Analysis of Wing Structures via Machine Learning-Based Surrogate Models
Abstract
1. Introduction
2. Wing Model and Generation of Data Sets for Surrogate Models
2.1. Wing Model
2.2. Generation of Data Sets
2.3. Regression Methods for Surrogate Modeling
2.3.1. Counterpart Methods
- Ensemble Learning
- Support Vector Regression Machine
- Kriging (Gaussian Process Regression, GPR)
- Artificial Neural Network
2.3.2. Pyramidal Deep Regression Network (PDRN)
- ϕK: The number of neurons in the final hidden layer.
- ds: The depth of the model, defined as the number of hidden layers.
- sc: A scale ratio that deterministically calculates the number of neurons in all preceding layers relative to ϕK. The number of neurons in the l-th layer from the output is given by r(ϕK × scl−1), where r(⋅) is a rounding operator.
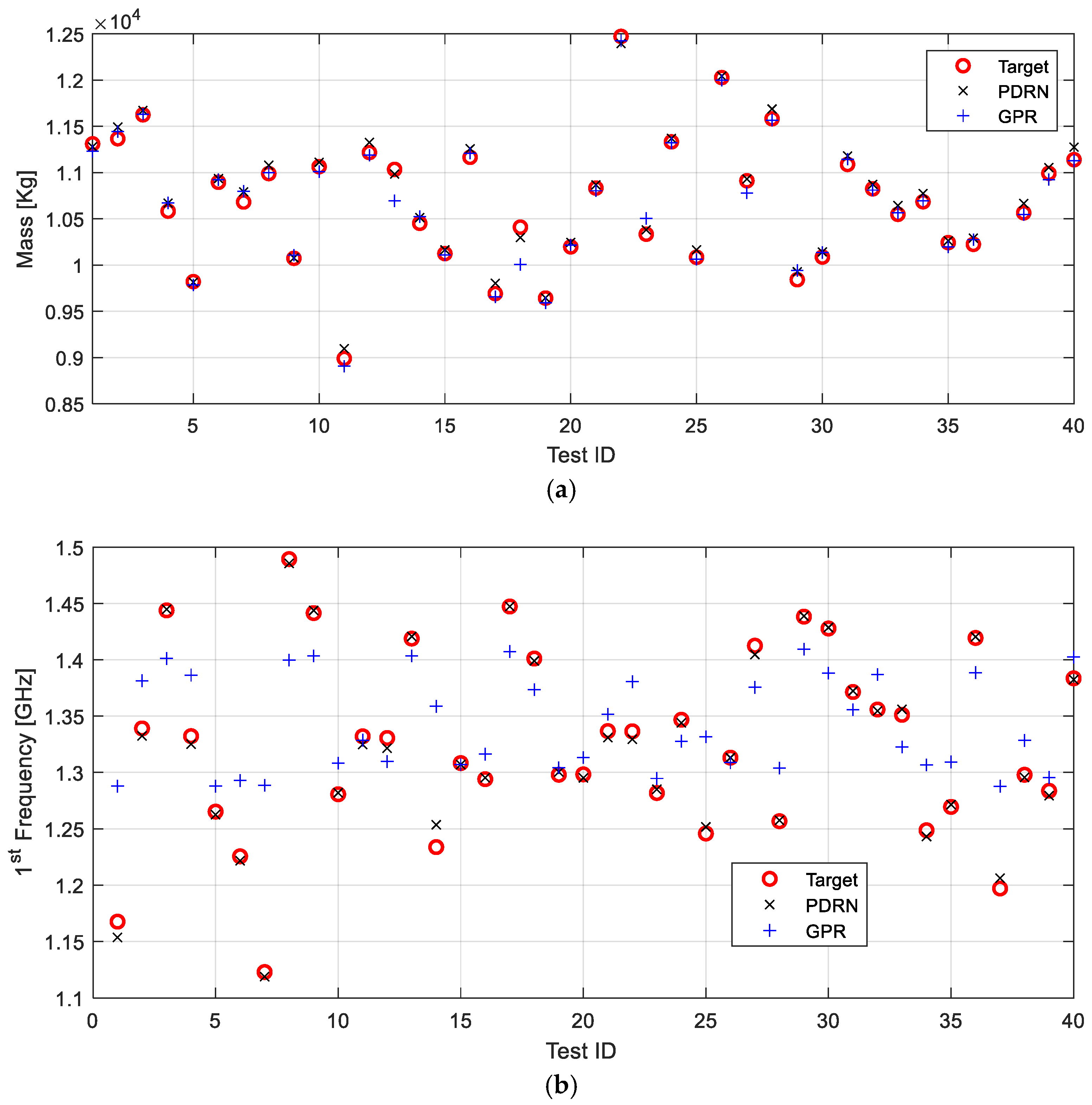
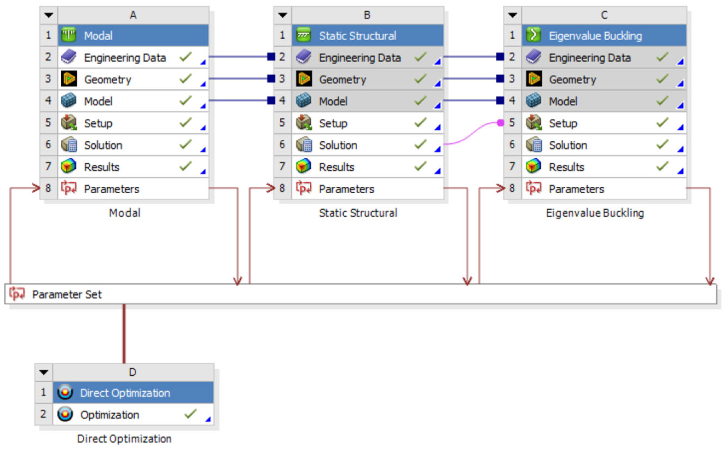
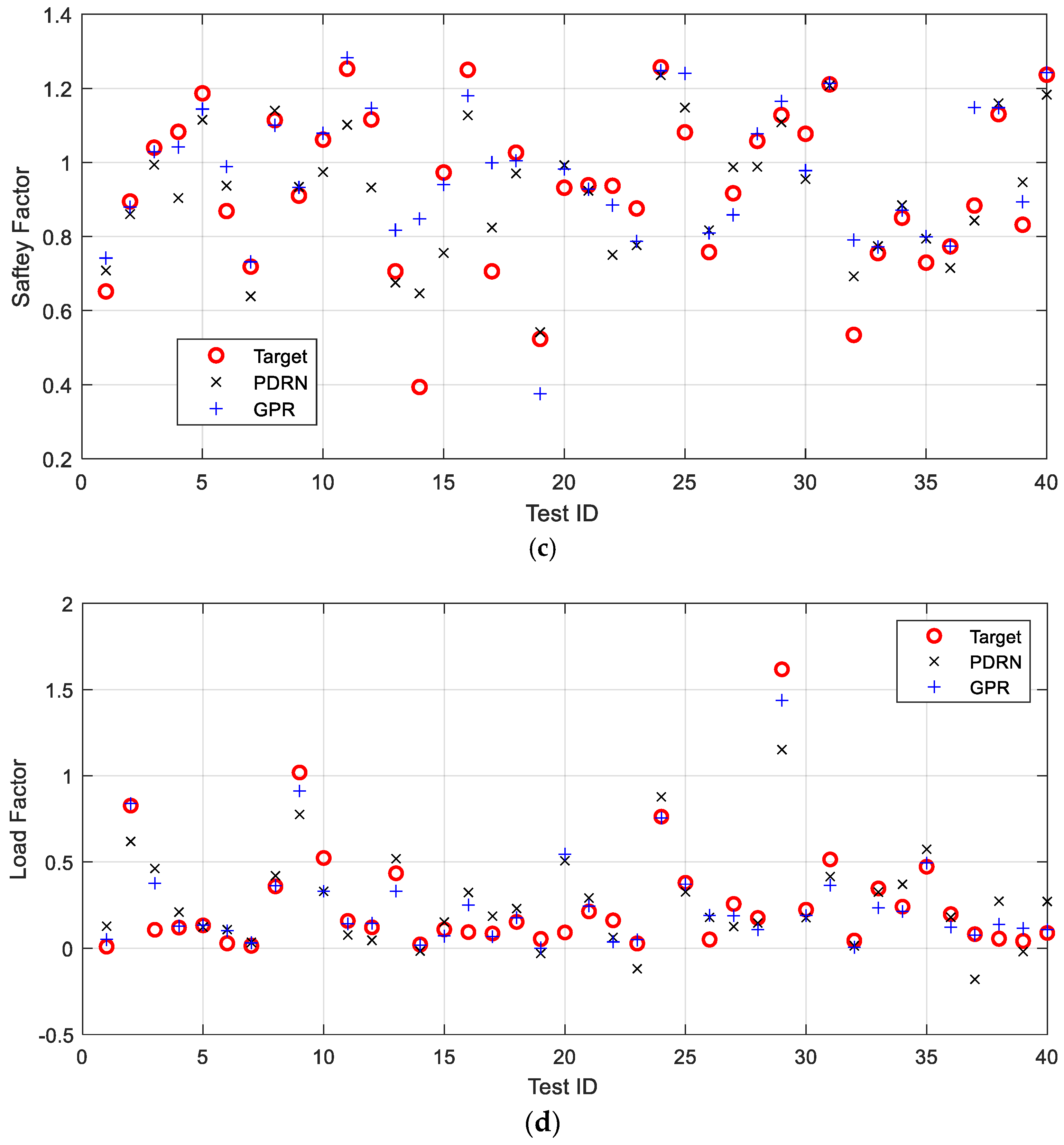
3. Results
4. Discussion
5. Conclusions
Author Contributions
Funding
Data Availability Statement
Acknowledgments
Conflicts of Interest
Abbreviations
| FEA | Finite Element Analysis |
| PDRN | Pyramidal Deep Regression Network |
| LHS | Latin Hypercube Sampling |
| ANN | Artificial Neural Network |
| SVR | Support Vector Regression |
| ML | Machine Learning |
| GPR | Gaussian Process Regression |
| DNN | Deep Neural Network |
| MMPDS | Metallic Materials Properties Development and Standardization |
| BC | Boundary Condition |
| MPC | Multipoint Constraint |
| LReLU | Leaky Rectified Linear Unit |
| BO | Bayesian Optimization |
References
- Kumar, B.R. Investigation on buckling response of the aircraft’s wing using finite-element method. Aust. J. Mech. Eng. 2020, 18, S122–S131. [Google Scholar] [CrossRef]
- Chaves-Vargas, M.; Dafnis, A.D.; Reimerdes, H.G.; Schröder, K.U. Modal parameter identification of a compression-loaded CFRP stiffened plate and correlation with its buckling behaviour. Prog. Aerosp. Sci. 2015, 78, 39–49. [Google Scholar] [CrossRef]
- Bhutta, A.H. Optimizing Structural Integrity of Fighter Aircraft Wing Stations: A Finite Element Analysis Approach. Ingenius 2024, 32, 90–100. [Google Scholar] [CrossRef]
