Adaptive Nonsingular Fast Terminal Sliding Mode Control for Space Robot Based on Wavelet Neural Network Under Lumped Uncertainties
Abstract
1. Introduction
- (1)
- To achieve fast finite-time convergence, a new NFTSMC is proposed. It avoids the singularity issue of TSMC while retaining the rapid convergence of FTMC.
- (2)
- To mitigate chattering, a nonsingular fast terminal sliding mode surface is designed, along with a fast terminal sliding mode power reaching law that combines linear and nonlinear terms. The nonlinear term, characterized by a non-negative fractional order to ensure finite-time convergence, and the linear term enhance convergence rate, both of which significantly mitigate the system chattering and improve the robustness of the space robot system.
- (3)
- To compensate for model uncertainties, a WNN is used to estimate their bounds. Mitigating disturbances from these uncertainties using the WNN significantly improves trajectory tracking accuracy.
2. Model Formulation and Foundational Preliminaries
Dynamic Modeling
3. Controller Design
3.1. Nonsingular Fast Terminal Sliding Mode Controller Design
3.2. Wavelet Neural Network Design
4. Stability Analysis
5. Numerical Simulations
- , , , , , , , , , .
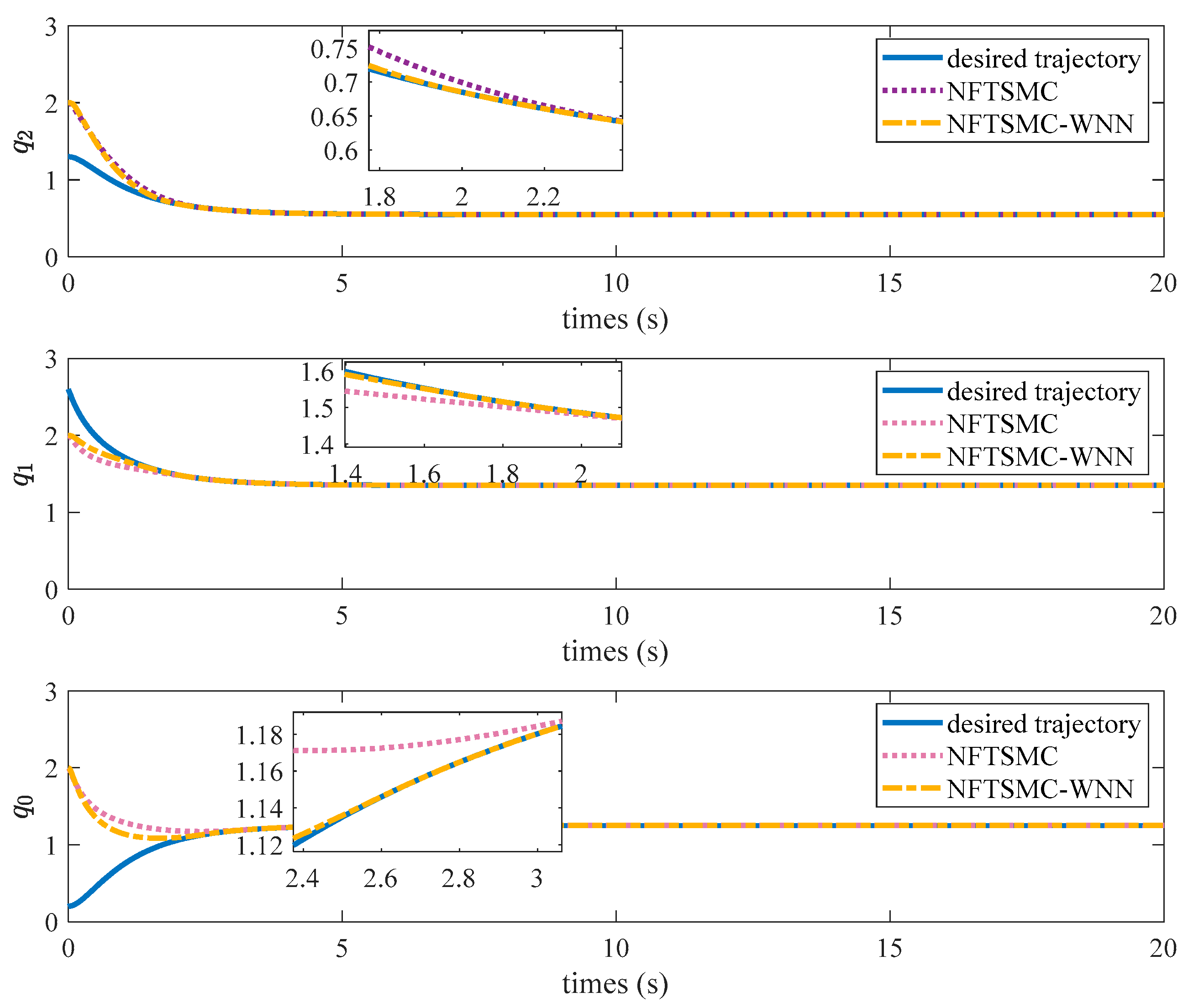
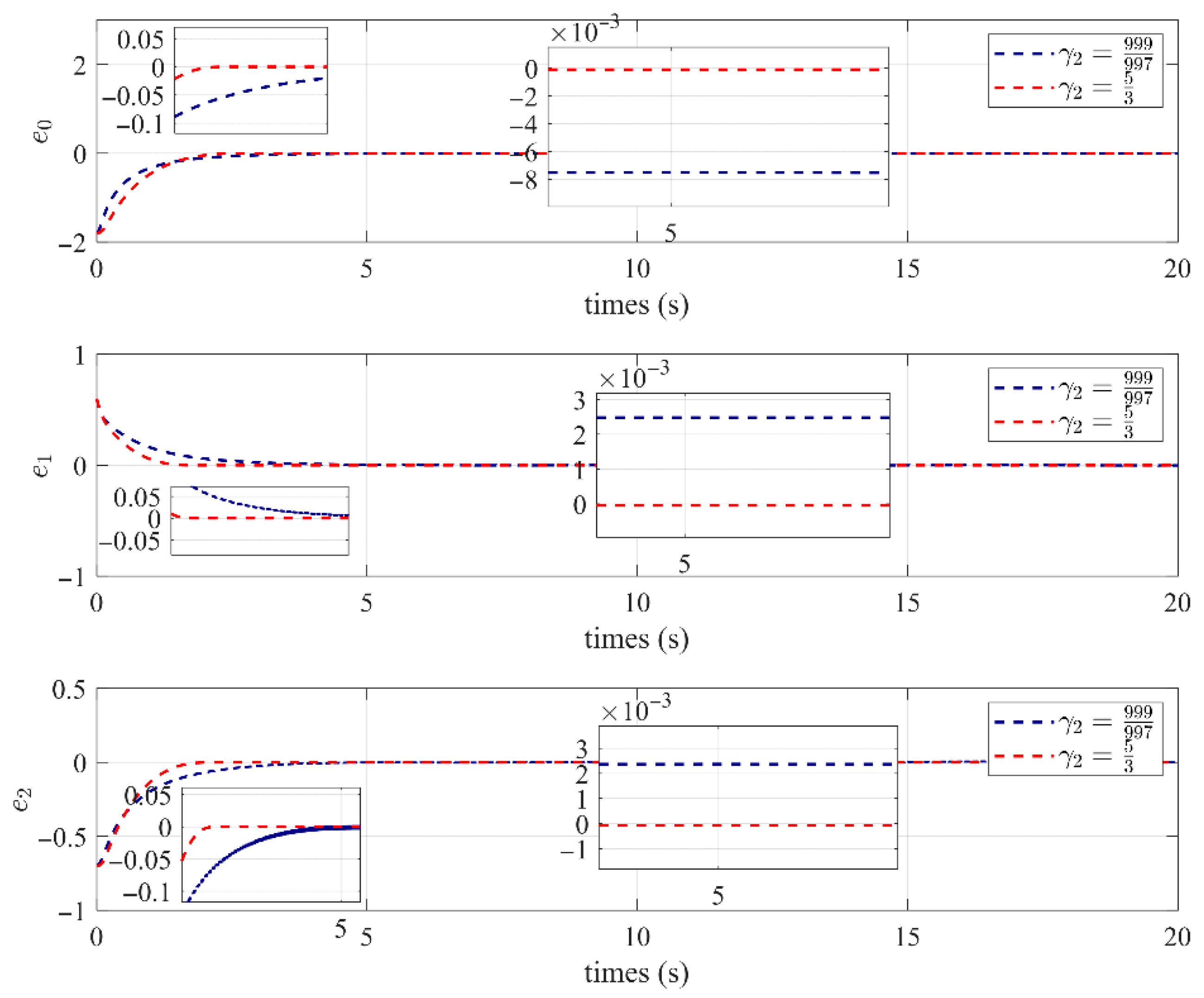
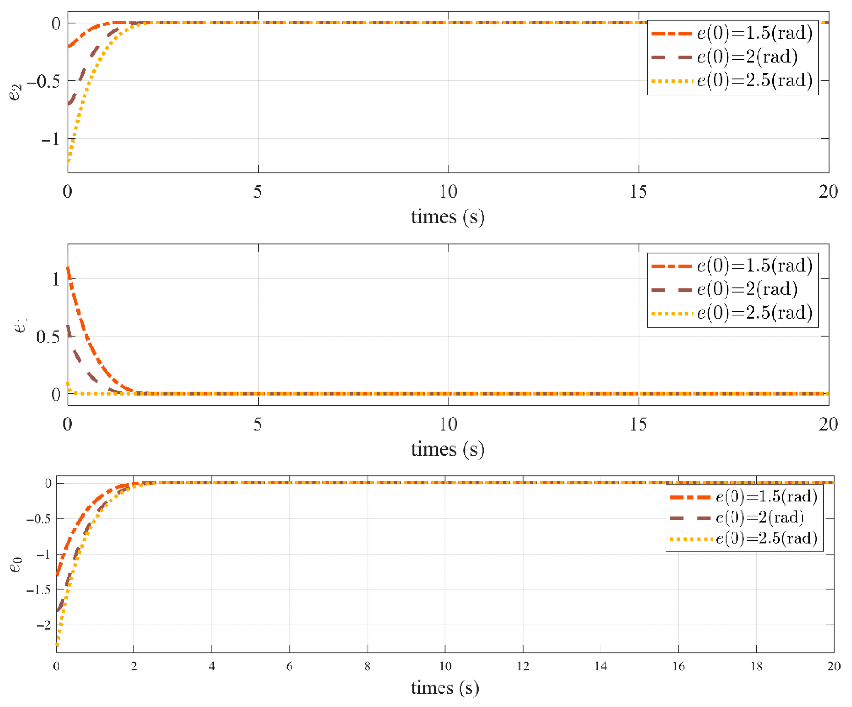
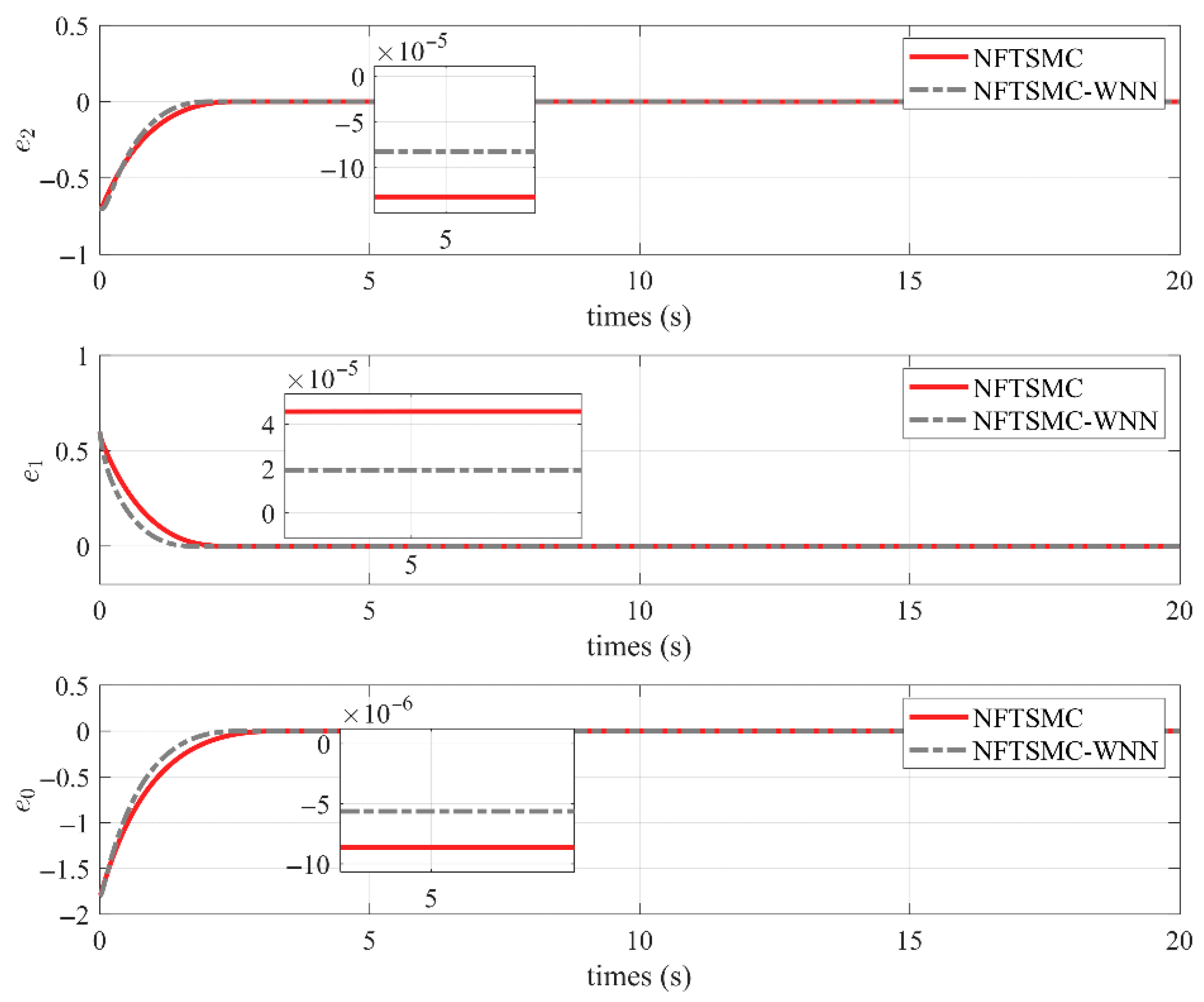
5.1. Case 1
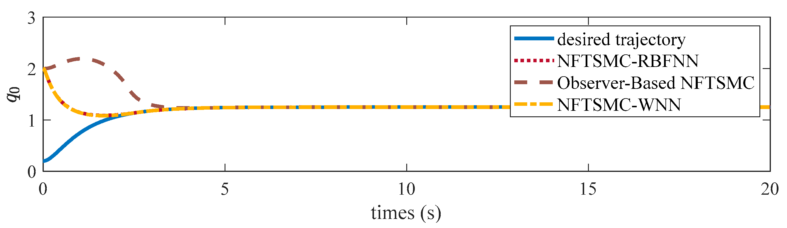
5.2. Case 2
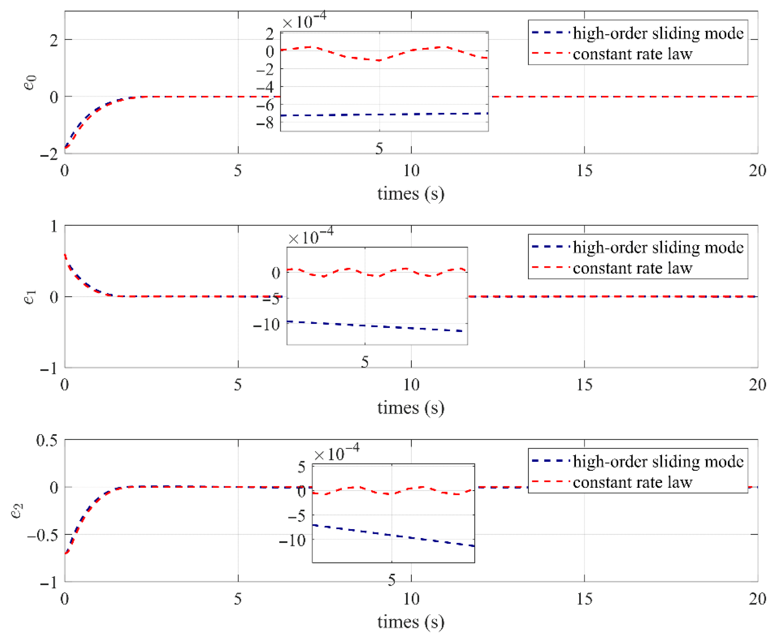
5.3. Case 3
5.4. Case 4
6. Conclusions
Author Contributions
Funding
Data Availability Statement
Conflicts of Interest
References
- Zhang, X.; Liu, J.; Tong, Y.; Liu, Y.; Ju, Z. Attitude decoupling control of semifloating space robots using time-delay estimation and supertwisting control. IEEE Trans. Aerosp. Electron. Syst. 2021, 57, 4280–4295. [Google Scholar] [CrossRef]
