Buckling Knockdown Factors of Composite Cylinders under Both Compression and Internal Pressure
Abstract
:1. Introduction
2. Simulation Methods
2.1. Thin-Walled Composite Cylinder Models
2.2. Modeling Techniques for Compressive Force and Internal Pressure
2.3. Initial Imperfection Modeling and Post-Buckling Analysis
3. Results
3.1. Nonlinear Post-Buckling Analyses without Internal Pressure
3.2. Nonlinear Post-Buckling Analyses with Internal Pressure
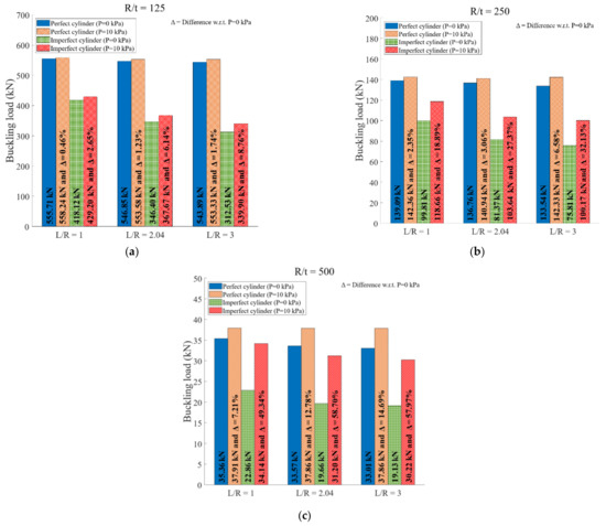
3.3. Effect of Internal Pressure on Global Buckling Load
3.4. Effect of Internal Pressure on Buckling Knockdown Factor
4. Conclusions
Author Contributions
Funding
Data Availability Statement
Conflicts of Interest
References
- Salt, D.J. Space operations for a newspace era. In Proceedings of the SpaceOps 2010 Conference, Huntsville, AL, USA, 25–30 April 2010. [Google Scholar] [CrossRef]
- Peterson, J.P.; Seide, P.; Weingarten, V.I. Buckling of Thin-Walled Circular Cylinders–NASA SP-8007. 1968. Available online: https://ntrs.nasa.gov/citations/20205011530 (accessed on 1 May 2020).
- Hilburger, M.W. Shell Buckling Knockdown Factor Project Overview and Status, NASA/NF1676L-21449. 2015. Available online: https://ntrs.nasa.gov/citations/20160007439 (accessed on 6 May 2020).
- Hilburger, M.W.; Waters, W.A.J.; Haynie, W.T. Buckling Test Results from the 8-Foot-Diameter orthogrid-Stiffened Cylinder Test Article TA01, NF1676L-20067. 2015. Available online: https://ntrs.nasa.gov/citations/20150017037 (accessed on 1 August 2020).
- Hilburger, M.W.; Waters, W.A.J.; Haynie, W.T.; Thornburgh, R.P. Buckling Test Results from the 8-Foot-Diameter Orthogrid-Stiffened Cylinder Test Article TA02, NASA/TP-2017-219587, L-20801, NF1676L-26704. 2017. Available online: https://ntrs.nasa.gov/citations/20170005857 (accessed on 1 August 2020).
- Degenhardt, R. New robust design guideline for imperfection sensitive composite launcher structures–The DESICOS project. In Proceedings of the 13th European Conference on Spacecraft Structures, Materials and Environment Testing, Braunscheweig, Germany, 1–4 April 2014. [Google Scholar]
- Degenhardt, R.; Kling, A.; Zimmermann, R.; Odermann, F.; Araújo, F.C. Chapter Dealing with Imperfection Sensitivity of Composite Structures Prone to Buckling; InTechOpen Ltd.: London, UK, 2012; pp. 1–16. [Google Scholar]
- Hao, P.; Wang, B.; Li, G.; Meng, Z.; Tian, K.; Zeng, D.; Tang, X. Worst multiple perturbation load approach of stiffened shells with and without cutouts for improved knockdown factors. Thin-Walled Struct. 2014, 82, 321–330. [Google Scholar] [CrossRef]
- Hao, P.; Wang, B.; Li, G.; Meng, Z.; Tian, K.; Tang, X. Hybrid optimization of hierarchical stiffened shells based on smeared stiffener method and finite element method. Thin-Walled Struct. 2014, 82, 46–54. [Google Scholar] [CrossRef]
- Zhao, Y.; Chen, M.; Yang, F.; Zhang, L.; Fang, D. Optimal design of hierarchical grid-stiffened cylindrical shell structures based on linear buckling and nonlinear collapse analyses. Thin-Walled Struct. 2017, 119, 315–323. [Google Scholar] [CrossRef]
