Modeling of High Density Polyethylene Regression Rate in the Simulation of Hybrid Rocket Flowfields
Abstract
1. Introduction
2. Theoretical and Numerical Model
2.1. Gas-Surface Interaction Model for Pyrolyzing Fuels
2.2. HDPE Pyrolysis Model
2.3. Gas Phase Reactions
2.4. Radiation Model
3. Motor Configuration and Firing Tests
4. Domain Discretization and Boundary Conditions
5. Results and Discussion
5.1. Sensitivity Analysis of the Pyrolysis Model
5.1.1. Sensitivity to the Pyrolysis Law Parameters
5.1.2. Sensitivity to the Heat of Pyrolysis
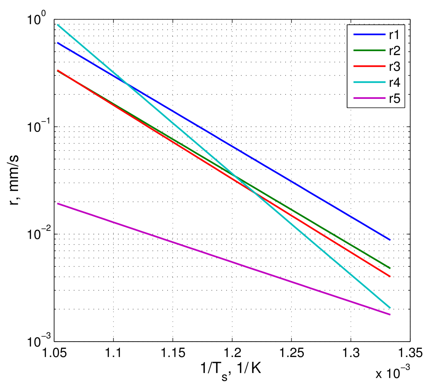
5.1.3. Sensitivity to the Pyrolysis Law Dataset
5.2. Comparison with Experimental Data
5.3. Effect of Thermal Radiation Exchange
6. Conclusions
Author Contributions
Funding
Conflicts of Interest
Nomenclature
| a | thermal diffusivity, m/s |
| c | heat capacity, J/kg·K |
| D | port diameter, m |
| effective diffusion coefficient, m/s | |
| G | mass flux, kg/m·s |
| h | enthalpy, J/kg |
| radiative intensity, W/m·sr | |
| k | thermal conductivity, W/m·K |
| L | grain length, m |
| mass flow rate, kg/s | |
| mass blowing rate per unit area, kg/m·s | |
| M | molar mass of the species, kg/kmole |
| N | number of species |
| O/F | , oxidizer to fuel ratio of the motor |
| p | pressure, N/m |
| heat flux, W/m | |
| r | reflectivity |
| regression rate, m/s | |
| R | universal gas constant, J/mol·K |
| s | abscissa along a line-of-sight, m |
| T | temperature, K |
| burning time, s | |
| v | velocity component normal to surface, m/s |
| source term of species i in the control volume, kg/m·s | |
| net reaction rate of reaction j, kmole/m·s | |
| mole fraction of species i | |
| mass fraction of species i | |
| Greek | |
| absorptivity | |
| emissivity | |
| line-of-sight elevation angle, rad | |
| inward (from solid to gas) coordinate normal to the surface | |
| absorption coefficient, m | |
| Planck-mean absorption coefficient, matm | |
| density, kg/m | |
| Stefan–Boltzmann constant, W/m·K | |
| line-of-sight azimuth angle, rad | |
| source term of species i in the control surface, kg/m·s | |
| solid angle, sr | |
| Subscripts | |
| b | blowing |
| c | combustion chamber |
| oxidizer | |
| f | fuel |
| i | species |
| j | reaction |
| s | solid material |
| w | wall |
| Superscripts | |
| average in time and space | |
| average in space |
Abbreviations
| CFD | Computational Fluid Dynamics |
| DTM | Discrete Transfer Method |
| GOX | Gaseous Oxygen |
| HDPE | High-Density Polyethylene |
| HRE | Hybrid Rocket Engines |
| HTPB | Hydroxyl-Terminated Polybutadiene |
| RTE | Radiative Transfer Equation |
References
- Kuo, K.K.; Houim, R.W. Theoretical Modeling and Numerical Simulation Challenges of Combustion Processes of Hybrid Rockets. AIAA Paper 2011-5608. In Proceedings of the 47th AIAA/ASME/SAE/ASEE Joint Propulsion Conference & Exhibit, San Diego, CA, USA, 31 July–3 August 2011. [Google Scholar]
- Altman, D.; Holzman, A. Overview and History of Hybrid Rocket Propulsion. In Fundamentals of Hybrid Rocket Combustion and Propulsion; Kuo, K., Chiaverini, M., Eds.; Progress in Astronautics and Aeronautics; AIAA: Reston, VA, USA, 2007; Volume 218, pp. 1–36. [Google Scholar]