- Zou, W.; Shi, T.; Guo, J.; Xiang, Z. A novel adaptive fuzzy control scheme for a class of nonlinear planar systems under state constraints. IEEE Trans. Circuits Syst. II Express Briefs 2023, 71, 827–831. [Google Scholar] [CrossRef]
- Wang, C.; Guo, Q.; Wang, J.; Liu, Z.; Chen, C.L.P. Fixed-time fuzzy control for uncertain nonlinear systems with prescribed performance and event-triggered communication. IEEE Trans. Circuits Syst. I Regul. Pap. 2024, 71, 2362–2371. [Google Scholar] [CrossRef]
- Zhao, J.; Lv, Y.; Zeng, Q.; Wan, L. Online policy learning-based output-feedback optimal control of continuous-time systems. IEEE Trans. Circuits Syst. II Express Briefs 2022, 71, 652–656. [Google Scholar] [CrossRef]
- Yang, W.; Lam, H.K.; Cui, G.; Yu, J. Command filter-based adaptive optimal control of uncertain nonlinear systems with quantized input. IEEE Trans. Fuzzy Syst. 2023, 32, 343–348. [Google Scholar] [CrossRef]
- Ge, L.; Guo, J.; Mao, S.; Xiao, D.; Zhao, D.; Song, S.; De Doncker, R.W. A composite model predictive control method of SRMs with PWM-based signal for torque ripple suppression. IEEE Trans. Transp. Electrif. 2023, 10, 2469–2478. [Google Scholar] [CrossRef]
- Zhang, X.; Liu, Z.; Zhang, P.; Zhang, Y. Model predictive current control for PMSM drives based on nonparametric prediction model. IEEE Trans. Transp. Electrif. 2023, 10, 711–719. [Google Scholar] [CrossRef]
- Pan, J.; Shao, B.; Xiong, J.; Zhang, Q. Attitude control of quadrotor UAVs based on adaptive sliding mode. Int. J. Control Autom. Syst. 2023, 21, 2698–2707. [Google Scholar] [CrossRef]
- Yan, Y.; Yu, S.; Gao, X.; Wu, D.; Li, T. Continuous and periodic event-triggered sliding-mode control for path following of underactuated surface vehicles. IEEE Trans. Cybern. 2023, 54, 449–461. [Google Scholar] [CrossRef]