- Chiariello, A.; Perillo, G.; Linari, M.; Russo, R.; Orlando, S.; Vitale, P.; Belardo, M. Virtual Full Scale Static Test of a Civil Tilt Rotor Composite Wing in Non-Linear Regime. Aerospace 2024, 11, 278. [Google Scholar] [CrossRef]
- Liang, K.Z.; Yin, Z. Investigation on nonlinear buckling performance of the optimized wing structure under the realistic flight cases. Aerosp. Sci. Technol. 2023, 139, 108416. [Google Scholar] [CrossRef]
- Houston, G.; Quinn, D.; Murphy, A.; Bron, F. Wing Panel Design with Novel Skin-Buckling Containment Features. J. Aircr. 2016, 53, 416–426. [Google Scholar] [CrossRef][Green Version]
- Gray, A.C.; Martins, J.R.R.A. Geometrically Nonlinear High-fidelity Aerostructural Optimization for Highly Flexible Wings. In Proceedings of the AIAA Scitech 2021 Forum, Virtual, 11–15 and 19–21 January 2021. [Google Scholar] [CrossRef]
- Shizuno, Y.; Dong, S.; Kuzuno, R.; Okada, T.; Kawashima, S.; Makihara, K.; Otsuka, K. Nonlinear Dynamic Analysis Framework for Slender Structures Using the Modal Rotation Method. J. Comput. Nonlinear Dyn. 2025, 20, 021002. [Google Scholar] [CrossRef]
- Stanford, B.K.; Beran, P.S. Cost reduction techniques for the design of non-linear flapping wing structures. Int. J. Numer. Methods Eng. 2011, 88, 533–555. [Google Scholar] [CrossRef]
- Farah, S.; Hrairi, M.; Abdullah, A.B.; Brahmi, A. A design optimization strategy of an aircraft composite wing-box based on a multi-scale FEA. FME Trans. 2025, 53, 157–172. [Google Scholar] [CrossRef]
- Long, T.; Wu, Y.; Wang, Z.; Tang, Y.; Wu, D.; Yu, Y. Efficient aero-structure coupled wing optimization using decomposition and adaptive metamodeling techniques. Aerosp. Sci. Technol. 2019, 95, 105496. [Google Scholar] [CrossRef]
- Benaouali, A.; Kachel, S. Multidisciplinary design optimization of aircraft wing using commercial software integration. Aerosp. Sci. Technol. 2019, 92, 391–399. [Google Scholar] [CrossRef]
- Phuekpan, K.; Khammee, R.; Panagant, N.; Bureerat, S.; Pholdee, N.; Wansasueb, K. A Comparison of Modern Metaheuristics for Multi-Objective Optimization of Transonic Aeroelasticity in a Tow-Steered Composite Wing. Aerospace 2025, 12, 101. [Google Scholar] [CrossRef]
- Shrivastava, S.; Tilala, H.; Mohite, P.M.; Limaye, M. Weight optimization of a composite wing-panel with flutter stability constraints by ply-drop. Struct. Multidiscip. Optim. 2020, 62, 2181–2195. [Google Scholar] [CrossRef]