- Bianchi, D.; Urbano, A.; Betti, B.; Nasuti, F. CFD Analysis of Hybrid Rocket Flowfields Including Fuel Pyrolysis and Nozzle Erosion. AIAA Paper 2013-3637. In Proceedings of the 49th AIAA/ASME/SAE/ASEE Joint Propulsion Conference, San Jose, CA, USA, 15–17 July 2013. [Google Scholar] [CrossRef]
- Bianchi, D.; Betti, B.; Nasuti, F.; Carmicino, C. Simulation of Gaseous Oxygen/Hydroxyl-Terminated Polybutadiene Hybrid Rocket Flowfields and Comparison with Experiments. J. Propuls. Power 2015, 31, 919–929. [Google Scholar] [CrossRef]
- Cheng, G.C.; Farmer, R.C.; Jones, H.S.; McFarlane, J.S. Numerical Simulation of the Internal Ballistics of a Hybrid Rocket Motor. AIAA Paper 94-0554. In Proceedings of the 32nd Aerospace Sciences Meeting and Exhibit, Reno, NV, USA, 10–13 January 1994. [Google Scholar] [CrossRef]
- Sankaran, V. Computational Fluid Dynamics Modeling of Hybrid Rocket Flowfields. In Fundamentals of Hybrid Rocket Combustion and Propulsion; Kuo, K., Chiaverini, M., Eds.; Progress in Astronautics and Aeronautics; AIAA: Reston, VA, USA, 2007; Volume 218, pp. 323–349. [Google Scholar]
- Chen, Y.S.; Chou, T.H.; Gu, B.R.; Wu, J.S.; Wu, B.; Lian, Y.Y.; Yang, L. Multiphysics simulations of rocket engine combustion. Comput. Fluids 2011, 45, 29–36. [Google Scholar] [CrossRef]
- Lazzarin, M.; Barato, F.; Bettella, A.; Pavarin, D. Computational Fluid Dynamics Simulation of Regression Rate in Hybrid Rockets. J. Propuls. Power 2013, 29, 1445–1452. [Google Scholar] [CrossRef]
- Gariani, G.; Maggi, F.; Galfetti, L. Simulation Code for Hybrid Rocket Combustion. AIAA Paper 2010-6872. In Proceedings of the 46th AIAA/ASME/SAE/ASEE Joint Propulsion Conference, Nashville, TN, USA, 25–28 July 2010. [Google Scholar]
- Coronetti, A.; Sirignano, W.A. Numerical Analysis of Hybrid Rocket Combustion. J. Propuls. Power 2013, 29, 371–384. [Google Scholar] [CrossRef]
- Motoe, M.; Shimada, T. Numerical Simulations of Combustive Flows in a Swirling-Oxidizer-Flow-Type Hybrid Rocket. AIAA Paper 2014-0310. In Proceedings of the 52nd Aerospace Sciences Meeting, National Harbor, MD, USA, 13–17 January 2014. [Google Scholar] [CrossRef]
- Bellomo, N.; Lazzarin, M.; Barato, F.; Bettella, A.; Pavarin, D.; Grosse, M. Investigation of Effect of Diaphragms on the Efficiency of Hybrid Rockets. J. Propuls. Power 2014, 30, 175–185. [Google Scholar] [CrossRef]
- Kumar, C.P.; Kumar, A. Effect of Diaphragms on Regression Rate in Hybrid Rocket Motors. J. Propuls. Power 2013, 29, 559–572. [Google Scholar] [CrossRef]
- Di Martino, G.D.; Carmicino, C.; Savino, R. Transient Computational Thermofluid-Dynamic Simulation of Hybrid Rocket Internal Ballistics. J. Propuls. Power 2017, 33, 1395–1409. [Google Scholar] [CrossRef]
- Messineo, G.; Lestrade, J.Y.; Hijlkema, J.; Anthoine, J. Vortex Shedding Influence on Hybrid Rocket Pressure Oscillations and Combustion Efficiency. J. Propuls. Power 2016, 32, 1386–1394. [Google Scholar] [CrossRef]
- Arisawa, H.; Brill, T.B. Flash Pyrolysis of Hydroxyl Terminated Poly-Butadiene (HTPB) II: Implications of the Kinetics to Combustion of Organic Polymers. Combust. Flame 1996, 106, 131–143. [Google Scholar] [CrossRef]