- Yang, J.; Li, S.; Yu, X. Sliding-mode control for systems with mismatched uncertainties via a disturbance observer. IEEE Trans. Ind. Electron. 2012, 60, 160–169. [Google Scholar] [CrossRef]
- Yao, Q.; Li, Q.; Xi, Y.; Jahanshahi, H. Extended state filter-based velocity-free finite-time attitude control of spacecraft. Int. J. Robust Nonlinear Control 2024, 34, 5540–5552. [Google Scholar] [CrossRef]
- Fu, X.; Ai, H.; Chen, L. Integrated sliding mode control with input restriction, output feedback and repetitive learning for space robot with flexible-base, flexible-link and flexible-joint. Robotica 2023, 41, 370–391. [Google Scholar] [CrossRef]
- Hou, H.; Yu, X.; Xu, L.; Rsetam, K.; Cao, Z. Finite-time continuous terminal sliding mode control of servo motor systems. IEEE Trans. Ind. Electron. 2019, 67, 5647–5656. [Google Scholar] [CrossRef]
- Xiong, J.J.; Zhang, G.B. Global fast dynamic terminal sliding mode control for a quadrotor UAV. ISA Trans. 2017, 66, 233–240. [Google Scholar] [CrossRef] [PubMed]
- Qin, C.; Zhang, Z.; Fang, Q. Adaptive backstepping fast terminal sliding mode control with estimated inverse hysteresis compensation for piezoelectric positioning stages. IEEE Trans. Circuits Syst. II Express Briefs 2023, 71, 1186–1190. [Google Scholar] [CrossRef]
- Yang, Q.; Ma, X.; Wang, W.; Peng, D. Adaptive non-singular fast terminal sliding mode trajectory tracking control for robot manipulators. Electronics 2022, 11, 3672. [Google Scholar] [CrossRef]
- Chen, Y.; Li, F.; Zhang, L. Fixed-time nonsingular terminal sliding mode control for trajectory tracking of uncertain robot manipulators. Trans. Inst. Meas. Control 2024, 46, 2414–2425. [Google Scholar] [CrossRef]