- Yondo, R.; Valero, E. A review on design of experiments and surrogate models in aircraft real-time and many-query aerodynamic analyses. Prog. Aerosp. Sci. 2018, 96, 23–61. [Google Scholar] [CrossRef]
- Zhang, X.; Xie, F.; Ji, T.; Zhu, Z.; Zheng, Y. Multi-fidelity deep neural network surrogate model for aerodynamic shape optimization. Comput. Methods Appl. Mech. Eng. 2021, 373, 113485. [Google Scholar] [CrossRef]
- Tao, J.; Sun, G. Application of deep learning based multi-fidelity surrogate model to robust aerodynamic design optimization. Aerosp. Sci. Technol. 2019, 92, 464–476. [Google Scholar] [CrossRef]
- Wang, H.; Jin, Y.; Sun, C.; Doherty, J. Offline Data-Driven Evolutionary Optimization Using Selective Surrogate Ensembles. IEEE Trans. Evol. Comput. 2019, 23, 203–216. [Google Scholar] [CrossRef]
- Teng, D.; Feng, Y.; Chen, J.; Lu, C. Intelligent vectorial surrogate modeling framework for multi-objective reliability estimation of aerospace engineering structural systems. Chin. J. Aeronaut. 2024, 37, 337–352. [Google Scholar] [CrossRef]
- Mainini, L.; Willcox, K. Surrogate Modeling Approach to Support Real-Time Structural Assessment and Decision Making. AIAA J. 2015, 53, 1612–1626. [Google Scholar] [CrossRef]
- Du, B.; Shen, E.; Wu, J.; Guo, T.; Lu, Z.; Zhou, D. Aerodynamic Prediction and Design Optimization Using Multi-Fidelity Deep Neural Network. Aerospace 2025, 12, 292. [Google Scholar] [CrossRef]
- Wu, M.; He, X.; Sun, X.; Tong, T.; Chen, Z.; Zheng, C. Efficient aerodynamic shape optimization using transfer learning based multi-fidelity deep neural network. Phys. Fluids 2024, 36, 075126. [Google Scholar] [CrossRef]
- Du, X.; Martins, J.R.R.A.; O’Leary-Roseberry, T.; Chaudhuri, A.; Ghattas, O.; Willcox, K. Learning Optimal Aerodynamic Designs through Multi-Fidelity Reduced-Dimensional Neural Networks. In Proceedings of the AIAA SCITECH 2023 Forum, National Harbor, MD, USA, 23–27 January 2023. [Google Scholar] [CrossRef]
- Wu, P.; Liu, Z.; Zhou, Z.; Song, C. Multi-fidelity deep neural network surrogate model for aerodynamic shape prediction based on multi-task learning. In Proceedings of the 2024 3rd International Conference on Energy and Power Engineering, Control Engineering (EPECE), Changchun, China, 12–14 July 2024; pp. 137–142. [Google Scholar] [CrossRef]