- Ramohalli, K.; Yi, J. Hybrids Revisited. AIAA Paper 90-1962. In Proceedings of the AIAA/SAE/ASME/ASEE 26th Joint Propulsion Conference, Orlando, FL, USA, 16–18 July 1990. [Google Scholar] [CrossRef]
- Carmicino, C.; Russo Sorge, A. Influence of a Conical Axial Injector on Hybrid Rocket Performance. J. Propuls. Power 2006, 22, 984–995. [Google Scholar] [CrossRef]
- Bianchi, D.; Nasuti, F. Numerical Analysis of Nozzle Material Thermochemical Erosion in Hybrid Rocket Engines. J. Propuls. Power 2013, 29, 547–558. [Google Scholar] [CrossRef]
- Di Martino, G.D.; Mungiguerra, S.; Carmicino, C.; Savino, R. Computational Fluid-dynamic Simulations of Hybrid Rocket Internal Flow Including Discharge Nozzle. AIAA Paper 2017-5045. In Proceedings of the 53rd AIAA/SAE/ASEE Joint Propulsion Conference, Atlanta, GA, USA, 10–12 July 2017. [Google Scholar]
- Sutton, G.P.; Biblarz, O. Rocket Propulsion Elements; John Wiley and Sons, Inc.: New York, NY, USA, 2001. [Google Scholar]
- Betti, B.; Nasuti, F.; Martelli, E. Numerical Evaluation of Heat Transfer Enhancement in Rocket Thrust Chambers by Wall Ribs. Numer. Heat Transf. Part A Appl. 2014, 66, 488–508. [Google Scholar] [CrossRef]
- Betti, B.; Bianchi, D.; Nasuti, F.; Martelli, E. Chemical Reaction Effects on Heat Loads of CH4/O2 and H2/O2 Rockets. AIAA J. 2016, 54, 1693–1703. [Google Scholar] [CrossRef]
- Bianchi, D.; Nasuti, F.; Paciorri, R.; Onofri, M. Computational Analysis of Hypersonic Flows Including Finite Rate Ablation Thermochemistry. In Proceedings of the 7th European Workshop on Thermal Protection Systems and Hot Structures, ESA-ESTEC, Noordwijk, The Netherlands, 8–10 April 2013. [Google Scholar]
- Bianchi, D.; Nasuti, F.; Carmicino, C. Hybrid Rockets with Axial Injector: Port Diameter Effect on Fuel Regression Rate. J. Propuls. Power 2016, 32, 984–996. [Google Scholar] [CrossRef]
- Bianchi, D.; Kamps, L.; Nasuti, F.; Nagata, H. Numerical and Experimental Investigation of Nozzle Thermochemical Erosion in Hybrid Rockets. AIAA Paper 2017-4640. In Proceedings of the 53rd AIAA/SAE/ASEE Joint Propulsion Conference, Atlanta, GA, USA, 10–12 July 2017. [Google Scholar] [CrossRef]
- Gordon, S.; McBride, B.J. Computer Program for Calculation of Complex Chemical Equilibrium Compositions and Applications. NASA RP 1311; 1994. Available online: https://ntrs.nasa.gov/archive/nasa/casi.ntrs.nasa.gov/19950013764.pdf (accessed on 21 April 2019).
- Wilke, C.R. A Viscosity Equation for Gas Mixtures. J. Chem. Phys. 1950, 18. [Google Scholar] [CrossRef]
- Spalart, P.R.; Allmaras, S.R. A One–Equation Turbulence Model for Aerodynamic Flows. Rech. Aérosp. 1994, 1, 5–21. [Google Scholar]
- Lockwood, F.C.; Shah, N.G. A New Radiation Solution Method for Incorporation in General Combustion Prediction Procedures. Symp. Int. Combust. 1981, 18, 1405–1414. [Google Scholar] [CrossRef]
- Kendall, R.M.; Bartlett, E.P.; Rindal, R.A.; Moyer, C.B. An Analysis of the Chemically Reacting Boundary Layer and Charring Ablator. Part I: Summary Report; NASA CR 1060; NASA: Washington, DC, USA, 1968.
