Development and Characterization of a Novel Porous-Media Borosilicate Glass Ion Sources for Electrospray Thruster
Abstract
:1. Introduction
2. Thruster Design and Component Fabrication
2.1. Thruster Design
2.2. Emitter Substrate and Fabrication
2.3. Unibody Extractor Grid Fabrication
2.4. Thruster Assembly
3. Experimental Apparatus and Methods
4. Experimental Results and Discussion
4.1. I–V Characteristics
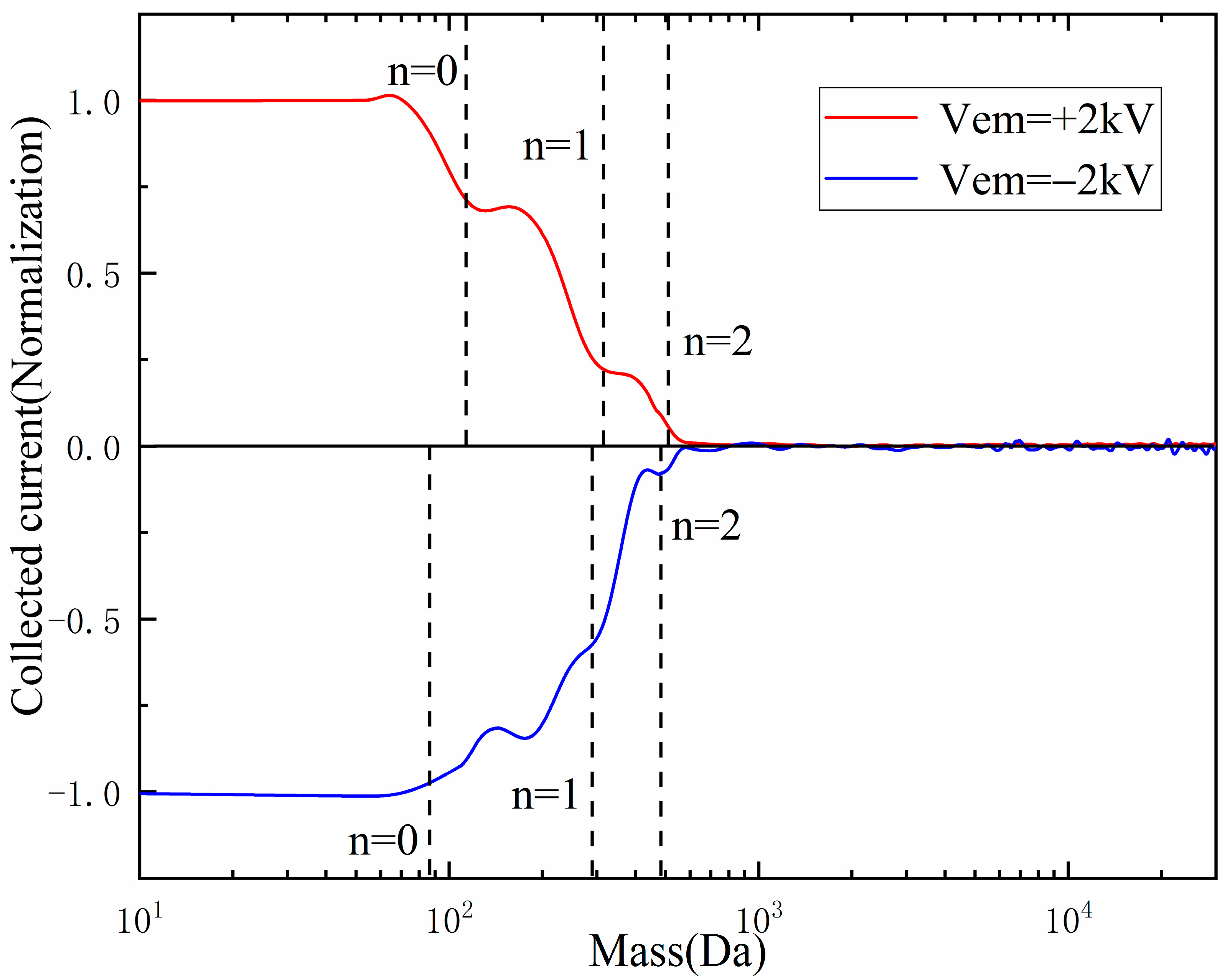
4.2. Mass Spectra of Beam
4.3. Discussion
5. Conclusions
Author Contributions
Funding
Institutional Review Board Statement
Informed Consent Statement
Data Availability Statement
Acknowledgments
Conflicts of Interest
References
- Krejci, D.; Lozano, P.C. Micro-Machined Ionic Liquid Electrospray Thrusters for Cubesat Application. In Proceedings of the 35th International Electric Propulsion Conference, Atlanta, GA, USA, 8–12 October 2017. [Google Scholar]
- Coffman, C.S.; Lozano, P.C. On the Manufacturing and Emission Characteristics of Dielectric Electrospray Sources. In Proceedings of the 49th AIAA/ASME/SAE/ASEE Joint Propulsion Conference, San Jose, CA, USA, 14–17 July 2013. [Google Scholar]
- Lozano, P.C.; Glass, B.; Martinez-Sanchez, M. Performance Characteristics of a Linear Ionic Liquid Electrospray Thruster. In Proceedings of the 29th International Electric Propulsion Conference, Princeton, NJ, USA, 31 October–4 November 2005. [Google Scholar]
- Legge, R.S.; Lozano, P.C.; Martínez-Sánchez, M. Fabrication and Characterization of Porous Metal Emitters for Electrospray Thrusters. In Proceedings of the 30th International Electric Propulsion Conference, Florence, Italy, 17–20 September 2007. [Google Scholar]
- Courtney, D.G. Ionic Liquid Ion Source Emitter Arrays Fabricated on Bulk Porous Substrates for Spacecraft Propuslion. Ph.D. Thesis, Massachusetts Institute of Technology, Cambridge, MA, USA, 2011. [Google Scholar]
- Lenguito, G.; De La Mora, J.F.; Gómez, A. Scaling up the power of an electrospray microthruster. J. Micromech. Microeng. 2014, 24, 55003. [Google Scholar] [CrossRef]
- Máximo, D.V.M.; Velásquez-García, L.F. Additively manufactured electrohydrodynamic ionic liquid pure-ion sources for nanosatellite propulsion. Addit. Manuf. 2020, 36, 101719. [Google Scholar] [CrossRef]
- Courtney, D.G.; Dandavino, S.; Shea, H. Comparing Direct and Indirect Thrust Measurements from Passively Fed Ionic Electrospray Thrusters. J. Propuls. Power 2016, 32, 392–407. [Google Scholar] [CrossRef] [Green Version]
- Courtney, D.G.; Shea, H. Influences of porous reservoir Laplace pressure on emissions from passively fed ionic liquid electrospray sources. Appl. Phys. Lett. 2015, 107, 103504. [Google Scholar] [CrossRef] [Green Version]
- Guerra-Garcia, C.; Krejci, D.; Lozano, P. Spatial uniformity of the current emitted by an array of passively fed electrospray porous emitters. J. Phys. D Appl. Phys. 2016, 49, 115503. [Google Scholar] [CrossRef]