- Aabid, A.; Zakuan, M.A.M.B.M.; Khan, S.A.; Ibrahim, Y.E. Structural analysis of three-dimensional wings using finite element method. Aerosp. Syst. 2022, 5, 47–63. [Google Scholar] [CrossRef]
- Ding, L.; Zhang, X. Sample and computationally efficient stochastic kriging in high dimensions. Oper. Res. 2024, 72, 660–683. [Google Scholar] [CrossRef]
- United States. Department of Defense. Military Handbook: Metallic Materials and Elements for Aerospace Vehicle Structures; US Department of Defense: Washington, DC, USA, 1990; Volume 1.
- Airbus. A320 Aircraft Characteristics: Airport and Maintenance Planning. 2025. Available online: https://www.aircraft.airbus.com/sites/g/files/jlcbta126/files/2025-01/AC_A320_0624.pdf (accessed on 30 March 2026).
- Schrenk, O. A simple approximation method for obtaining the spanwise lift distribution. Aeronaut. J. 1941, 45, 331–336. [Google Scholar] [CrossRef]
- Li, H.; Sen, S.; Khazanovich, L. A scalable adaptive sampling approach for surrogate modeling of rigid pavements using machine learning. Results Eng. 2024, 23, 102483. [Google Scholar] [CrossRef]
- Garg, M.; Chang, T.H.; Raghavan, K. SF-SFD: Stochastic Optimization of Fourier Coefficients to Generate Space-Filling Designs. In Proceedings of the 2023 Winter Simulation Conference (WSC), San Antonio, TX, USA, 10–13 December 2023; pp. 3636–3646. [Google Scholar] [CrossRef]
- Fan, L.; Wang, Z.; Liao, C.; Wang, J. Efficient optimization of plasma surface high harmonic generation by an improved Bayesian strategy. arXiv 2024, arXiv:2410.24051. [Google Scholar] [CrossRef]
- Borisut, P.; Nuchitprasittichai, A. Adaptive Latin Hypercube Sampling for a Surrogate-Based Optimization with Artificial Neural Network. Processes 2023, 11, 3232. [Google Scholar] [CrossRef]
- Damblin, G.; Couplet, M.; Iooss, B. Numerical studies of space-filling designs: Optimization of Latin Hypercube Samples and subprojection properties. J. Simul. 2013, 7, 276–289. [Google Scholar] [CrossRef]
- Cioppa, T.M.; Lucas, T.W. Efficient Nearly Orthogonal and Space-Filling Latin Hypercubes. Technometrics 2007, 49, 45–55. [Google Scholar] [CrossRef]