- Guo, L.; Guan, L.; Jiang, H.; Ma, H.; Xu, L.; Wang, X. Nonsingular terminal sliding mode controller-based path tracking control for autonomous vehicles considering multiple-uncertainties disturbances. Proc. Inst. Mech. Eng. Part D J. Automob. Eng. 2025, 239, 4857–4880. [Google Scholar] [CrossRef]
- Li, Y.; Zhang, Z. High-Order Nonsingular Fast Integral Terminal Sliding Mode Control with Perturbation Estimation for a Class of Nonlinear Hysteresis Systems. IEEE Trans. Ind. Electron. 2024, 72, 2045–2055. [Google Scholar] [CrossRef]
- Xu, D.; Ding, B.; Jiang, B.; Yang, W.; Shi, P. Nonsingular fast terminal sliding mode control for permanent magnet linear synchronous motor via high-order super-twisting observer. IEEE/ASME Trans. Mechatron. 2021, 27, 1651–1659. [Google Scholar] [CrossRef]
- Hong, M.; Gu, X.; Liu, L.; Guo, Y. Finite time extended state observer based nonsingular fast terminal sliding mode control of flexible-joint manipulators with unknown disturbance. J. Frankl. Inst. 2023, 360, 18–37. [Google Scholar] [CrossRef]
- Wang, F.; Ma, Z.; Gao, H.; Zhou, C.; Hua, C. Disturbance observer-based nonsingular fast terminal sliding mode fault tolerant control of a quadrotor UAV with external disturbances and actuator faults. Int. J. Control Autom. Syst. 2022, 20, 1122–1130. [Google Scholar] [CrossRef]
- Shang, D.; Li, X.; Yin, M.; Li, F. Dynamic modeling and RBF neural network compensation control for space flexible manipulator with an underactuated hand. Chin. J. Aeronaut. 2024, 37, 417–439. [Google Scholar] [CrossRef]
- Yu, L.; Qiu, Z.; Zhang, X. Radial basis function neural network vibration control of a flexible planar parallel manipulator based on acceleration feedback. J. Vib. Control 2022, 28, 351–363. [Google Scholar] [CrossRef]
