Sustainable Supersonic Fuel Flow Method: An Evolution of the Boeing Fuel Flow Method for Supersonic Aircraft Using Sustainable Aviation Fuels
Abstract
:1. Introduction
2. Biofuels: Technological and Environmental Challenges for the Future Aviation Sector
- Fischer–Tropsch synthetic paraffinic kerosene (FT-SPK).
- FT-SPK with aromatics (FT-SPK/A).
- Hydroprocessed esters and fatty acids (HEFA-SPK).
- Hydroprocessed fermented sugars to synthetic isoparaffins (HFS-SIP).
- Alcohol-to-jet synthetic paraffinic kerosene (ATJ-SPK).
- Catalytic hydrothermolysis synthesised kerosene (CH-SK or CHJ).
- Hydroprocessed hydrocarbons, esters, and fatty acids paraffinic kerosene (HHC-SPK or HC-HEFA-SPK).
3. The Sustainable Supersonic Fuel Flow Method (S2F2)
3.1. The Original “Fuel Flow Method 2” by Boeing
3.2. The Pressure and Temperature Correction Factors for Supersonic Aircraft
3.3. The Fuel-Flow Rate Correction for Sustainable Aviation Fuels
4. Model Validation and Main Results (S2F2)
4.1. Model Validation with Concorde Experimental In-Flight Test Campaign Data
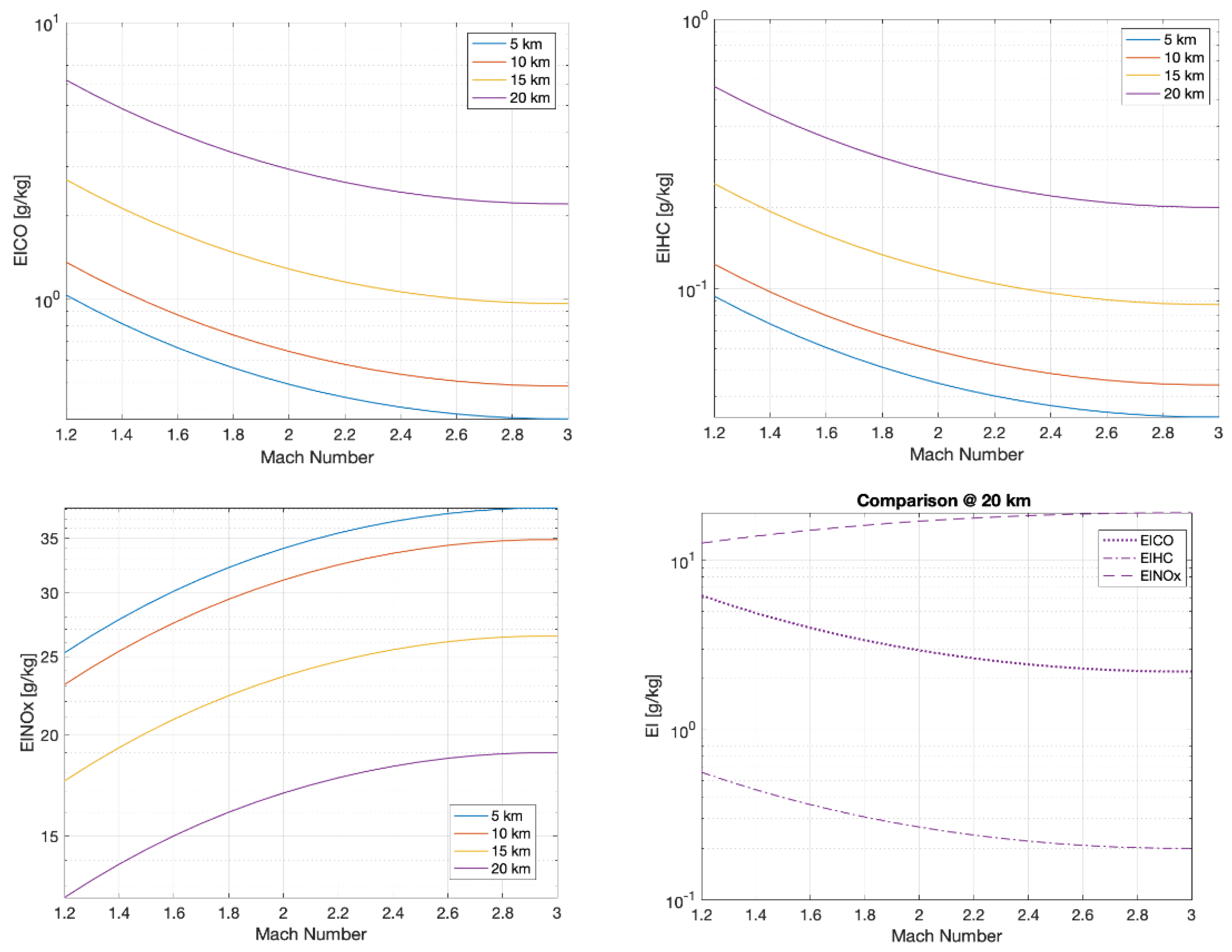
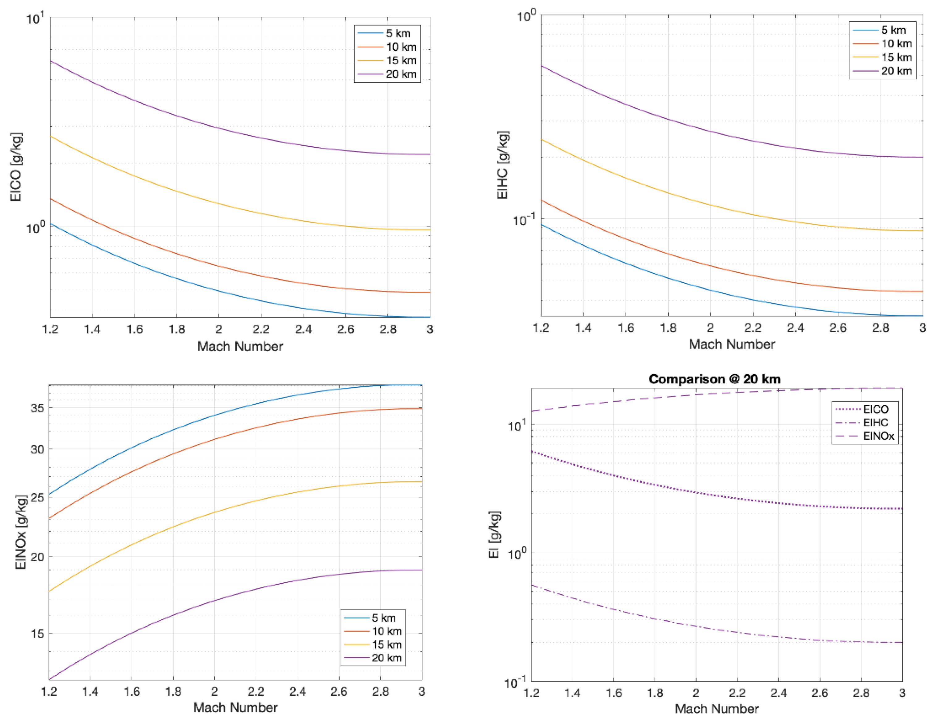
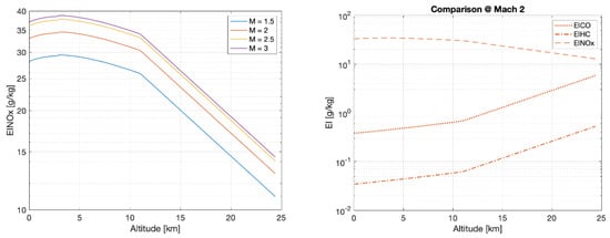
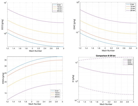
4.2. Parametric Analysis of the Impact of Cruise Conditions on Emission Indexes
4.3. Concorde Emission Estimation throughout a Reference Trajectory
4.4. Discussion on the Applicability of S2F2 to Future SST
5. Conclusions
Author Contributions
Funding
Institutional Review Board Statement
Informed Consent Statement
Conflicts of Interest
References
- Eurocontrol Forecast Update 2021–2024 European Flight Movements and Service Units—Three Scenarios for Recovery from COVID-19. Available online: https://www.eurocontrol.int/publication/eurocontrol-forecast-update-2021-2024 (accessed on 6 October 2021).
