimal planar interception with terminal constraints. J. Guid. Control Dyn. 1995, 18, 1273–1279. [Google Scholar] [CrossRef]
- Chang-Kyung, R.; Hangju, C.; Min-Jea, T. Time-to-go weighted optimal guidance with impact angle constraints. IEEE Trans. Control Syst. Technol. 2006, 14, 483–492. [Google Scholar] [CrossRef]
- Ohlmeyer, E.J. Control of terminal engagement geometry using generalized vector explicit guidance. In Proceedings of the 2003 American Control Conference, Denver, CO, USA, 4–6 June 2003; pp. 396–401. [Google Scholar]
- Ohlmeyer, E.J.; Phillips, C.A. Generalized Vector Explicit Guidance. J. Guid. Control Dyn. 2006, 29, 261–268. [Google Scholar] [CrossRef]
- He, S.; Lee, C.-H. Optimal Impact Angle Guidance for Exoatmospheric Interception Utilizing Gravitational Effect. IEEE Trans. Aerosp. Electron. Syst. 2019, 55, 1–10. [Google Scholar] [CrossRef] [Green Version]
- Lee, C.-H.; Tahk, M.-J.; Lee, J.-I. Generalized Formulation of Weighted Optimal Guidance Laws with Impact Angle Constraint. IEEE Trans. Aerosp. Electron. Syst. 2013, 49, 1317–1322. [Google Scholar] [CrossRef] [Green Version]
- Xiong, S.; Wei, M.; Zhao, M.; Xiong, H.; Wang, W.; Zhou, B. Hyperbolic tangent function weighted optimal intercept angle guidance law. Aerosp. Sci. Technol. 2018, 78, 604–619. [Google Scholar] [CrossRef]
- Li, C.; Wang, J.; He, S.; Lee, C.-H. Collision-geometry-based generalized optimal impact angle guidance for various missile and target motions. Aerosp. Sci. Technol. 2020, 106, 106204. [Google Scholar] [CrossRef]
- Kim, B.S.; Lee, J.G.; Han, H.S. Biased PNG law for impact with angular constraint. IEEE Trans. Aerosp. Electron. Syst. 1998, 34, 277–288. [Google Scholar] [CrossRef]
- Ratnoo, A.; Ghose, D. Impact Angle Constrained Guidance Against Nonstationary Nonmaneuvering Targets. J. Guid. Control Dyn. 2010, 33, 269–275. [Google Scholar] [CrossRef]
- Erer, K.S.; Merttopçuoglu, O. Indirect Impact-Angle-Control Against Stationary Targets Using Biased Pure Proportional Navigation. J. Guid. Control Dyn. 2012, 35, 700–704. [Google Scholar] [CrossRef]
- Kim, T.-H.; Park, B.-G.; Tahk, M.-J. Bias-Shaping Method for Biased Proportional Navigation with Terminal-Angle Constraint. J. Guid. Control Dyn. 2013, 36, 1810–1816. [Google Scholar] [CrossRef]
- Lee, C.-H.; Kim, T.-H.; Tahk, M.-J. Interception Angle Control Guidance Using Proportional Navigation with Error Feedback. J. Guid. Control Dyn. 2013, 36, 1556–1561. [Google Scholar] [CrossRef]
- Kumar, S.R.; Rao, S.; Ghose, D. Sliding-Mode Guidance and Control for All-Aspect Interceptors with Terminal Angle Constraints. J. Guid. Control Dyn. 2012, 35, 1230–1246. [Google Scholar] [CrossRef]
- Cho, D.; Kim, H.J.; Tahk, M.-J. Impact angle constrained sliding mode guidance against maneuvering target with unknown acceleration. IEEE Trans. Aerosp. Electron. Syst. 2015, 51, 1310–1323. [Google Scholar] [CrossRef]
- Ji, Y.; Lin, D.; Wang, W.; Hu, S.; Pei, P. Three-dimensional terminal angle constrained robust guidance law with autopilot lag consideration. Aerosp. Sci. Technol. 2019, 86, 160–176. [Google Scholar] [CrossRef]
- Chen, Z.; Chen, W.; Liu, X.; Cheng, J. Three-dimensional fixed-time robust cooperative guidance law for simultaneous attack with impact angle constraint. Aerosp. Sci. Technol. 2021, 110, 106523. [Google Scholar] [CrossRef]
- Hu, Q.; Cao, R.; Han, T.; Xin, M. Field-of-view limited guidance with impact angle constraint and feasibility analysis. Aerosp. Sci. Technol. 2021, 114, 106753. [Google Scholar] [CrossRef]
- Rusnak, I.; Meir, L. Optimal guidance for acceleration constrained missile and maneuvering target. IEEE Trans. Aerosp. Electron. Syst. 1990, 26, 618–624. [Google Scholar] [CrossRef]
- Hexner, G.; Shima, T.; Weiss, H. LQG Guidance Law with Bounded Acceleration Command. IEEE Trans. Aerosp. Electron. Syst. 2008, 44, 77–86. [Google Scholar] [CrossRef]
- Weiss, M.; Shima, T. Optimal Linear-Quadratic Missile Guidance Laws with Penalty on Command Variability. J. Guid. Control Dyn. 2015, 38, 226–237. [Google Scholar] [CrossRef]
















| Parameters | Values |
|---|---|
| Missile-target initial relative range, | 230 km |
| Initial LOS angle, | 0° |
| Missile initial velocity, | 4000 m/s |
| Target initial velocity, | 3000 m/s |
| Target initial flight-path angle, | 0° |
| Gravitational acceleration, | 9.8 m/s2 |
| Acceleration Limit (m/s2) | Proposed Guidance | OGL-CTIA | ||
|---|---|---|---|---|
| Miss (m) | Angle Error (deg) | Miss (m) | Angle Error (deg) | |
| 65 | 2.04 × 10-3 | 1.52 × 10-3 | 257.54 | 1.26 |
| 75 | 7.42×10-3 | 8.08×10-3 | 32.88 | 0.26 |
| 85 | 3.68 × 10-3 | 4.11 × 10-3 | 3.68 × 10-3 | 4.11 × 10-3 |
Publisher’s Note: MDPI stays neutral with regard to jurisdictional claims in published maps and institutional affiliations. |
© 2021 by the authors. Licensee MDPI, Basel, Switzerland. This article is an open access article distributed under the terms and conditions of the Creative Commons Attribution (CC BY) license (https://creativecommons.org/licenses/by/4.0/).
Share and Cite
Zhao, S.; Chen, W.; Yang, L. Optimal Guidance Law with Impact-Angle Constraint and Acceleration Limit for Exo-Atmospheric Interception. Aerospace 2021, 8, 358. https://doi.org/10.3390/aerospace8120358
Zhao S, Chen W, Yang L. Optimal Guidance Law with Impact-Angle Constraint and Acceleration Limit for Exo-Atmospheric Interception. Aerospace. 2021; 8(12):358. https://doi.org/10.3390/aerospace8120358
Chicago/Turabian StyleZhao, Shilei, Wanchun Chen, and Liang Yang. 2021. "Optimal Guidance Law with Impact-Angle Constraint and Acceleration Limit for Exo-Atmospheric Interception" Aerospace 8, no. 12: 358. https://doi.org/10.3390/aerospace8120358
APA StyleZhao, S., Chen, W., & Yang, L. (2021). Optimal Guidance Law with Impact-Angle Constraint and Acceleration Limit for Exo-Atmospheric Interception. Aerospace, 8(12), 358. https://doi.org/10.3390/aerospace8120358