- Marxman, G.; Gilbert, M. Turbulent Boundary Layer Combustion in the Hybrid Rocket. Symp. Int. Combust. 1963, 9, 371–383. [Google Scholar] [CrossRef]
- Li, C.; Cai, G.; Tian, H. Numerical analysis of combustion characteristics of hybrid rocket motor with multi-section swirl injection. Acta Astronaut. 2016, 123, 26–36. [Google Scholar] [CrossRef]
- Lengelle, G.; Fourest, B.; Godon, J.; Guin, C. Condensed-phase behavior and ablation rate of fuels for hybrid propulsion. AIAA Paper 1993-2413. In Proceedings of the 29th Joint Propulsion Conference and Exhibit, Monterey, CA, USA, 28–30 June 1993. [Google Scholar]
- Stoiliarov, S.I.; Crowley, S.; Lyon, R.E.; Linteris, G.T. Prediction of the burning rates of non-charring polymers. Combust. Flame 2009, 156, 1068–1083. [Google Scholar] [CrossRef]
- Gascoin, N.; Fau, G.; Gillard, P.; Mangeot, A. Experimental flash pyrolysis of high density polyethylene under hybrid propulsion conditions. J. Anal. Appl. Pyrolysis 2013, 101, 45–52. [Google Scholar] [CrossRef]
- Lengelle, G. Solid-Fuel Pyrolysis Phenomena and Regression Rate, Part 1: Mechanisms. In Fundamentals of Hybrid Rocket Combustion and Propulsion; Kuo, K., Chiaverini, M., Eds.; Progress in Astronautics and Aeronautics; AIAA: Reston, VA, USA, 2007; Volume 218, pp. 127–165. [Google Scholar]
- Chiaverini, M.J.; Serin, N.; Johnson, D.K.; Lu, Y.C.; Kuo, K.K.; Risha, G.A. Regression Rate Behavior of Hybrid Rocket Solid Fuels. J. Propuls. Power 2000, 16, 125–132. [Google Scholar] [CrossRef]
- Chiaverini, M.J.; Kuo, K.K.; Peretz, A.; Harting, G.C. Regression-Rate and Heat-Transfer Correlations for Hybrid Rocket Combustion. J. Propuls. Power 2001, 17, 318–326. [Google Scholar] [CrossRef]
- Chiaverini, M. Review of Solid–Fuel Regression Rate Behavior in Classical and Nonclassical Hybrid Rocket Motors. In Fundamentals of Hybrid Rocket Combustion and Propulsion; Kuo, K., Chiaverini, M., Eds.; Progress in Astronautics and Aeronautics; AIAA: Reston, VA, USA, 2007; Volume 218, pp. 37–125. [Google Scholar]
- Ciottoli, P.P.; Malpica Galassi, R.; Lapenna, P.; Leccese, G.; Bianchi, D.; Nasuti, F.; Creta, F.; Valorani, M. CSP-based chemical kinetics mechanisms simplification strategy for non-premixed combustion: An application to hybrid rocket propulsion. Combust. Flame 2017, 186, 83–93. [Google Scholar] [CrossRef]
- Andersen, J.; Rasmussen, C.L.; Giselsson, T.; Glarborg, P. Global Combustion Mechanisms for Use in CFD Modeling under Oxy-Fuel Conditions. Energy Fuels 2009, 23, 1379–1389. [Google Scholar] [CrossRef]
- Muzzy, R. Applied Hybrid Combustion Theory. In Proceedings of the 8th Joint Propulsion Specialist Conference, New Orleans, LA, USA, 29 November–1 December 1972. [Google Scholar] [CrossRef]
- Göbel, F.; Mundt, C. Implementation of the P1 Radiation Model in the CFD Solver NSMB and Investigation of Radiative Heat Transfer in the SSME Main Combustion Chamber. AIAA Paper 2011-2257. In Proceedings of the 17th AIAA International Space Planes and Hypersonic Systems and Technologies Conference, San Francisco, CA, USA, 11–14 April 2011. [Google Scholar] [CrossRef]
- Jiwen, L.; Tiwari, S.N. Radiative Heat Transfer Effects in Chemically Reacting Nozzle Flows. J. Thermophys. Heat Transf. 1996, 10, 436–444. [Google Scholar] [CrossRef]
- Modest, M.F. Radiative Heat Transfer; Academic Press: San Diego, CA, USA, 2013; pp. 288–410. [Google Scholar]
- Tien, C.L. Thermal Radiation Properties of Gases. In Advances in Heat Transfer; Irvine, T.F., Hartnett, J.P., Eds.; Academic Press: New York, NY, USA, 1968; Volume 5, pp. 253–324. [Google Scholar]
- Rivière, P.; Soufiani, A. Updated Band Model Parameters for H2O, CO2, CH4 and CO Radiation at High Temperature. Int. J. Heat Mass Transf. 2012, 55, 3349–3358. [Google Scholar] [CrossRef]