- Zhang, H.; Yu, J.; Shi, P.; Hu, S.; Zhao, L. Adaptive continuous fractional-order nonsingular terminal sliding mode control based on neural network for PMLM system with actuator saturation. Neurocomputing 2025, 646, 130468. [Google Scholar] [CrossRef]
- Luo, G.; Chen, B. Applying adaptive wavelet neural network and sliding mode control for tracking control of MEMS gyroscope. Electron. Lett. 2025, 61, e70187. [Google Scholar] [CrossRef]
- Liu, W.; Liu, L.; Zhang, D.; Cheng, J. Nonsingular fast terminal sliding mode control of uncertain robotic manipulator system based on adaptive fuzzy wavelet neural network. Int. J. Fuzzy Syst. 2025, 27, 898–911. [Google Scholar] [CrossRef]
- Liu, Z.; Gao, H.; Yu, X.; Lin, W.; Qiu, J.; Rodríguez-Andina, J.J.; Qu, D. B-spline wavelet neural-network-based adaptive control for linear-motor-driven systems via a novel gradient descent algorithm. IEEE Trans. Ind. Electron. 2023, 71, 1896–1905. [Google Scholar] [CrossRef]
- Tlijani, H.; Jouila, A.; Nouri, K. Wavelet neural network sliding mode control of two rigid joint robot manipulator. Adv. Mech. Eng. 2022, 14, 16878132221119886. [Google Scholar] [CrossRef]
- Chen, S.H.; Mao, W.L.; Lu, W.X. Application of the adaptive fuzzy wavelet neural network for two-axis trajectory control. IET Control Theory Appl. 2022, 16, 1015–1031. [Google Scholar] [CrossRef]
- Zhu, A.; Ai, H.; Chen, L. FSTSMC Compliance Control for Dual-Arm Space Robot with SDBD Capture Satellite Operation. J. Comput. Nonlinear Dyn. 2023, 18, 061006. [Google Scholar] [CrossRef]
- Jeong, S.; Chwa, D. Sliding-mode-disturbance-observer-based robust tracking control for omnidirectional mobile robots with kinematic and dynamic uncertainties. IEEE/ASME Trans. Mechatron. 2020, 26, 741–752. [Google Scholar] [CrossRef]