- Afzal, A.; Kim, K.Y.; Seo, J.H. Effects of Latin hypercube sampling on surrogate modeling and optimization. Int. J. Fluid Mach. Syst. 2017, 10, 240–253. [Google Scholar] [CrossRef]
- Wang, Z.; Hong, Y.; Huang, L.; Zheng, M.; Yuan, H.; Zeng, R. A comprehensive review and future research directions of ensemble learning models for predicting building energy consumption. Energy Build. 2025, 335, 115589. [Google Scholar] [CrossRef]
- Zhang, J.; Wang, Z.; Lu, Q.; Zhu, S.; Bai, Z. Physical information-guided ensemble learning model for surface roughness prediction of galvannealed strip. Eng. Appl. Artif. Intell. 2026, 165, 113411. [Google Scholar] [CrossRef]
- Tanveer, M.; Rajani, T.; Rastogi, R.; Shao, Y.H.; Ganaie, M.A. Comprehensive review on twin support vector machines. Ann. Oper. Res. 2024, 339, 1223–1268. [Google Scholar] [CrossRef]
- Roy, A.; Chakraborty, S. Support vector machine in structural reliability analysis: A review. Reliab. Eng. Syst. Saf. 2023, 233, 109126. [Google Scholar] [CrossRef]
- Virdee, T.S.; Kottegoda, N.T. A brief review of kriging and its application to optimal interpolation and observation well selection. Hydrol. Sci. J. 1984, 29, 367–387. [Google Scholar] [CrossRef]
- Giraldo, R.; Leiva, V.; Castro, C. An overview of kriging and cokriging predictors for functional random fields. Mathematics 2023, 11, 3425. [Google Scholar] [CrossRef]
- Amini, S.; Van Nieuwenhuyse, I. A tutorial on kriging-based stochastic simulation optimization. arXiv 2025, arXiv:2502.05216. [Google Scholar]
- Abiodun, O.I.; Jantan, A.; Omolara, A.E.; Dada, K.V.; Mohamed, N.A.; Arshad, H. State-of-the-art in artificial neural network applications: A survey. Heliyon 2018, 4, e00938. [Google Scholar] [CrossRef]
- Bacharidis, E.; Seventekidis, P.; Arailopoulos, A. Study on the Generalization of a Data-Driven Methodology for Damage Detection in an Aircraft Wing Using Reduced FE Models. Appl. Mech. 2026, 7, 9. [Google Scholar] [CrossRef]
- Qian, G.; Zhu, J.; Zhu, I.; Shen, P. Optimization of Energy Harvesting Performance of Fully Passive Parallel Flapping Wings Based on the Combination of Taguchi Method and Neural Networks. Aerosp. Sci. Technol. 2026, 174, 111919. [Google Scholar] [CrossRef]