- Wang, B.; Tian, K.; Zhou, C.; Hao, P.; Zheng, Y.; Ma, Y.; Wang, J. Grid-pattern optimization framework of novel hierarchical stiffened shells allowing for imperfection sensitivity. Aerosp. Sci. Technol. 2017, 62, 114–121. [Google Scholar] [CrossRef]
- Wang, B.; Du, K.; Hao, P.; Zhou, C.; Tian, K.; Xu, S.; Ma, Y.; Zhang, X. Numerically and experimentally predicted knockdown factors for stiffened shells under axial compression. Thin-Walled Struct. 2016, 109, 13–24. [Google Scholar] [CrossRef]
- Orifici, A.; Bisgani, C. Perturbation-based imperfection analysis for composite cylindrical shells buckling in compression. Compos. Struct. 2013, 106, 520–528. [Google Scholar] [CrossRef] [Green Version]
- Bisgani, C. Composite cylindrical shells under static and dynamic axial loading: An experimental campaign. Prog. Aerosp. Sci. 2015, 78, 107–115. [Google Scholar] [CrossRef]
- Takano, A. Statistical knockdown factors of buckling anisotropic cylinders under axial compression. J. Appl. Mech. 2012, 79. [Google Scholar] [CrossRef]
- Hühne, C.; Rolfes, R.; Breitbach, E.; Teßmer, J. Robust design of composite cylindrical shells under axial compression—Simulation and validation. Thin-Walled Struct. 2008, 46, 947–962. [Google Scholar] [CrossRef]
- Wagner, H.N.R.; Hühne, C. Robust knockdown factors for the design of cylindrical shells under axial compression: Potentials, practical application and reliability analysis. Int. J. Mech. Sci. 2018, 135, 410–430. [Google Scholar] [CrossRef]
- Degenhardt, R.; Bethge, A.; Kling, A.; Zimmermann, R.; Rohwer, K. Probabilistic approach for better buckling knockdown factors of CFRP cylindrical shells–Tests and analyses. In Proceedings of the 18th Engineering Mechanics Division Conference of the American Society of Civil Engineers, Blacksburg, VA, USA, 3–6 June 2007. [Google Scholar]
- Wagner, H.N.R.; Hühne, C.; Janssen, M. Buckling of cylindrical shells under axial compression with loading imperfections: An experimental and numerical campaign on low knockdown factors. Thin-Walled Struct. 2020, 151, 106764. [Google Scholar] [CrossRef]
- Geier, B.; Meyer-Piening, H.-R.; Zimmermann, R. On the influence of laminate stacking on buckling of composite cylindrical shells subjected to axial compression. Compos. Struct. 2002, 55, 467–474. [Google Scholar] [CrossRef]
- Anonymous, Falcon User’s Guide, SPACE Exploration Technologies Corp. 2020. Available online: https://www.spacex.com/media/falcon-users-guide-2021-08.pdf (accessed on 1 August 2020).
- Anonymous, Ariane 5 User’s Manual Issue 5 Revision 2, Arianespace. 2016. Available online: https://www.arianespace.com/wp-content/uploads/2011/07/Ariane5_Users-Manual_October2016.pdf (accessed on 1 October 2020).
- Lo, H.; Crate, H.; Schwartz, E.B. Buckling of Thin-Walled Cylinder under Axial Compression and Internal Pressure, NACA/TR-1027. 1951. Available online: https://ntrs.nasa.gov/citations/19930090955 (accessed on 1 January 2021).
- Graham, J.B.; Luz, P.L. Preliminary In-Flight Loads Analysis of In-Line Launch Vehicles Using the VLOADS 1.4 Program, NASA/TM-1998-208472. 1998. Available online: https://ntrs.nasa.gov/citations/19980201045 (accessed on 1 June 2020).