- Yu, J.; Shi, P.; Zhao, L. Finite-time command filtered backstepping control for a class of nonlinear systems. Automatica 2018, 92, 173–180. [Google Scholar] [CrossRef]
- Feng, Y.; Yu, X.; Han, F. On nonsingular terminal sliding-mode control of nonlinear systems. Automatica 2013, 49, 1715–1722. [Google Scholar] [CrossRef]
- Wei-Dong, D.; Wen-Ping, J. Two-degree-of-freedom robotic arm based on RBF neural network approximation control method research. In Proceedings of the 2022 7th International Conference on Intelligent Informatics and Biomedical Science (ICIIBMS), Nara, Japan, 24–26 November 2022; IEEE: Piscataway, NJ, USA, 2022; Volume 7, pp. 150–154. [Google Scholar] [CrossRef]

















| Description | Symbols | Values |
|---|---|---|
| Length (m) | 1, 1, 1 | |
| Center of mass (m) | 0.5, 0.5 | |
| Mass (kg) | 40, 4, 3 | |
| Inertia (kg·m2) | 16.67, 1.5, 1.5 |
| Joint | Controller | Convergence Time (s) | Improvement (%) | Overall Improvements (%) |
|---|---|---|---|---|
| TSMC | 3.6 | 25 | 34.65 | |
| NFTSMC | 2.7 | |||
| TSMC | 3.7 | 51.35 | ||
| NFTSMC | 1.8 | |||
| TSMC | 2.9 | 27.59 | ||
| NFTSMC | 2.1 |
| Joint | Controller | Convergence Time (s) | Percentage (%) | Mean Error (rad) | Percentage (%) |
|---|---|---|---|---|---|
| HOSMC | 2.58 | −4.65% | 4.1325 × 10−4 | 94.13% | |
| Proposed | 2.67 | 2.4272 × 10−5 | |||
| HOSMC | 1.8 | 2.22% | 9.7804 × 10−4 | 97.92% | |
| Proposed | 1.76 | 2.038 × 10−5 | |||
| HOSMC | 2.02 | −3.47% | 1.0822 × 10−3 | 98.27% | |
| Proposed | 2.09 | 1.8721 × 10−5 |
| Joint | Controller | Convergence Time (s) | Improvement (%) | Overall Improvements (%) |
|---|---|---|---|---|
| Proposed | 1.92 | 18.64 | 20.74 | |
| NFTSMC | 2.36 | |||
| Proposed | 1.59 | 25.00 | ||
| NFTSMC | 2.12 | |||
| Proposed | 2.54 | 18.59 | ||