- Brikner, N.; Lozano, P.C. The role of upstream distal electrodes in mitigating electrochemical degradation of ionic liquid ion sources. Appl. Phys. Lett. 2012, 101, 193504. [Google Scholar] [CrossRef]
- Natisin, M.R.; Zamora, H.L.; A McGehee, W.; Arnold, N.I.; Holley, Z.A.; Holmes, M.R.; Eckhardt, D. Fabrication and characterization of a fully conventionally machined, high-performance porous-media electrospray thruster. J. Micromech. Microeng. 2020, 30, 115021. [Google Scholar] [CrossRef]
- Thuppul, A.; Wright, P.L.; Collins, A.L.; Ziemer, J.K.; Wirz, R.E. Lifetime Considerations for Electrospray Thrusters. Aerospace 2020, 7, 108. [Google Scholar] [CrossRef]
- Lozano, P.; Martínez-Sánchez, M. Ionic liquid ion sources: Suppression of electrochemical reactions using voltage alternation. J. Colloid Interface Sci. 2004, 280, 149–154. [Google Scholar] [CrossRef] [PubMed]
- Miller, C.E. Characterization of Ion Cluster Fragmentation in Ionic Liquid Ion Sources. Ph.D. Thesis, Massachusetts Institute of Technology, Cambridge, MA, USA, 2019. [Google Scholar]
- Perez-Martinez, C.S. Engineering Ionic Liquid Ion Sources for Ion Beam Applications. Ph.D. Thesis, Massachusetts Institute of Technology, Cambridge, MA, USA, 2016. [Google Scholar]
- Kristinsson, B.Ö. On the Design of Electrospray Emitters and Their Microfluidic Behavior. Master’s Thesis, Massachusetts Institute of Technology, Cambrige, MA, USA, 2017. [Google Scholar]















| Designation | Pore Size (μm) | Porosity (%) |
|---|---|---|
| Por.00 | 250–500 | 30 |
| Por.0 | 160–250 | 33 |
| Por.1 | 100–160 | 34 |
| Por.2 | 40–100 | 36 |
| Por.3 | 16–40 | 41 |
| Por.4 | 10–16 | 42 |
| Por.5 | 1–1.6 | 48 |
Publisher’s Note: MDPI stays neutral with regard to jurisdictional claims in published maps and institutional affiliations. |
© 2021 by the authors. Licensee MDPI, Basel, Switzerland. This article is an open access article distributed under the terms and conditions of the Creative Commons Attribution (CC BY) license (https://creativecommons.org/licenses/by/4.0/).
Share and Cite
Yang, Y.; Guo, D.; Li, X.; Deng, L.; Che, B.; Cheng, M. Development and Characterization of a Novel Porous-Media Borosilicate Glass Ion Sources for Electrospray Thruster. Aerospace 2021, 8, 297. https://doi.org/10.3390/aerospace8100297
Yang Y, Guo D, Li X, Deng L, Che B, Cheng M. Development and Characterization of a Novel Porous-Media Borosilicate Glass Ion Sources for Electrospray Thruster. Aerospace. 2021; 8(10):297. https://doi.org/10.3390/aerospace8100297
Chicago/Turabian StyleYang, Yuntian, Dawei Guo, Xiaokang Li, Leimin Deng, Bixuan Che, and Mousen Cheng. 2021. "Development and Characterization of a Novel Porous-Media Borosilicate Glass Ion Sources for Electrospray Thruster" Aerospace 8, no. 10: 297. https://doi.org/10.3390/aerospace8100297
APA StyleYang, Y., Guo, D., Li, X., Deng, L., Che, B., & Cheng, M. (2021). Development and Characterization of a Novel Porous-Media Borosilicate Glass Ion Sources for Electrospray Thruster. Aerospace, 8(10), 297. https://doi.org/10.3390/aerospace8100297