- Leccese, G.; Bianchi, D.; Betti, B.; Lentini, D.; Nasuti, F. Convective and Radiative Wall Heat Transfer in Liquid Rocket Thrust Chambers. J. Propuls. Power 2018, 34, 318–326. [Google Scholar] [CrossRef]
- Leccese, G.; Bianchi, D.; Nasuti, F.; Stober, K.J.; Narsai, P.; Cantwell, B.J. Experimental and numerical methods for radiative wall heat flux predictions in paraffin-based hybrid rocket engines. Acta Astronaut. 2019, 158, 304–312. [Google Scholar] [CrossRef]
- Carmicino, C.; Russo Sorge, A. Role of Injection in Hybrid Rockets Regression Rate Behavior. J. Propuls. Power 2005, 21, 606–612. [Google Scholar] [CrossRef]
- Karabeyoglu, M.A.; Cantwell, B.J.; Zilliac, G. Development of Scalable Space-Time Averaged Regression Rate Expressions for Hybrid Rockets. J. Propuls. Power 2007, 23, 737–747. [Google Scholar] [CrossRef]
- Stoiliarov, S.I.; Walters, R.N. Determination of the heats of gasification of polymers using differential scanning calorimetry. Polym. Degrad. Stab. 2008, 93, 422–427. [Google Scholar] [CrossRef]











| Surface Reaction | , m/s | , kJ/mol |
|---|---|---|
| × |
| Density kg/m | Specific Heat J/(kg·K) | Thermal Conductivity W/(m·K) | Heat of Pyrolysis MJ/kg |
|---|---|---|---|
| 960 |
| Test No. | , s | , kg/ms | , mm | , mm/s | , bar | |
|---|---|---|---|---|---|---|
| 2 | ||||||
| 4 | ||||||
| 9 | ||||||
| 10 | ||||||
| 13 | ||||||
| 18 | ||||||
| 19 |
| Pyrolysis Law | Source | , m/s | , kJ/mol |
|---|---|---|---|
| r1 (reference) | [34,51] | × | 251.04 |
| r2 | [33] | × | 251.20 |
| Pyrolysis Law | Source | A, 1/s | , kJ/mol |
|---|---|---|---|
| r3 | [34] | × | 251.04 |
| r4 | [35] | × | 349.00 |
| r5 | [36] | × | 130.00 |
| Firing Test | , Bar | , mm/s |
|---|---|---|
| #19 | 9.78 | 0.320 |
| #19a | 9.69 (−0.9%) | 0.316 (−1.3%) |
| Firing Test | , Bar | , mm/s |
|---|---|---|
| #19 | 9.78 | 0.320 |
| #19b | 9.25 (−5.4%) | 0.283 (−11.6%) |
| Firing Test | , Bar | , mm/s |
|---|---|---|
| #19 | 9.78 | 0.320 |
| #19c | 10.37 (+6.0%) | 0.387 (+20.9%) |
| Firing Test | , Bar | , mm/s |
|---|---|---|
| #2 (r1) | 12.78 | 0.248 |
| #2d (r4) | 13.23 (+3.5%) | 0.265 (+6.9%) |
| #10 (r1) | 16.26 | 0.541 |
| #10d (r4) | 17.01 (+4.6%) | 0.589 (+8.9%) |
| Test No. | , mm/s | , Bar | , MW/m |
|---|---|---|---|
| 2 | |||
| 4 | |||
| 9 | |||
| 10 | |||
| 13 | |||
| 18 | |||
| 19 |
| Test No. | , mm/s | , Bar | , MW/m | , MW/m |
|---|---|---|---|---|
| 2 | ||||
| 4 | ||||
| 9 | ||||
| 10 | ||||
| 13 | ||||
| 18 | ||||
| 19 |
© 2019 by the authors. Licensee MDPI, Basel, Switzerland. This article is an open access article distributed under the terms and conditions of the Creative Commons Attribution (CC BY) license (http://creativecommons.org/licenses/by/4.0/).
Share and Cite
Bianchi, D.; Leccese, G.; Nasuti, F.; Onofri, M.; Carmicino, C. Modeling of High Density Polyethylene Regression Rate in the Simulation of Hybrid Rocket Flowfields. Aerospace 2019, 6, 88. https://doi.org/10.3390/aerospace6080088
Bianchi D, Leccese G, Nasuti F, Onofri M, Carmicino C. Modeling of High Density Polyethylene Regression Rate in the Simulation of Hybrid Rocket Flowfields. Aerospace. 2019; 6(8):88. https://doi.org/10.3390/aerospace6080088
Chicago/Turabian StyleBianchi, Daniele, Giuseppe Leccese, Francesco Nasuti, Marcello Onofri, and Carmine Carmicino. 2019. "Modeling of High Density Polyethylene Regression Rate in the Simulation of Hybrid Rocket Flowfields" Aerospace 6, no. 8: 88. https://doi.org/10.3390/aerospace6080088
APA StyleBianchi, D., Leccese, G., Nasuti, F., Onofri, M., & Carmicino, C. (2019). Modeling of High Density Polyethylene Regression Rate in the Simulation of Hybrid Rocket Flowfields. Aerospace, 6(8), 88. https://doi.org/10.3390/aerospace6080088