| NFTSMC | 3.12 |
| Feature | WNN | RBFNN |
|---|---|---|
| Neuron | 27 | 27 |
| Activation Function | Mexican Hat | Radial Basis Function |
| Learning Rate | 0.01 | 0.01 |
| Initialization | ||
| Training Procedure | Input Layer, Hidden Layer, Output Layer | Input Layer, Hidden Layer, Output Layer |
| Network Structure | Feedforward Neural Network | Feedforward Neural Network |
| Joint | Controller | Convergence Time (s) | Improvement (%) | Overall Improvements (%) |
|---|---|---|---|---|
| Proposed | 2.75 | 1.08 | 1.92 | |
| NFTSMC-RBF | 2.78 | |||
| Proposed | 1.74 | 1.13 | ||
| NFTSMC-RBF | 1.76 | |||
| Proposed | 1.9 | 3.55 | ||
| NFTSMC-RBF | 1.97 |
| Joint | Controller | Mean Error (rad) | RMSE (rad) | IAE (rad) | ITAE (rad) |
|---|---|---|---|---|---|
| Proposed | 8.2062 × 10−7 | 1.8188 × 10−5 | 1.5479 × 10−4 | 7.7746 × 10−4 | |
| NFTSMC | 2.8777 × 10−6 | 3.0297 × 10−5 | 2.6152 × 10−4 | 1.3019 × 10−3 | |
| NFTSMC-RBF | −3.6183 × 10−6 | 2.0336 × 10−4 | 1.6964 × 10−3 | 8.4812 × 10−3 | |
| Proposed | 1.0888 × 10−5 | 1.8890 × 10−5 | 1.5757 × 10−4 | 8.0826 × 10−4 | |
| NFTSMC | 2.2947 × 10−6 | 3.1501 × 10−5 | 2.6901 × 10−4 | 1.3594 × 10−3 | |
| NFTSMC-RBF | −7.8962 × 10−6 | 2.2915 × 10−4 | 1.8708 × 10−3 | −9.4175 × 10−3 | |
| Proposed | −6.0091 × 10−5 | 1.4855 × 10−4 | 1.3584 × 10−3 | 7.2543 × 10−3 | |
| NFTSMC | −1.3698 × 10−4 | 2.2757 × 10−4 | 1.8349 × 10−3 | 1.0077 × 10−2 | |
| NFTSMC-RBF | 1.1156 × 10−5 | 3.3738 × 10−4 | 2.8204 × 10−3 | −2.5112 × 10−2 |
| Joint | Controller | Energy Consumption (J) | Control Smoothness (J2/s) |
|---|---|---|---|
| Proposed | 0.1810 | 3.16107 × 107 | |
| NFTSMC | 18.16 | 2.3633 × 108 | |
| RBF | 4.1797 | 2.58678 × 109 | |
| Proposed | 2.5895 | 3.04162 × 106 | |
| NFTSMC | 6.2756 | 3.15032 × 107 | |
| RBF | 2.4821 | 3.96135 × 108 | |