- Blockley, R. Green Aviation; John Wiley & Sons: Hoboken, NJ, USA, 2016. [Google Scholar]
- Roland Berger. Sustainable Aviation Fuels: The Best Solution to Large Sustainable Aircraft? Roland Berger: Munich, Germany, 2020. [Google Scholar]
- Voigt, C.; Kleine, J.; Sauer, D.; Moore, R.H.; Bräuer, T.; Le Clercq, P.; Kaufmann, S.; Scheibe, M.; Jurkat-Witschas, T.; Aigner, M.; et al. Cleaner burning aviation fuels can reduce contrail cloudiness. Commun. Earth Environ. 2021, 2, 1–10. [Google Scholar] [CrossRef]
- Narciso, M.; de Sousa, J.M.M. Influence of Sustainable Aviation Fuels on the Formation of Contrails and Their Properties. Energies 2021, 14, 5557. [Google Scholar] [CrossRef]
- Clean Sky 2 JU. Hydrogen-Powered Aviation: A Fact-Based Study of Hydrogen Technology, Economics, and Climate Impact by 2050; Clean Sky: Brussels, Belgium, 2020. [Google Scholar]
- Stevenson, D.S.; Doherty, R.M.; Sanderson, M.G.; Collins, W.J.; Johnson, C.E.; Derwent, R.G. Radiative forcing from aircraft NOx emissions: Mechanisms and seasonal dependence. J. Geophys. Res. Atmos. 2004, 109. [Google Scholar]
- Ferretto, D.; Fusaro, R.; Viola, N. Innovative Multiple Matching Charts Approach to Support the Conceptual Design of Hypersonic Vehicles. Proc. Inst. Mech. Eng. Part G J. Aerosp. Eng. 2020, 234, 1893–1912. [Google Scholar] [CrossRef]
- Sarli, V.J.; Eiler, D.C.; Marshall, R.L. Effects of operating variables on gaseous emissions. In Proceedings of the Air Pollution Control Association Speciality Conference on Air Pollution Measurement Accuracy As It Relates to Regulation Compliance, New Orleans, LA, USA, 26 October 1975. [Google Scholar]
- DuBois, D.; Paynter, G.C. Fuel Flow Method2 for Estimating Aircraft Emissions. SAE Trans. 2006, 115, 1–14. [Google Scholar]
- Ali, D. NOx emissions of turbofan powered unmanned aerial vehicle for complete flight cycle. Chin. J. Aeronaut. 2020, 33, 1683–1691. [Google Scholar] [CrossRef]
- Wang, Y.; Yin, H.; Zhang, S.; Yu, X. Multi-objective optimization of aircraft design for emission and cost reductions. Chin. J. Aeronaut. 2014, 27, 52–58. [Google Scholar] [CrossRef] [Green Version]
- Air Transport Action Group. Beginner’s Guide to Sustainable Aviation Fuel, 3rd ed.; Air Transport Action Group: Geneva, Switzerland, 2017. [Google Scholar]
- ICAO. Sustainable Aviation Fuels Guide (Transforming Global Aviation Collection); ICAO: Montreal, QC, Canada, 2017. [Google Scholar]
- Yang, J.; Xin, Z.; Corscadden, K.; Niu, H. An overview on performance characteristics of bio-jet fuels. Fuel 2019, 237, 916–936. [Google Scholar] [CrossRef]
- IRENA. Biofuels for Aviation: Technology Brief; IRENA: Abu Dhabi, United Arab Emirates, 2017. [Google Scholar]
- IRENA. Reaching Zero with Renewables: Biojet Fuels, International Renewable Energy Agency; IRENA: Abu Dhabi, United Arab Emirates, 2021; ISBN 978-92-9260-350-2. [Google Scholar]
- Przysowa, R.; Gawron, B.; Białecki, T.; Łęgowik, A.; Merkisz, J.; Jasiński, R. Performance and Emissions of a Microturbine and Turbofan Powered by Alternative Fuels. Aerospace 2021, 8, 25. [Google Scholar] [CrossRef]
- Gawron, B.; Białecki, T.; Janicka, A.; Suchocki, T. Combustion and Emissions Characteristics of the Turbine Engine Fueled with HEFA Blends from Different Feedstocks. Energies 2020, 13, 1277. [Google Scholar] [CrossRef] [Green Version]
- Braun-Unkhoff, M.; Riedel, U.; Wahl, C. About the emissions of alternative jet fuels. CEAS Aeronaut. J. 2017, 8, 167–180. [Google Scholar]
- ICAO. ICAO Engine Emissions Databank; ICAO: Montreal, QC, Canada, 2020. [Google Scholar]
- Anderson, J.D., Jr. Fundamentals of Aerodynamics; Tata McGraw-Hill Education: New York, NY, USA, 2010. [Google Scholar]
- AIAA Foundation Student. Let’s Re-Engine the Concorde, Design Competition Request for Proposal; AIAA: Reston, VA, USA, 2020. [Google Scholar]