- Hilburger, M.W. On the Development of Shell Buckling Knockdown Factors for Stiffened Metallic Launch Vehicle Cylinders. In Proceedings of the 2018 AIAA/ASCE/AHS/ASC Structures, Structural Dynamics, and Materials Conference, Kissimmee, FL, USA, 8–12 January 2018. [Google Scholar]
- Kim, H.-I.; Sim, C.-H.; Park, J.-S.; Kim, D.-Y.; Yoo, J.-T.; Yoon, Y.H.; Lee, K. Postbuckling analyses and derivations of shell knockdown factors for isogrid-stiffened cylinders under compressive force and internal pressure. J. Korean Soc. Aeronaut. Space Sci. 2020, 48, 653–661. [Google Scholar] [CrossRef]
- Kim, H.-I.; Sim, C.-H.; Park, J.-S.; Lee, K.; Yoo, J.-T.; Yoon, Y.-H. Numerical derivation of buckling knockdown factors for isogrid-stiffened cylinders with various shell thickness ratios. Int. J. Aerosp. Eng. 2020. [Google Scholar] [CrossRef]
- Sim, C.-H.; Kim, H.-I.; Park, J.-S.; Lee, K. Derivation of knockdown factors for grid-stiffened cylinders considering various shell thickness ratios. Aircr. Eng. Aerosp. Technol. 2019, 91, 1314–1326. [Google Scholar] [CrossRef]
- Sim, C.-H.; Park, J.-S.; Kim, H.-I.; Lee, Y.-L.; Lee, K. Postbuckling analyses and derivations of knockdown factors for hybrid-grid stiffened cylinders. Aerosp. Sci. Technol. 2018, 82–83, 20–31. [Google Scholar] [CrossRef]
- Sim, C.-H.; Kim, H.-I.; Lee, Y.-L.; Park, J.-S.; Lee, K. Derivations of knockdown factors for cylindrical structures considering different initial imperfection models and thickness ratios. Int. J. Aeronaut. Space Sci. 2018, 19, 626–635. [Google Scholar] [CrossRef]
- Koiter, W.T. A Translation of the Stability of Elastic Equilibrium; Management Information Services Ltd.: Detroit, MI, USA, 1970. [Google Scholar]
- Kármán, T.V.; Tsien, H.S. The buckling of thin cylindrical shells under axial compression. J. Aeronaut. Sci. 1941, 8, 303–312. [Google Scholar] [CrossRef]
- Elishakoff, I. Probabilistic resolution of the twentieth century conundrum in elastic stability. Thin-Walled Struct. 2012, 59, 35–57. [Google Scholar] [CrossRef]
- Wagner, H.N.R.; Hühne, C.; Niemann, S.; Khakimova, R. Robust design criterion for axially loaded cylindrical shells- Simulation and validation. Thin-Walled Struct. 2017, 115, 154–162. [Google Scholar] [CrossRef]
- Deml, M.; Wunderlich, W. Direct evaluation of the ‘worst’ imperfection shape in shell buckling. Comput. Methods Appl. Mech. Eng. 1997, 149, 201–222. [Google Scholar] [CrossRef]
- Wagner, H.N.R.; Hühne, C.; Niemann, S. Constant single-buckling imperfection principle to determine a lower bound for the buckling load of unstiffened composite cylinders under axial compression. Compos. Struct. 2016, 139, 120–129. [Google Scholar] [CrossRef]
- Hilburger, M.W. Developing the next generation shell buckling design factors and technologies. In Proceedings of the 53rd AIAA/ASME/ASCE/AHS/ASC Structures, Structural Dynamics and Materials Conference, Honolulu, HI, USA, 23–26 April 2012. [Google Scholar]














| Property | Value |
|---|---|
| Radius, R (m) | 0.25 |
| Length, L (m) | 0.51 |
| Thickness, t (m) | 0.0005 |
| Ply thickness, tply (m) | 0.000125 |
| Poisson’s ratio, νLT | 0.271 |
| Elastic modulus, EL (MPa) | 125,774 |
| Elastic modulus, ET (MPa) | 10,030 |
| Shear modulus, GLT (MPa) | 5555 |
| Lay-up condition (deg) | (+24/−24/+41/−41) |
| Lay-Up Condition | (+24n/−24n/+41n/−41n) | ||
|---|---|---|---|
| Thickness ratio, R/t | 125 | 250 | 500 |
| Thickness, t (m) | 0.002 | 0.001 | 0.0005 |
| Number of plies, n | 4 | 2 | 1 |
| Slenderness ratio, L/R | 1 | 2.04 | 3 |
| Length, L (m) | 0.25 | 0.51 | 0.75 |
Publisher’s Note: MDPI stays neutral with regard to jurisdictional claims in published maps and institutional affiliations. |
© 2021 by the authors. Licensee MDPI, Basel, Switzerland. This article is an open access article distributed under the terms and conditions of the Creative Commons Attribution (CC BY) license (https://creativecommons.org/licenses/by/4.0/).
Share and Cite
Kim, D.-Y.; Sim, C.-H.; Park, J.-S.; Yoo, J.-T.; Yoon, Y.-H.; Lee, K. Buckling Knockdown Factors of Composite Cylinders under Both Compression and Internal Pressure. Aerospace 2021, 8, 346. https://doi.org/10.3390/aerospace8110346
Kim D-Y, Sim C-H, Park J-S, Yoo J-T, Yoon Y-H, Lee K. Buckling Knockdown Factors of Composite Cylinders under Both Compression and Internal Pressure. Aerospace. 2021; 8(11):346. https://doi.org/10.3390/aerospace8110346
Chicago/Turabian StyleKim, Do-Young, Chang-Hoon Sim, Jae-Sang Park, Joon-Tae Yoo, Young-Ha Yoon, and Keejoo Lee. 2021. "Buckling Knockdown Factors of Composite Cylinders under Both Compression and Internal Pressure" Aerospace 8, no. 11: 346. https://doi.org/10.3390/aerospace8110346
APA StyleKim, D.-Y., Sim, C.-H., Park, J.-S., Yoo, J.-T., Yoon, Y.-H., & Lee, K. (2021). Buckling Knockdown Factors of Composite Cylinders under Both Compression and Internal Pressure. Aerospace, 8(11), 346. https://doi.org/10.3390/aerospace8110346