- Koziel, S.; Çalık, N.; Mahouti, P.; Belen, M.A. Accurate Modeling of Antenna Structures by Means of Domain Confinement and Pyramidal Deep Neural Networks. IEEE Trans. Antennas Propag. 2022, 70, 2174–2188. [Google Scholar] [CrossRef]
- Miranda, L.R.; Elliott, R.D.; Baker, W.M. A Generalized Vortex Lattice Method for Subsonic and Supersonic Flow Applications; NASA Contractor Report CR-2865; NASA: Washington, DC, USA, 1977.
- Drela, M.; Youngren, H. AVL User Primer; Massachusetts Institute of Technology: Cambridge, MA, USA, 2010; Available online: https://web.mit.edu/drela/Public/web/avl/AVL_User_Primer.pdf (accessed on 30 March 2026).
- Melin, T. A Vortex Lattice MATLAB Implementation for Linear Aerodynamic Wing Applications. Master’s Thesis, Royal Institute of Technology (KTH), Stockholm, Sweden, 2000. [Google Scholar]
- Samareh, J.A. Discrete Data Transfer Technique for Fluid–Structure Interaction. In Proceedings of the 18th AIAA Computational Fluid Dynamics Conference, Miami, FL, USA, 25–28 June 2007. AIAA Paper 2007-4309. [Google Scholar]
- Tanabe, R.; Fukunaga, A. Success-History Based Parameter Adaptation for Differential Evolution. In Proceedings of the IEEE Congress on Evolutionary Computation (CEC), Cancun, Mexico, 20–23 June 2013; pp. 71–78. [Google Scholar]
- Tanabe, R.; Fukunaga, A. Improving the Search Performance of SHADE Using Linear Population Size Reduction. In Proceedings of the IEEE Congress on Evolutionary Computation (CEC), Beijing, China, 6–11 July 2014; pp. 1658–1665. [Google Scholar] [CrossRef]
- Awad, N.H.; Ali, M.Z.; Suganthan, P.N.; Reynolds, R.G. An Ensemble Sinusoidal Parameter Adaptation Incorporated with L-SHADE for Solving CEC2014 Benchmark Problems. In Proceedings of the IEEE Congress on Evolutionary Computation (CEC), Vancouver, BC, Canada, 24–29 July 2016; pp. 2958–2965. [Google Scholar] [CrossRef]
- Brest, J.; Maučec, M.S.; Bošković, B. Single Objective Real-Parameter Optimization: Algorithm jSO. In Proceedings of the IEEE Congress on Evolutionary Computation (CEC), Donostia-San Sebastián, Spain, 5–8 June 2017; pp. 1311–1318. [Google Scholar] [CrossRef]
- Suganthan, P.N. CODES: Codes for Some of My Co-Authored Journal/Conference Papers; GitHub Repository. Available online: https://github.com/P-N-Suganthan/CODES (accessed on 30 March 2026).