- Zschocke, A.; Scheuermann, S.; Ortner, J. High biofuel blends in aviation (HBBA). Interim Rep. ENER C 2017, 2, 420–421. [Google Scholar]
- Fahey, D.W.; Keim, E.R.; Boering, K.A.; Brock, C.A.; Wilson, J.C.; Jonsson, H.H.; Chan, K.R. Emission measurements of the Concorde supersonic aircraft in the lower stratosphere. Science 1995, 270, 70–74. [Google Scholar] [CrossRef]
- Munt, R. Aircraft Technology Assessment: Progress in Low Emissions Engine; Standards Development and Support Branch, Emission Control Technology Division, Office of Mobile Source Air Pollution Control, Office of Air, Noise and Radiation, US Environmental Protection Agency: Washington, DC, USA, 1981. [Google Scholar]
















| Fuel | Freezing Point (°C) | Kinematic Viscosity at −20 °C (mm2/s) | Smoke Point (mm) | Fuel Density at 15 °C (kg/m3) | Net Heat of Combustion (MJ/kg) |
|---|---|---|---|---|---|
| Jet A1 | −47 | 4.27 | 27.1 | 804 | 43.15 |
| Shell FT-SPK | −55 | 2.6 | 40 | 737 | 44.1 |
| Sasol FT-SPK | <−77 | 3.8 | >40 | 762 | 44.2 |
| Camelina HEFA | <−77 | 3.3 | >50 | 751 | 44.1 |
| Coconut HEFA | −18.5 | 6.94 | 92.7 | 759 | 42.48 |
| ATJ-SPK | −50 | 4.795 | 23 | 757.1 | 44 |
| Differences in Emission Indexes (g/kg) with Respect to Jet-A1 | |||
|---|---|---|---|
| Fuel | Δ(EICO) | Δ(EIHC) | Δ(EINOx) |
| ATJ-SPK | 2% [18] | N/A | +10% to +15% [18] |
| HEFA | −5% to −10% [15] | −10% [19] | +15% to +20% [20] |
| FT-SPK | −10% [15] | N/A | +10% to −10% [20] |
| SIP-SPK | N/A | N/A | N/A |
| Quantity | Value |
|---|---|
| Maximum cruise altitude (ft) | 60,000 |
| Cruise Mach number | 2.02 |
| EINOx (54000 ft) (g/kg fuel) | 20.97 |
| Fuel burnt (LTO cycle) (kg) | 6420 |
| Fuel flow rate (cruise) (kg/s) | 1.5 |
| wf (kg/h) | Comb. Ineff. | EICO (g/kg) | EIHC (g/kg) | EINOx (g/kg) | |
|---|---|---|---|---|---|
| Idle | 1140 | 0.0584 | 118 | 36 | 2.5 |
| Descent | 2360 | 0.0380 | 82 | 22 | 4.0 |
| Approach | 4550 | 0.0201 | 55 | 8.5 | 6.5 |
| Climb-out | 9100 | 0.0059 | 20 | 1.5 | 12.5 |
| Take-off | 12,700 | 0.0003 | 1.1 | 0 | 22.3 |
| Afterburner | 10,000 | 0.0207 | 64.5 | 6.6 | 0 |
| In-Flight Test Campaign | New Supersonic Emission Estimation Value (% Error) | |
|---|---|---|
| EINOx (@ cruise) [g/kg] | 20.97 | 22.3 (+6%) |
| EICO (@ cruise) [g/kg] | N/A | 1.9 |
| EIHC (@ cruise) [g/kg] | N/A | 0.17 |
Publisher’s Note: MDPI stays neutral with regard to jurisdictional claims in published maps and institutional affiliations. |
© 2021 by the authors. Licensee MDPI, Basel, Switzerland. This article is an open access article distributed under the terms and conditions of the Creative Commons Attribution (CC BY) license (https://creativecommons.org/licenses/by/4.0/).
Share and Cite
Fusaro, R.; Viola, N.; Galassini, D. Sustainable Supersonic Fuel Flow Method: An Evolution of the Boeing Fuel Flow Method for Supersonic Aircraft Using Sustainable Aviation Fuels. Aerospace 2021, 8, 331. https://doi.org/10.3390/aerospace8110331
Fusaro R, Viola N, Galassini D. Sustainable Supersonic Fuel Flow Method: An Evolution of the Boeing Fuel Flow Method for Supersonic Aircraft Using Sustainable Aviation Fuels. Aerospace. 2021; 8(11):331. https://doi.org/10.3390/aerospace8110331
Chicago/Turabian StyleFusaro, Roberta, Nicole Viola, and Diego Galassini. 2021. "Sustainable Supersonic Fuel Flow Method: An Evolution of the Boeing Fuel Flow Method for Supersonic Aircraft Using Sustainable Aviation Fuels" Aerospace 8, no. 11: 331. https://doi.org/10.3390/aerospace8110331
APA StyleFusaro, R., Viola, N., & Galassini, D. (2021). Sustainable Supersonic Fuel Flow Method: An Evolution of the Boeing Fuel Flow Method for Supersonic Aircraft Using Sustainable Aviation Fuels. Aerospace, 8(11), 331. https://doi.org/10.3390/aerospace8110331