| Proposed | 4.2739 | 3.16409 × 105 | |
| NFTSMC | 6.6744 | 1.82690 × 106 | |
| RBF | 3.3465 | 4.89273 × 107 |
Disclaimer/Publisher’s Note: The statements, opinions and data contained in all publications are solely those of the individual author(s) and contributor(s) and not of MDPI and/or the editor(s). MDPI and/or the editor(s) disclaim responsibility for any injury to people or property resulting from any ideas, methods, instructions or products referred to in the content. |
© 2026 by the authors. Licensee MDPI, Basel, Switzerland. This article is an open access article distributed under the terms and conditions of the Creative Commons Attribution (CC BY) license.
Share and Cite
Mei, J.; Zheng, Y.; Ai, H.; Xiong, F.; Zhu, A.; Fu, X. Adaptive Nonsingular Fast Terminal Sliding Mode Control for Space Robot Based on Wavelet Neural Network Under Lumped Uncertainties. Aerospace 2026, 13, 334. https://doi.org/10.3390/aerospace13040334
Mei J, Zheng Y, Ai H, Xiong F, Zhu A, Fu X. Adaptive Nonsingular Fast Terminal Sliding Mode Control for Space Robot Based on Wavelet Neural Network Under Lumped Uncertainties. Aerospace. 2026; 13(4):334. https://doi.org/10.3390/aerospace13040334
Chicago/Turabian StyleMei, Junwei, Yawei Zheng, Haiping Ai, Feilong Xiong, An Zhu, and Xiaodong Fu. 2026. "Adaptive Nonsingular Fast Terminal Sliding Mode Control for Space Robot Based on Wavelet Neural Network Under Lumped Uncertainties" Aerospace 13, no. 4: 334. https://doi.org/10.3390/aerospace13040334
APA StyleMei, J., Zheng, Y., Ai, H., Xiong, F., Zhu, A., & Fu, X. (2026). Adaptive Nonsingular Fast Terminal Sliding Mode Control for Space Robot Based on Wavelet Neural Network Under Lumped Uncertainties. Aerospace, 13(4), 334. https://doi.org/10.3390/aerospace13040334