| Parameter | Value |
|---|---|
| Wingspan | 33.910 [m] |
| Airfoil | NACA 23015 |
| Position of front spars | 20% of the chord [m] |
| Position of rear spars | 65% of the chord [m] |
| Parameter | Value |
|---|---|
| Poisson ratio | 0.33 |
| Density | 2823 [kg/m3] |
| Young’s modulus | 71,016 [MPa] |
| Compressive yield strength | 434 [MPa] |
| Tensile yield strength | 441 [MPa] |
| Shear modulus | 26,698 [MPa] |
| Component | Geometric Region | Variable Grouping/Constraint | Parameter and Thickness Range [mm] |
|---|---|---|---|
| Ribs | - | tRib1 = tRib2 | P1: 5–15 |
| - | tRib3 = tRib4 | P2: 1–10 | |
| - | tRib5 = tRib6 = … = tRib11 | P3: 1–10 | |
| Spars | Section 1 | tfront spar = trear spar | P4: 15–25 |
| Sections 2, 3, 4 | tfront spar = trear spar | P5: 1–10 | |
| Skins | Section 1 | tuppper skin = tlower skin | P6: 15–25 |
| Section 2 | tuppper skin = tlower skin | P7: 5–15 | |
| Sections 3 & 4 | tuppper skin = tlower skin | P8: 1–10 | |
| Stringers | Section 1 | tstringer1 = tstringer2 = … = tstringer4 | P9: 5–15 |
| Sections 2, 3, 4 | tstringer1 = tstringer2 = … = tstringer4 | P10: 1–10 |
| Parameters | Initial Thickness Value [mm] |
|---|---|
| P1-i | 10 mm |
| P2-i | 7 mm |
| P3-i | 5 mm |
| P4-i | 21 mm |
| P5-i | 10 mm |
| P6-i | 14 mm |
| P7-i | 9 mm |
| P8-i | 6 mm |
| P9-i | 8 mm |
| P10-i | 6 mm |
| Order | Frequency, f (Hz) | Modal Shape |
|---|---|---|
| 1 | 1.355 | 1st Out-of-Plane Bending |
| 2 | 5.597 | 1st In-Plane Bending |
| 3 | 7.383 | 1st Torsional Mode |
| 4 | 9.444 | 2nd Out-of-Plane Bending |
| 5 | 17.814 | Local Skin Vibration/Higher Order Coupled Mode |
| Order | Load Factor |
|---|---|
| 1 | 1.1163 |
| 2 | 1.2384 |
| 3 | 1.445 |
| 4 | 1.4851 |
| Output | MAE/RMS Error [%] | ||||
|---|---|---|---|---|---|
| ANN | ENS | SVR | GPR | PDRN | |
| Mass [Kg] | 32.4/1.00 | 44.3/1.4 | 37.4/1.1 | 30.9/0.9 | 29.8/0.8 |
| 1st Frequency [Hz] | 0.21/23.1 | 0.39/44 | 0.41/46 | 0.06/6.9 | 0.02/3.1 |
| Load Factor | 0.20/28.1 | 0.43/51.6 | 0.15/17.4 | 0.12/14.6 | 0.08/11.5 |
| Safety Factor | 0.75/60.3 | 0.51/44.3 | 0.32/29.4 | 0.12/16.37 | 0.07/11.4 |
| Case | Optimized [x] | 1st Frequency [Hz] | Load Factor | Safety Factor | Mass [Kg] |
|---|---|---|---|---|---|
| PDRN + PSO | 5.01, 5.54, 4.89, 12.13, 4.71, 5.00, 5.48, 24.9, 6.56, 14.99 | 1.4192 | 1.247 | 1.182 | 10,494 |
| ANSYS Validation | 1.4142 | 1.307 | 1.158 | 10,485 | |
| ANSYS Direct Opt. @ 290 evaluation | 9.99, 5.55, 3.22, 11.53, 4.83, 11.02, 8.31, 24.49, 9.52, 22.94 | 1.5052 | 1.309 | 1.313 | 11,220 |
| ANSYS Direct Opt. @ 340 evaluation | 7.06, 5.88, 3.35, 13.85, 4.94, 8.61, 6.93, 22.91, 7.31, 19.29 | 1.4992 | 1.461 | 1.166 | 10,976 |
| ANSYS Direct Opt. @ 440 evaluation | 8.33, 5.68, 3.15, 11.53, 4.67, 5.32, 5.99, 24.49, 7.70, 16.90 | 1.4408 | 1.234 | 1.207 | 10,576 |
| ANSYS Direct Opt. @ 540 evaluation | 7.16, 3.72, 3.34, 10.54, 4.63, 8.95, 6.93, 24.50, 6.84, 16.83 | 1.4214 | 1.223 | 1.189 | 10,490 |
| ANSYS Direct Opt. @ 680 evaluation | 7.21, 3.52, 3.16, 10.51, 4.67, 5.26, 5.49, 24.4, 6.81, 16.8 | 1.4098 | 1.152 | 1.183 | 10,354 |
| Case | Case Detail | Total Run Time [Hours] |
|---|---|---|
| PDRN + PSO | (300 + 40) × [30 min] + Training Time with HP optimization [60 min] + Surrogate Assisted optimization with PSO 10K evaluation [less than a minute = 0.001 s × 10K] + ANSYS Validation [30 min] | 171.5 |
| ANSYS Direct Opt. @ 290 evaluation | (290) × [30 min] | 145 |
| ANSYS Direct Opt. @ 340 evaluation | (340) × [30 min] | 170 |
| ANSYS Direct Opt. @ 440 evaluation | (440) × [30 min] | 220 |
| ANSYS Direct Opt. @ 540 evaluation | (540) × [30 min] | 270 |
| ANSYS Direct Opt. @ 680 evaluation | (680) × [30 min] | 340 |
Disclaimer/Publisher’s Note: The statements, opinions and data contained in all publications are solely those of the individual author(s) and contributor(s) and not of MDPI and/or the editor(s). MDPI and/or the editor(s) disclaim responsibility for any injury to people or property resulting from any ideas, methods, instructions or products referred to in the content. |
© 2026 by the authors. Licensee MDPI, Basel, Switzerland. This article is an open access article distributed under the terms and conditions of the Creative Commons Attribution (CC BY) license.
Share and Cite
Kiyik, H.; Kaya, M.O.; Mahouti, P. Analysis of Wing Structures via Machine Learning-Based Surrogate Models. Aerospace 2026, 13, 338. https://doi.org/10.3390/aerospace13040338
Kiyik H, Kaya MO, Mahouti P. Analysis of Wing Structures via Machine Learning-Based Surrogate Models. Aerospace. 2026; 13(4):338. https://doi.org/10.3390/aerospace13040338
Chicago/Turabian StyleKiyik, Hasan, Metin Orhan Kaya, and Peyman Mahouti. 2026. "Analysis of Wing Structures via Machine Learning-Based Surrogate Models" Aerospace 13, no. 4: 338. https://doi.org/10.3390/aerospace13040338
APA StyleKiyik, H., Kaya, M. O., & Mahouti, P. (2026). Analysis of Wing Structures via Machine Learning-Based Surrogate Models. Aerospace, 13(4), 338. https://doi.org/10.3390/aerospace13040338

